EXECUTION VERSION 743955026 CREDIT AGREEMENT dated as of December 22, 2021 among ENERGY RECOVERY, INC. as a Borrower, the other Loan Parties from time to time party hereto, and JPMORGAN CHASE BANK, N.A., as Lender


 
Table of Contents i 743955026 ARTICLE I DEFINITIONS ........................................................................................................................ 1 SECTION 1.01. Defined Terms ......................................................................................... 1 SECTION 1.02. Classification of Loans and Borrowings ................................................ 24 SECTION 1.03. Terms Generally .................................................................................... 25 SECTION 1.04. Accounting Terms; GAAP..................................................................... 25 SECTION 1.05. Interest Rates; LIBOR Notification ....................................................... 26 SECTION 1.06. Pro Forma Adjustments for Acquisitions and Dispositions ................... 26 SECTION 1.07. Status of Obligations .............................................................................. 27 SECTION 1.08. Letters of Credit ..................................................................................... 27 SECTION 1.09. Divisions ................................................................................................ 27 ARTICLE II THE CREDITS ..................................................................................................................... 27 SECTION 2.01. Commitments ......................................................................................... 27 SECTION 2.02. Loans and Borrowings. .......................................................................... 28 SECTION 2.03. Requests for Borrowings ....................................................................... 28 SECTION 2.04. Letters of Credit. .................................................................................... 29 SECTION 2.05. Funding of Borrowings. ......................................................................... 32 SECTION 2.06. Interest Elections. .................................................................................. 32 SECTION 2.07. Termination and Reduction of Commitments........................................ 33 SECTION 2.08. Repayment and Amortization of Loans; Evidence of Debt. .................. 34 SECTION 2.09. Prepayment of Loans. ............................................................................ 34 SECTION 2.10. Fees. ....................................................................................................... 35 SECTION 2.11. Interest. .................................................................................................. 35 SECTION 2.12. Alternate Rate of Interest; Illegality ...................................................... 36 SECTION 2.13. Increased Costs ...................................................................................... 37 SECTION 2.14. Break Funding Payments ....................................................................... 38 SECTION 2.15. Withholding of Taxes; Gross-Up. .......................................................... 39 SECTION 2.16. Payments Generally; Allocation of Proceeds. ....................................... 41 SECTION 2.17. Returned Payments ................................................................................ 43 ARTICLE III REPRESENTATIONS AND WARRANTIES ................................................................... 43 SECTION 3.01. Organization; Powers ............................................................................. 43 SECTION 3.02. Authorization; Enforceability ................................................................ 43 SECTION 3.03. Governmental Approvals; No Conflicts ................................................ 43 SECTION 3.04. Financial Condition; No Material Adverse Change. .............................. 43 SECTION 3.05. Properties, etc. ....................................................................................... 44 SECTION 3.06. Litigation and Environmental Matters. .................................................. 44 SECTION 3.07. Compliance with Laws and Agreements; No Default ........................... 44 SECTION 3.08. Investment Company Status .................................................................. 45 SECTION 3.09. Taxes ...................................................................................................... 45 SECTION 3.10. ERISA .................................................................................................... 45 SECTION 3.11. Disclosure .............................................................................................. 45 SECTION 3.12. Material Agreements.............................................................................. 45 SECTION 3.13. Solvency ................................................................................................ 45 SECTION 3.14. Insurance ................................................................................................ 46 SECTION 3.15. Capitalization and Subsidiaries .............................................................. 46 SECTION 3.16. Security Interest in Collateral ................................................................ 46 SECTION 3.17. Employment Matters ............................................................................. 46 SECTION 3.18. Margin Regulations ............................................................................... 46 SECTION 3.19. Use of Proceeds ..................................................................................... 46


 
ii 743955026 SECTION 3.20. Anti-Corruption Laws and Sanctions .................................................... 46 SECTION 3.21. Plan Assets; Prohibited Transactions ..................................................... 47 ARTICLE IV CONDITIONS .................................................................................................................... 47 SECTION 4.01. Effective Date ........................................................................................ 47 SECTION 4.02. Each Credit Event .................................................................................. 49 ARTICLE V AFFIRMATIVE COVENANTS .......................................................................................... 50 SECTION 5.01. Financial Statements and Other Information ......................................... 50 SECTION 5.02. Notices of Material Events .................................................................... 52 SECTION 5.03. Existence; Conduct of Business ............................................................. 52 SECTION 5.04. Payment of Taxes .................................................................................. 53 SECTION 5.05. Maintenance of Properties ..................................................................... 53 SECTION 5.06. Books and Records; Inspection Rights .................................................. 53 SECTION 5.07. Compliance with Laws .......................................................................... 53 SECTION 5.08. Use of Proceeds. .................................................................................... 53 SECTION 5.09. Accuracy of Information ........................................................................ 54 SECTION 5.10. Insurance ................................................................................................ 54 SECTION 5.11. Casualty and Condemnation .................................................................. 54 SECTION 5.12. Depository Banks ................................................................................... 54 SECTION 5.13. Additional Collateral; Further Assurances............................................. 54 SECTION 5.14. Post-Closing Covenants. ........................................................................ 55 ARTICLE VI NEGATIVE COVENANTS ............................................................................................... 56 SECTION 6.01. Indebtedness .......................................................................................... 56 SECTION 6.02. Liens ...................................................................................................... 58 SECTION 6.03. Fundamental Changes. ........................................................................... 59 SECTION 6.04. Investments, Loans, Advances, Guarantees and Acquisitions ............... 59 SECTION 6.05. Asset Sales ............................................................................................. 61 SECTION 6.06. Sale and Leaseback Transactions .......................................................... 62 SECTION 6.07. Swap Agreements .................................................................................. 62 SECTION 6.08. Restricted Payments; Certain Payments of Indebtedness. ..................... 62 SECTION 6.09. Transactions with Affiliates ................................................................... 63 SECTION 6.10. Restrictive Agreements .......................................................................... 64 SECTION 6.11. Amendment of Material Documents ...................................................... 64 SECTION 6.12. Financial Covenants ............................................................................... 64 ARTICLE VII EVENTS OF DEFAULT ................................................................................................... 65 SECTION 7.01. Events of Default ................................................................................... 65 ARTICLE VIII MISCELLANEOUS......................................................................................................... 68 SECTION 8.01. Notices. .................................................................................................. 68 SECTION 8.02. Waivers; Amendments. .......................................................................... 69 SECTION 8.03. Expenses; Limitation of Liability; Indemnity. ....................................... 70 SECTION 8.04. Successors and Assigns. ........................................................................ 72 SECTION 8.05. Survival .................................................................................................. 73 SECTION 8.06. Counterparts; Integration; Effectiveness; Electronic Execution ............ 73 SECTION 8.07. Severability ............................................................................................ 75 SECTION 8.08. Right of Setoff ....................................................................................... 75 SECTION 8.09. Governing Law; Jurisdiction; Consent to Service of Process. ............... 75 SECTION 8.10. WAIVER OF JURY TRIAL.................................................................. 76


 
iii 743955026 SECTION 8.11. Headings ................................................................................................ 76 SECTION 8.12. Confidentiality ....................................................................................... 76 SECTION 8.13. Nonreliance; Violation of Law .............................................................. 77 SECTION 8.14. USA PATRIOT Act ............................................................................... 77 SECTION 8.15. Disclosure .............................................................................................. 77 SECTION 8.16. Interest Rate Limitation ......................................................................... 77 SECTION 8.17. No Fiduciary Duty, etc........................................................................... 77 SECTION 8.18. Marketing Consent ................................................................................. 78 ARTICLE IX LOAN GUARANTY .......................................................................................................... 78 SECTION 9.01. Guaranty ................................................................................................ 78 SECTION 9.02. Guaranty of Payment ............................................................................. 78 SECTION 9.03. No Discharge or Diminishment of Loan Guaranty ................................ 79 SECTION 9.04. Defenses Waived ................................................................................... 79 SECTION 9.05. Rights of Subrogation ............................................................................ 80 SECTION 9.06. Reinstatement; Stay of Acceleration ...................................................... 80 SECTION 9.07. Information ............................................................................................ 80 SECTION 9.08. Termination ............................................................................................ 80 SECTION 9.09. Taxes ...................................................................................................... 80 SECTION 9.10. Maximum Liability ................................................................................ 80 SECTION 9.11. Contribution. .......................................................................................... 81 SECTION 9.12. Liability Cumulative .............................................................................. 81 SECTION 9.13. Keepwell ................................................................................................ 82 ARTICLE X THE BORROWER REPRESENTATIVE. .......................................................................... 82 SECTION 10.01. Appointment; Nature of Relationship .................................................... 82 SECTION 10.02. Powers.................................................................................................... 82 SECTION 10.03. Employment of Agents .......................................................................... 82 SECTION 10.04. Notices ................................................................................................... 82 SECTION 10.05. Successor Borrower Representative ...................................................... 82 SECTION 10.06. Execution of Loan Documents; Borrowing Base Certificate ................ 83 SECTION 10.07. Reporting ............................................................................................... 83


 
iv 743955026 SCHEDULES: Schedule 3.05 – Properties etc. Schedule 3.06 – Litigation and Environmental Matters Schedule 3.14 – Insurance Schedule 3.15 – Capitalization and Subsidiaries Schedule 6.01 – Existing Indebtedness Schedule 6.02 – Existing Liens Schedule 6.04 – Existing Investments Schedule 6.10 – Existing Restrictions EXHIBITS: Exhibit A-1 Borrowing Request Exhibit A-2 Interest Election Request Exhibit B Compliance Certificate Exhibit C Joinder Agreement


 
1 743955026 CREDIT AGREEMENT dated as of December 22, 2021 (as it may be amended, restated, amended and restated, supplemented or otherwise or modified from time to time, this “Agreement”), among ENERGY RECOVERY, INC., a Delaware corporation, as the Company (and together with any other Person that becomes a Borrower hereunder from time to time, each individually, a “Borrower”, and collectively, jointly and severally, the “Borrowers”), the other Loan Parties from time to time party hereto, and JPMORGAN CHASE BANK, N.A., as Lender. The parties hereto agree as follows: ARTICLE I Definitions SECTION 1.01.Defined Terms. As used in this Agreement, the following terms have the meanings specified below: “Account” has the meaning assigned to such term in the Security Agreement. “Account Debtor” means any Person obligated on an Account. “Acquisition” means any transaction, or any series of related transactions, consummated on or after the Effective Date, by which any Loan Party (a) acquires any going business or all or substantially all of the assets of any Person, whether through purchase of assets, merger or otherwise or (b) directly or indirectly acquires (in one transaction or as the most recent transaction in a series of transactions) at least a majority (in number of votes) of the Equity Interests of a Person which has ordinary voting power for the election of directors or other similar management personnel of a Person (other than Equity Interests having such power only by reason of the happening of a contingency) or a majority of the outstanding Equity Interests of a Person. “Adjusted LIBO Rate” means, with respect to any Eurodollar Borrowing for any Interest Period or for any CBFR Borrowing, an interest rate per annum (rounded upwards, if necessary, to the next 1/16 of 1%) equal to (a) the LIBO Rate for such Interest Period multiplied by (b) the Statutory Reserve Rate. “Adjusted One Month LIBOR Rate” means, for any day, an interest rate per annum equal to the sum of (i) 2.50% per annum plus (ii) the Adjusted LIBO Rate for a one-month interest period on such day (or if such day is not a Business Day, the immediately preceding Business Day); provided that, for the avoidance of doubt, the Adjusted LIBO Rate for any day shall be based on the LIBO Screen Rate at approximately 11:00 a.m. London time on such day; provided, further, that, if the LIBO Screen Rate at such time shall be less than zero, such rate shall be deemed to be zero for purposes of this Agreement. “Affiliate” means, with respect to a specified Person, another Person that directly, or indirectly through one or more intermediaries, Controls or is Controlled by or is under common Control with the specified Person. “Alternate Rate” means any alternate rate of interest established pursuant to Section 2.12(c). “Anti-Corruption Laws” means all laws, rules, and regulations of any jurisdiction applicable to any Borrower or any of its Subsidiaries from time to time concerning or relating to bribery or corruption. “Applicable Rate” means, for any day, with respect to any Loan, or with respect to the commitment fees payable hereunder, as the case may be, the applicable rate per annum set forth below under the caption


 
2 743955026 “CBFR Spread”, “Eurodollar Spread” or “Commitment Fee Rate”, as the case may be, based upon the Company’s Total Leverage Ratio as of the most recent determination date, provided that until the delivery to the Lender, pursuant to Section 5.01, of the Company’s consolidated financial information for the fiscal quarter of the Company’s ending December 31, 2021, the “Applicable Rate” shall be the applicable rates per annum set forth below in Category 2: Total Leverage Ratio CBFR Spread Eurodollar Spread Commitment Fee Rate Category 1 > 1.50 to 1.00 0.50% 1.50% 0.20% Category 2  1.50 to 1.00 0.25% 1.25% 0.20% For purposes of the foregoing, (a) the Applicable Rate shall be determined as of the end of each fiscal quarter of the Company, based upon the Company’s annual or quarterly consolidated financial statements delivered pursuant to Section 5.01 and (b) each change in the Applicable Rate resulting from a change in the Total Leverage Ratio shall be effective during the period commencing on and including the date of delivery to the Lender of such consolidated financial statements indicating such change and ending on the date immediately preceding the effective date of the next such change, provided that at the option of the Lender, and upon written notice thereof, if the Borrowers fail to deliver the annual or quarterly consolidated financial statements required to be delivered by it pursuant to Section 5.01, the Total Leverage Ratio shall be deemed to be in Category 1 during the period from the expiration of the time for delivery thereof until such consolidated financial statements are delivered. If at any time the Lender reasonably determines that the financial statements upon which the Applicable Rate was determined were incorrect (whether based on a restatement, fraud or otherwise), or any ratio or compliance information in a compliance certificate or other certification (x) was incorrectly calculated, (y) relied on incorrect information or (z) was not accurate, true or correct, and such inaccuracy, if corrected, would have led to the application of a higher Applicable Rate, the Borrowers shall be required to retroactively pay any additional amount that the Borrowers would have been required to pay if such financial statements, compliance certificate or other information had been accurate and/or computed correctly at the time they were delivered. “Approved Fund” has the meaning assigned to such term in Section 8.04(b). “Availability” means, at any time, an amount equal to (a) the Revolving Commitment minus (b) the Revolving Exposure. “Availability Period” means the period from and including the Effective Date to but excluding the earlier of the Revolving Credit Maturity Date and the date of termination of the Revolving Commitment. “Banking Services” means each and any of the following bank services provided to any Loan Party or any Subsidiary by the Lender or any of its Affiliates: (a) credit cards for commercial customers (including, without limitation, “commercial credit cards” and purchasing cards), (b) stored value cards, (c) merchant processing services, and (d) treasury management services (including, without limitation, controlled disbursement, automated clearinghouse transactions, return items, any direct debit scheme or arrangement, overdrafts and interstate depository network services and cash pooling services).


 
3 743955026 “Banking Services Obligations” means any and all obligations of the Loan Parties or their Subsidiaries, whether absolute or contingent and howsoever and whensoever created, arising, evidenced or acquired (including all renewals, extensions and modifications thereof and substitutions therefor) in connection with Banking Services. “Bankruptcy Event” means, with respect to any Person, when such Person becomes the subject of a voluntary or involuntary bankruptcy or insolvency proceeding, or has had a receiver, conservator, trustee, administrator, custodian, assignee for the benefit of creditors or similar Person charged with the reorganization or liquidation of its business appointed for it, or, in the good faith determination of the Lender, has taken any action in furtherance of, or indicating its consent to, approval of, or acquiescence in, any such proceeding or appointment or has had any order for relief in such proceeding entered in respect thereof, provided that a Bankruptcy Event shall not result solely by virtue of any ownership interest, or the acquisition of any ownership interest, in such Person by a Governmental Authority or instrumentality thereof, unless such ownership interest results in or provides such Person with immunity from the jurisdiction of courts within the U.S. or from the enforcement of judgments or writs of attachment on its assets or permits such Person (or such Governmental Authority or instrumentality) to reject, repudiate, disavow or disaffirm any contracts or agreements made by such Person. “Benchmark Replacement Adjustment” means, with respect to any replacement pursuant to Section 2.12(c) of the LIBO Rate with Term SOFR or Daily Simple SOFR (such rate, an “Unadjusted SOFR Based Rate”), as applicable, for any applicable interest period and available tenor, the first of the following alternatives that can be determined by Lender: (1) the spread adjustment, or method for calculating or determining such spread adjustment (which may be a positive or negative value or zero) when such Unadjusted SOFR Based Rate is first set for such interest period that has been selected or recommended by the Relevant Governmental Body for the replacement of the LIBO Rate with the applicable Unadjusted SOFR Based Rate for the applicable corresponding tenor; provided that such spread adjustment is displayed on a screen or other information service that publishes such Benchmark Replacement Adjustment from time to time as selected by Lender in its reasonable discretion; and (2) the spread adjustment (which may be a positive or negative value or zero) when such rate replacement is first set for such interest period that would apply to the fallback rate for a derivative transaction referencing the ISDA Definitions to be effective upon an index cessation event with respect to the LIBO Rate for the applicable corresponding tenor. “Beneficial Ownership Certification” means a certification regarding beneficial ownership as required by the Beneficial Ownership Regulation. “Beneficial Ownership Regulation” means 31 C.F.R. § 1010.230. “Borrowers” has the meaning given to such term in the preamble hereto. “Borrower Representative” has the meaning assigned to such term in Section 10.01. “Borrowing” means Revolving Loans of the same Type, made, converted or continued on the same date and, in the case of Eurodollar Loans, as to which a single Interest Period is in effect, converted or continued on the same date and, in the case of Eurodollar Loans, as to which a single Interest Period is in effect. “Borrowing Request” means a request by the Borrower Representative for a Borrowing in accordance with Section 2.03, which shall be substantially in the form of Exhibit A-1 hereto or any other form approved by the Lender.


 
4 743955026 “Burdensome Restrictions” means any consensual encumbrance or restriction of the type described in clause (a) or (b) of Section 6.10. “Business Day” means any day that is not a Saturday, Sunday or other day on which commercial banks in New York City are authorized or required by law to remain closed; provided that, when used in connection with a Eurodollar Loan, the term “Business Day” shall also exclude any day on which banks are not open for general business in London. “Capital Expenditures” means, without duplication, any expenditure or commitment to expend money for any purchase or other acquisition of any asset which would be classified as a fixed or capital asset on a consolidated balance sheet of the Company and its Subsidiaries prepared in accordance with GAAP. “Capital Lease Obligations” of any Person means the obligations of such Person to pay rent or other amounts under any lease of (or other arrangement conveying the right to use) real or personal property, or a combination thereof, which obligations are required to be classified and accounted for as capital leases or financing leases on a balance sheet of such Person under GAAP, and the amount of such obligations shall be the capitalized amount thereof determined in accordance with GAAP. “CB Floating Rate” means the Prime Rate; provided that the CB Floating Rate shall never be less than the Adjusted One Month LIBOR Rate on such day (or if such day is not a Business Day, the immediately preceding Business Day). Any change in the CB Floating Rate due to a change in the Prime Rate or the Adjusted One Month LIBOR Rate shall be effective from and including the effective date of such change in the Prime Rate or the Adjusted One Month LIBOR Rate, respectively. “CBFR”, when used in reference to any Loan or Borrowing, refers to whether such Loan, or the Loans comprising such Borrowing, bear interest at a rate determined by reference to the CB Floating Rate. “Change in Control” means (a) the acquisition of ownership, directly or indirectly, beneficially or of record, by any Person or group (within the meaning of the Securities Exchange Act of 1934 and the rules of the SEC thereunder as in effect on the date hereof) of Equity Interests representing more than 35% of the aggregate ordinary voting power represented by the issued and outstanding Equity Interests of the Company, (b) occupation at any time of a majority of the seats (other than vacant seats) on the board of directors of the Company by Persons who were not (i) directors of the Company on the date of this Agreement, nominated or appointed; or (ii) appointed by directors so nominated or appointed or (c) the Company shall cease to own, directly or indirectly, 100% of the outstanding voting Equity Interests of each other Borrower and each Guarantor on a fully diluted basis, other than pursuant to transactions otherwise permitted under this Agreement. “Change in Law” means the occurrence after the date of this Agreement of any of the following: (a) the adoption of or taking effect of any law, rule, regulation or treaty, (b) any change in any law, rule, regulation or treaty or in the administration, interpretation, implementation or application thereof by any Governmental Authority or (c) compliance by the Lender (or, for purposes of Section 2.13(b), by any lending office of the Lender or by the Lender’s holding company, if any) with any request, guideline, requirement or directive (whether or not having the force of law) of any Governmental Authority made or issued after the date of this Agreement; provided that, notwithstanding anything herein to the contrary, (x) the Dodd-Frank Wall Street Reform and Consumer Protection Act and all requests, rules, guidelines, requirements or directives thereunder or issued in connection therewith or in the implementation thereof, and (y) all requests, rules, guidelines, requirements or directives promulgated by the Bank for International Settlements, the Basel Committee on Banking Supervision (or any successor or similar authority) or the


 
5 743955026 U.S. or foreign regulatory authorities, in each case pursuant to Basel III, shall in each case be deemed to be a “Change in Law”, regardless of the date enacted, adopted, issued or implemented. “Charges” has the meaning assigned to such term in Section 8.16. “Class”, when used in reference to (a) any Loan or Borrowing, refers to whether such Loan, or the Loans comprising such Borrowing, are Revolving Loans, and (b) any Commitment, refers to whether such Commitment is a Revolving Commitment. “Code” means the Internal Revenue Code of 1986, as amended from time to time. “Collateral” means any and all property owned, leased or operated by a Person covered by the Collateral Documents and any and all other property of any Loan Party, now existing or hereafter acquired, that may at any time be, become or be intended to be, subject to a security interest or Lien in favor of the Lender, on behalf of the Secured Parties, to secure the Secured Obligations. “Collateral Access Agreement” has the meaning assigned to such term in the Security Agreement. “Collateral Documents” means, collectively, the Security Agreement, the Mortgages and any other agreements, instruments and documents executed in connection with this Agreement that are intended to create, perfect or evidence Liens to secure the Secured Obligations, including, without limitation, all other security agreements, pledge agreements, mortgages, deeds of trust, loan agreements, notes, guarantees, subordination agreements, pledges, powers of attorney, consents, assignments, contracts, fee letters, notices, leases, financing statements, now or hereafter executed by any Loan Party and delivered to the Lender. “Commercial LC Exposure” means, at any time, the sum of (a) the aggregate undrawn amount of all outstanding commercial Letters of Credit plus (b) the aggregate amount of all LC Disbursements relating to commercial Letters of Credit that have not yet been reimbursed by or on behalf of the Borrowers. “Commitment” means, the Revolving Commitment. “Commodity Exchange Act” means the Commodity Exchange Act (7 U.S.C. § 1 et seq.), as amended from time to time, and any successor statute. “Company” has the meaning specified in the preamble. “Compliance Certificate” means a certificate of a Financial Officer in substantially the form of Exhibit C. “Connection Income Taxes” means Other Connection Taxes that are imposed on or measured by net income (however denominated) or that are franchise Taxes or branch profits Taxes. “Contingent Acquisition Consideration” means any earn-out obligation or similar deferred or contingent obligation of any Borrower or any of its Subsidiaries incurred or created in connection with an Acquisition or other Investment (but excluding, for the avoidance of doubt, any purchase price adjustments or similar obligations). “Control” means the possession, directly or indirectly, of the power to direct or cause the direction of the management or policies of a Person, whether through the ability to exercise voting power, by contract or otherwise. “Controlling” and “Controlled” have meanings correlative thereto.


 
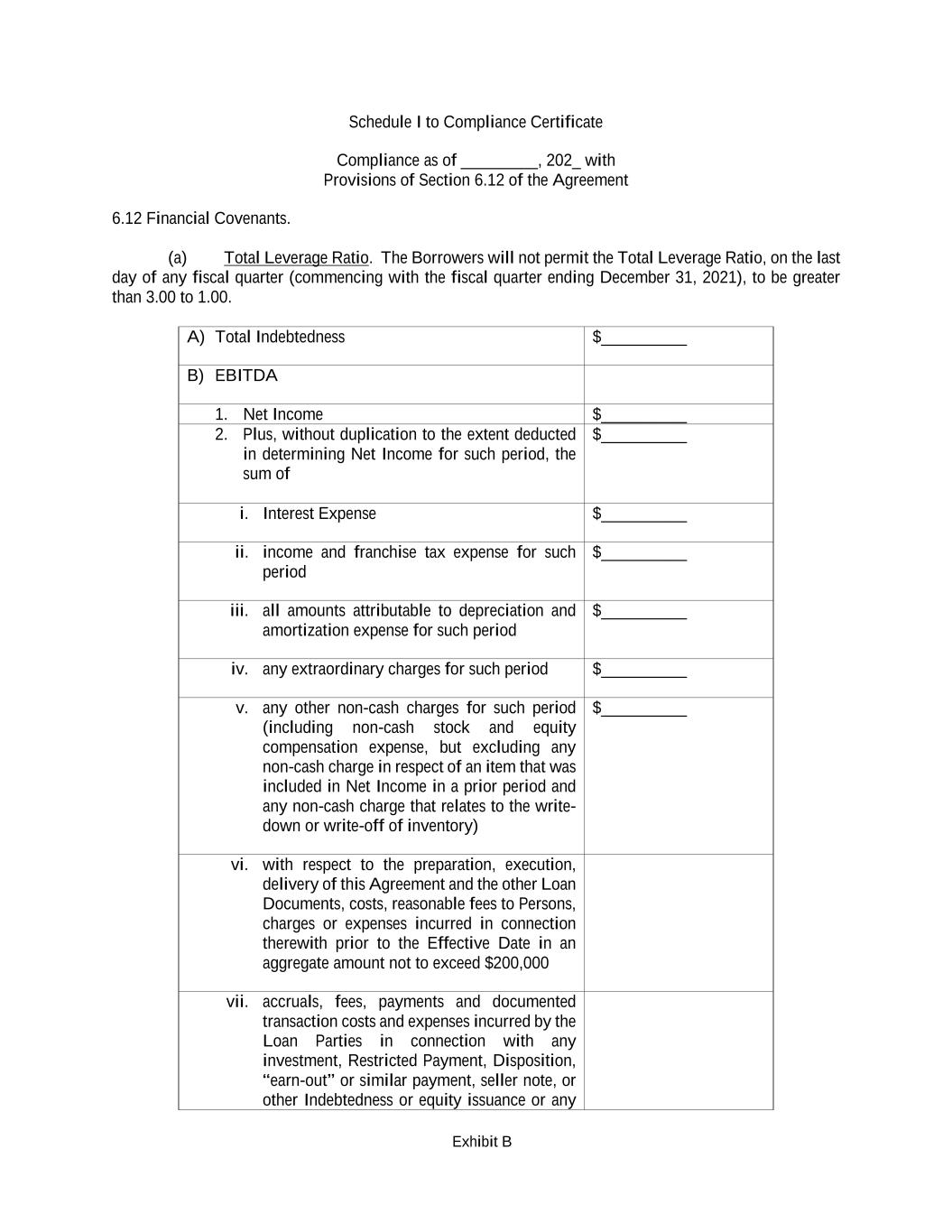
6 743955026 “Daily Simple SOFR” means, for any day, SOFR, with the conventions for this rate (which may include a lookback) being established by Lender in accordance with the conventions for this rate selected or recommended by the Relevant Governmental Body for determining “Daily Simple SOFR” for business loans; provided that if Lender decides that any such convention is not administratively feasible for Lender, then Lender may establish another convention in its reasonable discretion. “Default” means any event or condition which constitutes an Event of Default or which upon notice, lapse of time or both would, unless cured or waived, become an Event of Default. “Disposition” or “Dispose” means the sale, transfer, license, lease or other disposition (in one transaction or in a series of transactions and whether effected pursuant to a Division or otherwise) of any property by any Person (including any sale and leaseback transaction and any issuance of Equity Interests by a Subsidiary of such Person), including any sale, assignment, transfer or other disposal, with or without recourse, of any notes or accounts receivable or any rights and claims associated therewith. “Dividing Person” has the meaning assigned to it in the definition of “Division.” “Division” means the division of the assets, liabilities and/or obligations of a Person (the “Dividing Person”) among two or more Persons (whether pursuant to a “plan of division” or similar arrangement), which may or may not include the Dividing Person and pursuant to which the Dividing Person may or may not survive. “Division Successor” means any Person that, upon the consummation of a Division of a Dividing Person, holds all or any portion of the assets, liabilities and/or obligations previously held by such Dividing Person immediately prior to the consummation of such Division. A Dividing Person which retains any of its assets, liabilities and/or obligations after a Division shall be deemed a Division Successor upon the occurrence of such Division. “Document” has the meaning assigned to such term in the Security Agreement. “Dollars”, “dollars” or “$” refers to lawful money of the U.S. “EBITDA” means, for any period, Net Income for such period plus (a) without duplication and to the extent deducted in determining Net Income for such period, the sum of (i) Interest Expense for such period, (ii) income and franchise tax expense for such period, (iii) all amounts attributable to depreciation and amortization expense for such period, (iv) any extraordinary charges for such period, (v) any other non- cash charges for such period (including non-cash stock and equity compensation expense, but excluding any non-cash charge in respect of an item that was included in Net Income in a prior period and any non- cash charge that relates to the write-down or write-off of inventory), (vi) with respect to the preparation, execution, delivery of this Agreement and the other Loan Documents, costs, reasonable fees to Persons, charges or expenses incurred in connection therewith prior to the Effective Date in an aggregate amount not to exceed $200,000, (vii) accruals, fees, payments and documented transaction costs and expenses incurred by the Loan Parties in connection with any investment, Restricted Payment, Disposition, “earn- out” or similar payment, seller note, or other Indebtedness or equity issuance or any refinancing transactions or amendment, waiver or other modification of any debt or equity instrument or document (including, without limitation, the Loan Documents and any operating or similar agreement), regulatory filings or other regulatory related issue, in each case, incurred for such period solely to the extent attributable to any relevant transaction not prohibited by this Agreement (regardless of whether consummated); provided that the aggregate amount added back to EBITDA pursuant to this clause (vii) and clauses (viii) and (xii) below for any period shall not exceed 20% of EBITDA (calculated after giving effect to such add backs), (viii) severance and other costs of employee or officer terminations, restructuring, integration or similar charges


 
7 743955026 in respect of systems (including software and “IT systems”), restructurings, closing of operations, headcount reductions or other similar actions (including relocation costs), business process optimizations, integration costs, signing costs, retention or completion bonuses, employee replacement costs, transition costs, costs related to opening or pre-opening, closure and/or consolidation of facilities; provided that the aggregate amount added back to EBITDA pursuant to this clause (viii) and clause (vii) above and clause (xii) below for any period shall not exceed 20% of EBITDA (calculated after giving effect to such add backs), (ix) proceeds of business interruption insurance received during such period or reasonably expected to be received within 365 days after the end of such period, (x) charges, losses or expenses to the extent indemnified or insured or reimbursed by an unaffiliated third party to the extent such indemnification, insurance or reimbursement is actually received for such period, or is reasonably expected to be so paid or reimbursed within 365 days after the end of such period, (xi) directors fees and expense reimbursements and indemnification payments paid to directors and (xii) fees, costs and expenses incurred in connection with litigation, legal disputes, settlement of claims, and other related costs; provided that the aggregate amount added back to EBITDA pursuant to this clause (xii) and clauses (vii) and (viii) above for any period shall not exceed 20% of EBITDA (calculated after giving effect to such add backs), minus (b) without duplication and to the extent included in Net Income, (i) any cash payments made during such period in respect of non-cash charges described in clause (a)(v) taken in a prior period, (ii) any extraordinary gains and any non-cash items of income for such period and (iii)(A) any proceeds of business interruption insurance not received or expenses not reimbursed by third parties within the 365 day period set forth in clause (a)(ix) or (x) of this definition and (B) any proceeds of business interruption insurance which are received or reimbursements which are made by third parties within the 365 day period set forth in clause (a)(ix) or (x) to the extent added back to Net Income in any prior period, all calculated for the Company and its Subsidiaries on a consolidated basis in accordance with GAAP. For the avoidance of doubt, EBITDA for any period, (x) shall include, without duplication, the EBITDA of any Person, property, business or asset acquired or formed by the Borrower or any Loan Party during such period, to the extent (A) such Person becomes a Loan Party, (B) such property, business or asset is owned by a Loan Party and (C) such Person, property or asset is not subsequently sold, transferred, abandoned or otherwise disposed by the Borrower or such Loan Party, and (y) shall exclude the EBITDA of any Person property, business or asset sold, transferred, abandoned or otherwise disposed by the Borrower or such Loan Party during such period to the extent (A) that such Person sold, transferred, abandoned or otherwise disposed was a Loan Party and (B) such property, business or asset that was sold, transferred, abandoned or otherwise disposed was owned by a Loan Party. “ECP” means an “eligible contract participant” as defined in Section 1(a)(18) of the Commodity Exchange Act or any regulations promulgated thereunder and the applicable rules issued by the Commodity Futures Trading Commission and/or the SEC. “Effective Date” means the date on which the conditions specified in Section 4.01 are satisfied (or waived in accordance with Section 8.02). “Electronic Signature” means an electronic sound, symbol, or process attached to, or associated with, a contract or other record and adopted by a Person with the intent to sign, authenticate or accept such contract or record. “Electronic System” means any electronic system, including e-mail, e-fax, web portal access for the Borrower and any other Internet or extranet-based site, whether such electronic system is owned, operated or hosted by the Lender and any of its respective Related Parties or any other Person, providing for access to data protected by passcodes or other security system.


 
8 743955026 “Environmental Laws” means all applicable laws, rules, regulations, codes, ordinances, orders, decrees, judgments, injunctions, notices or binding agreements issued, promulgated or entered into by any Governmental Authority, relating in any way to the (i) environment, (ii) preservation or reclamation of natural resources, (iii) the management, Release or threatened Release of any Hazardous Material or (iv) health and safety matters. “Environmental Liability” means any liability, contingent or otherwise (including any liability for damages, costs of environmental remediation, fines, penalties or indemnities), of a Borrower or any Subsidiary directly or indirectly resulting from or based upon (a) any violation of any Environmental Law, (b) the generation, use, handling, transportation, storage, treatment or disposal of any Hazardous Materials, (c) any exposure to any Hazardous Materials, (d) the Release or threatened Release of any Hazardous Materials into the environment or (e) any contract, agreement or other consensual arrangement pursuant to which liability is assumed or imposed with respect to any of the foregoing. “Equipment” has the meaning assigned to such term in the Security Agreement. “Equity Interests” means shares of capital stock, partnership interests, membership interests in a limited liability company, beneficial interests in a trust or other equity ownership interests in a Person, and any warrants, options or other rights entitling the holder thereof to purchase or acquire any of the foregoing, but excluding any debt securities convertible into any of the foregoing. “ERISA” means the Employee Retirement Income Security Act of 1974, as amended from time to time, and the rules and regulations promulgated thereunder. “ERISA Affiliate” means any trade or business (whether or not incorporated) that, together with a Borrower, is treated as a single employer under Section 414(b) or (c) of the Code or Section 4001(14) of ERISA or, solely for purposes of Section 302 of ERISA and Section 412 of the Code, is treated as a single employer under Section 414 of the Code. “ERISA Event” means (a) any “reportable event”, as defined in Section 4043 of ERISA or the regulations issued thereunder, with respect to a Plan (other than an event for which the 30-day notice period is waived); (b) the failure to satisfy the “minimum funding standard” (as defined in Section 412 of the Code or Section 302 of ERISA), whether or not waived; (c) the filing pursuant to Section 412(c) of the Code or Section 302(c) of ERISA of an application for a waiver of the minimum funding standard with respect to any Plan; (d) the incurrence by any Borrower or any ERISA Affiliate of any liability under Title IV of ERISA with respect to the termination of any Plan; (e) the receipt by any Borrower or any ERISA Affiliate from the PBGC or a plan administrator of any notice relating to an intention to terminate any Plan or Plans or to appoint a trustee to administer any Plan; (f) the incurrence by any Borrower or any ERISA Affiliate of any liability with respect to the withdrawal or partial withdrawal of any Borrower or any ERISA Affiliate from any Plan or Multiemployer Plan; or (g) the receipt by any Borrower or any ERISA Affiliate of any notice, or the receipt by any Multiemployer Plan from any Borrower or any ERISA Affiliate of any notice, concerning the imposition upon any Borrower or any ERISA Affiliate of Withdrawal Liability or a determination that a Multiemployer Plan is, or is expected to be, insolvent or in critical status, within the meaning of Title IV of ERISA. “Eurodollar”, when used in reference to any Loan or Borrowing, refers to whether such Loan, or the Loans comprising such Borrowing, bear interest at a rate determined by reference to the Adjusted LIBO Rate. “Event of Default” has the meaning assigned to such term in Section 7.01.


 
9 743955026 “Excluded Swap Obligation” means, with respect to any Guarantor, any Swap Obligation if, and to the extent that, all or a portion of the Guarantee of such Guarantor of, or the grant by such Guarantor of a security interest to secure, such Swap Obligation (or any Guarantee thereof) is or becomes illegal under the Commodity Exchange Act or any rule, regulation or order of the Commodity Futures Trading Commission (or the application or official interpretation of any thereof) by virtue of such Guarantor’s failure for any reason to constitute an ECP at the time the Guarantee of such Guarantor or the grant of such security interest becomes or would become effective with respect to such Swap Obligation. If a Swap Obligation arises under a master agreement governing more than one swap, such exclusion shall apply only to the portion of such Swap Obligation that is attributable to swaps for which such Guarantee or security interest is or becomes illegal. “Excluded Taxes” means any of the following Taxes imposed on or with respect to the Lender or required to be withheld or deducted from a payment to the Lender: (a) Taxes imposed on or measured by net income (however denominated), franchise Taxes, and branch profits Taxes, in each case, (i) imposed as a result of the Lender being organized under the laws of, or having its principal office or its applicable lending office located in, the jurisdiction imposing such Tax (or any political subdivision thereof) or (ii) that are Other Connection Taxes, (b) U.S. federal withholding Taxes imposed on amounts payable to or for the account of the Lender with respect to an applicable interest in a Loan, Letter of Credit or Commitment pursuant to a law in effect on the date on which (i) the Lender acquires such interest in the Loan, Letter of Credit or Commitment or (ii) the Lender changes its lending office, except in each case to the extent that, pursuant to Section 2.15, amounts with respect to such Taxes were payable either to the Lender’s assignor immediately before the Lender acquired the applicable interest in such Loan, Letter of Credit or Commitment or to the Lender immediately before it changed its lending office, (c) Taxes attributable to the Lender’s failure to comply with Section 2.15(e) and (d) any withholding Taxes imposed under FATCA. “FATCA” means Sections 1471 through 1474 of the Code as of the date of this Agreement (or any amended or successor version that is substantively comparable and not materially more onerous to comply with), any current or future regulations or official interpretations thereof and any agreement entered into pursuant to Section 1471(b)(1) of the Code and any fiscal or regulatory legislation, rules or practices adopted pursuant to any intergovernmental agreement, treaty or convention among Governmental Authorities and implementing such Sections of the Code. “FCA” has the meaning assigned to such term in Section 1.05. “Federal Funds Effective Rate” means, for any day, the rate calculated by the NYFRB based on such day’s federal funds transactions by depositary institutions, as determined in such manner as shall be set forth on the Federal Reserve Bank of New York’s Website from time to time, and published on the next succeeding Business Day by the NYFRB as the effective federal funds rate, provided that, if the Federal Funds Effective Rate as so determined would be less than zero, such rate shall be deemed to be zero for the purposes of this Agreement. “Federal Reserve Bank of New York’s Website” means the website of the NYFRB at http://www.newyorkfed.org, or any successor source. “Federal Reserve Board” means the Board of Governors of the Federal Reserve System of the United States of America. “Financial Officer” means the chief financial officer, principal accounting officer, treasurer or controller of a Borrower. “Fixtures” has the meaning assigned to such term in the Security Agreement.


 
10 743955026 “Foreign Lender” means a Lender that is not a U.S. Person. “Funding Account” has the meaning assigned to such term in Section 4.01(h). “GAAP” means generally accepted accounting principles in the U.S. “Governmental Authority” means the government of the U.S., any other nation or any political subdivision thereof, whether state or local, and any agency, authority, instrumentality, regulatory body, court, central bank or other entity exercising executive, legislative, judicial, taxing, regulatory or administrative powers or functions of or pertaining to government. “Guarantee” of or by any Person (the “guarantor”) means any obligation, contingent or otherwise, of the guarantor guaranteeing or having the economic effect of guaranteeing any Indebtedness or other obligation of any other Person (the “primary obligor”) in any manner, whether directly or indirectly, and including any obligation of the guarantor, direct or indirect, (a) to purchase or pay (or advance or supply funds for the purchase or payment of) such Indebtedness or other obligation or to purchase (or to advance or supply funds for the purchase of) any security for the payment thereof, (b) to purchase or lease property, securities or services for the purpose of assuring the owner of such Indebtedness or other obligation of the payment thereof, (c) to maintain working capital, equity capital or any other financial statement condition or liquidity of the primary obligor so as to enable the primary obligor to pay such Indebtedness or other obligation or (d) as an account party in respect of any letter of credit or letter of guaranty issued to support such Indebtedness or obligation; provided that the term Guarantee shall not include endorsements for collection or deposit in the ordinary course of business or customary and reasonable indemnity obligations in effect on the date hereof or entered into in connection with any acquisition or disposition of assets permitted under this Agreement (other than such obligations with respect to Indebtedness). The amount of any Guarantee shall be deemed to be an amount equal to the stated or determinable amount of the Indebtedness in respect of which such Guarantee is made or, if not stated or determinable, the maximum reasonably anticipated liability in respect thereof (assuming such Person is required to perform thereunder) as determined by such Person in good faith. “Guaranteed Obligations” has the meaning assigned to such term in Section 9.01. “Guarantors” means all Loan Guarantors, and the term “Guarantor” means each or any one of them individually. “Hazardous Materials” means: (a) any substance, material, or waste that is included within the definitions of “hazardous substances,” “hazardous materials,” “hazardous waste,” “toxic substances,” “toxic materials,” “toxic waste,” or words of similar import in any Environmental Law; (b) those substances listed as hazardous substances by the United States Department of Transportation (or any successor agency) (49 C.F.R. 172.101 and amendments thereto) or by the Environmental Protection Agency (or any successor agency) (40 C.F.R. Part 302 and amendments thereto); and (c) any substance, material, or waste that is petroleum, petroleum-related, or a petroleum by-product, asbestos or asbestos-containing material, polychlorinated biphenyls, flammable, explosive, radioactive, freon gas, radon, or a pesticide, herbicide, or any other agricultural chemical. “Immaterial Subsidiary” shall mean any Subsidiary or group of Subsidiaries of any Loan Party (a) whose business and operations represent, individually and in the aggregate, not more than five percent (5%) of EBITDA of the consolidated Loan Parties or (b) which holds, individually and in the aggregate, not more than five percent (5%) of the total assets of the consolidated Loan Parties, in each case, as of the most recent financial statements delivered to the Lender under the Loan Documents.


 
11 743955026 “Impacted Interest Period” has the meaning assigned to such term in the definition of “LIBO Rate.” “Indebtedness” of any Person means, without duplication, (a) all obligations of such Person for borrowed money or with respect to deposits or advances of any kind, (b) all obligations of such Person evidenced by bonds, debentures, notes or similar instruments, (c) all obligations of such Person upon which interest charges are customarily paid, (d) all obligations of such Person under conditional sale or other title retention agreements relating to property acquired by such Person, (e) all obligations of such Person in respect of the deferred purchase price of property or services (excluding current accounts payable incurred in the ordinary course of business) to the extent such obligation (or portion thereof) is fully and finally determined in accordance with the terms of the agreement applicable thereto, (f) all Indebtedness of others secured by (or for which the holder of such Indebtedness has an existing right, contingent or otherwise, to be secured by) any Lien on property owned or acquired by such Person, whether or not the Indebtedness secured thereby has been assumed (provided that the amount of such Indebtedness shall be deemed equal to the lesser of (x) the fair market value of such property or (y) the outstanding principal amount of such Indebtedness), (g) all Guarantees by such Person of Indebtedness of others, (h) all Capital Lease Obligations of such Person, (i) all obligations, contingent or otherwise, of such Person as an account party in respect of letters of credit and letters of guaranty, (j) all obligations, contingent or otherwise, of such Person in respect of bankers’ acceptances, (k) any Contingent Acquisition Consideration obligations (which for all purposes of this Agreement, other than the definition of Total Indebtedness, shall be valued at the maximum potential amount payable with respect to each such Contingent Acquisition Consideration, and with respect to the definition of Total Indebtedness, shall be included if they (1) have been or are required to be recorded as liabilities on a balance sheet of such Person in accordance with GAAP and (2) are then due and payable in accordance with the documents governing any such obligations), (l) any other Off- Balance Sheet Liability and (m) obligations, whether absolute or contingent and howsoever and whensoever created, arising, evidenced or acquired (including all renewals, extensions and modifications thereof and substitutions therefor), under (i) any and all Swap Agreements, and (ii) any and all cancellations, buy backs, reversals, terminations or assignments of any Swap Agreement transaction. The Indebtedness of any Person shall include the Indebtedness of any other entity (including any partnership in which such Person is a general partner) to the extent such Person is liable therefor as a result of such Person’s ownership interest in or other relationship with such entity, except to the extent the terms of such Indebtedness provide that such Person is not liable therefor, in which case, such Indebtedness shall be limited to the amount of such Person’s liability with respect thereto; provided that, Indebtedness shall not include (x) guarantees of real estate leases in the ordinary course of business, accrued expenses, deferred rent, deferred taxes and deferred compensation and customary obligations under employment arrangements or (y) any Operating Lease. “Indemnified Taxes” means (a) Taxes, other than Excluded Taxes, imposed on or with respect to any payment made by or on account of any obligation of any Loan Party under any Loan Document and (b) to the extent not otherwise described in the foregoing clause (a), Other Taxes. “Indemnitee” has the meaning assigned to such term in Section 8.03(c). “Information” has the meaning assigned to such term in Section 8.12. “Interest Election Request” means a request by the Borrower Representative to convert or continue a Revolving Borrowing in accordance with Section 2.06, which shall be substantially in the form of Exhibit A-2 hereto or any other form approved by the Lender. “Interest Payment Date” means: (a) with respect to any CBFR Loan, the first Business Day of each fiscal quarter and the Revolving Credit Maturity Date, and


 
12 743955026 (b) with respect to any Eurodollar Loan, the last day of each Interest Period applicable to the Borrowing of which such Loan is a part and, in the case of a Eurodollar Borrowing with an Interest Period of more than three months’ duration, each day prior to the last day of such Interest Period that occurs at intervals of three months’ duration after the first day of such Interest Period and the Revolving Credit Maturity Date. “Interest Period” means, with respect to any Eurodollar Borrowing, the period commencing on the date of such Eurodollar Borrowing and ending on the numerically corresponding day in the calendar month that is one, three or six months thereafter, as the Borrower Representative may elect; provided that (i) if any Interest Period would end on a day other than a Business Day, such Interest Period shall be extended to the next succeeding Business Day unless such next succeeding Business Day would fall in the next calendar month, in which case such Interest Period shall end on the next preceding Business Day and (ii) any Interest Period that commences on the last Business Day of a calendar month (or on a day for which there is no numerically corresponding day in the last calendar month of such Interest Period) shall end on the last Business Day of the last calendar month of such Interest Period. For purposes hereof, the date of a Borrowing initially shall be the date on which such Borrowing is made and thereafter shall be the effective date of the most recent conversion or continuation of such Borrowing. “Interest Expense” means, with reference to any period, total interest expense (including that attributable to Capital Lease Obligations) of the Company and its Subsidiaries for such period with respect to all outstanding Indebtedness of the Company and its Subsidiaries (including all commissions, discounts and other fees and charges owed with respect to letters of credit and bankers’ acceptances and net costs under Swap Agreements in respect of interest rates, to the extent such net costs are allocable to such period in accordance with GAAP), calculated for the Company and its Subsidiaries on a consolidated basis for such period in accordance with GAAP. “Interim Rate” means (a) the greater of (x) Prime Rate and (y) 2.50%, plus (b) the Applicable Rate with respect to the “CBFR Spread” specified within such Applicable Rate definition. “Interpolated Rate” means, at any time, for any Interest Period, the rate per annum (rounded to the same number of decimal places as the LIBO Screen Rate) determined by the Lender (which determination shall be conclusive and binding absent manifest error) to be equal to the rate that results from interpolating on a linear basis between: (a) the LIBO Screen Rate for the longest period (for which the LIBO Screen Rate is available) that is shorter than the Impacted Interest Period and (b) the LIBO Screen Rate for the shortest period (for which the LIBO Screen Rate is available) that exceeds the Impacted Interest Period, in each case, at such time; provided that, if any Interpolated Rate shall be less than zero, such rate shall be deemed to be zero for purposes of this Agreement. “Inventory” has the meaning assigned to such term in the Security Agreement. “IRS” means the United States Internal Revenue Service. “ISDA Definitions” means the 2006 ISDA Definitions published by the International Swaps and Derivatives Association, Inc. or any successor thereto, as amended or supplemented from time to time, or any successor definitional booklet for interest rate derivatives published from time to time by the International Swaps and Derivatives Association, Inc. or such successor thereto. “Joinder Agreement” means a Joinder Agreement in substantially the form of Exhibit D. “LC Collateral Account” has the meaning assigned to such term in Section 2.04(h).


 
13 743955026 “LC Disbursement” means any payment made by the Lender pursuant to a Letter of Credit. “LC Exposure” means, at any time, the sum of the Commercial LC Exposure and the Standby LC Exposure at such time. “Lender” means JPMorgan Chase Bank, N.A., its successors and assigns. “Lender Related Person” has the meaning assigned to it in Section 8.03(b). “Letters of Credit” means the letters of credit issued pursuant to this Agreement, and the term “Letter of Credit” means any one of them or each of them singularly, as the context may require. “Letter of Credit Agreement” has the meaning assigned to it in Section 2.04(b). “Liabilities” mean all claims (including intraparty claims), actions, suits, judgments, damages, losses, liability, obligations, responsibilities, fines, penalties, sanctions, costs, fees, Taxes, commissions, charges, disbursements and expenses (including those incurred upon any appeal or in connection with the preparation for and/or response to any subpoena or request for document production relating thereto), in each case of any kind or nature (including interest accrued thereon or as a result thereto and fees, charges and disbursements of financial, legal and other advisors and consultants), whether joint or several, whether or not indirect, contingent, consequential, actual, punitive, treble or otherwise. “LIBO Rate” means, with respect to any Eurodollar Borrowing for any applicable Interest Period or for any CBFR Borrowing, the LIBO Screen Rate at approximately 11:00 a.m., London time, two (2) Business Days prior to the commencement of such Interest Period; provided that, if the LIBO Screen Rate shall not be available at such time for such Interest Period (an “Impacted Interest Period”), then the LIBO Rate shall be the Interpolated Rate. “LIBO Screen Rate” means, for any day and time, with respect to any Eurodollar Borrowing for any Interest Period or for any CBFR Borrowing, the London interbank offered rate as administered by ICE Benchmark Administration (or any other Person that takes over the administration of such rate for Dollars) for a period equal in length to such Interest Period as displayed on such day and time on pages LIBOR01 or LIBOR02 of the Reuters screen that displays such rate (or, in the event such rate does not appear on a Reuters page or screen, on any successor or substitute page on such screen that displays such rate, or on the appropriate page of such other information service that publishes such rate from time to time as selected by the Lender in its reasonable discretion); provided that, if the LIBO Screen Rate as so determined would be less than zero, such rate shall be deemed to be zero for the purposes of this Agreement. “LIBOR” has the meaning assigned to such term in Section 1.05. “LIBOR Cessation Event” means the occurrence of one or more of the following events with respect to the LIBO Rate: (1) a public statement or publication of information by or on behalf of the administrator of the LIBO Rate announcing that such administrator has ceased or will cease to provide the LIBO Rate for all available interest periods, permanently or indefinitely, with no successor administrator having been appointed to provide such LIBO Rate at such time; (2) a public statement or publication of information by the regulatory supervisor for the administrator of the LIBO Rate, the Federal Reserve Board, the NYFRB, an insolvency official with jurisdiction over the administrator for the LIBO Rate, a resolution authority with jurisdiction over the


 
14 743955026 administrator for the LIBO Rate or a court or an entity with similar insolvency or resolution authority over the administrator for the LIBO Rate, in each case which states that the administrator of the LIBO Rate has ceased or will cease to provide the LIBO Rate for all available interest periods permanently or indefinitely, with no successor administrator having been appointed to provide such LIBO Rate at such time; and/or (3) a public statement or publication of information by the regulatory supervisor for the administrator of the LIBO Screen Rate announcing that the LIBO Screen Rate for all available interest periods is no longer representative. “Lien” means, with respect to any asset, (a) any mortgage, deed of trust, lien, pledge, hypothecation, encumbrance, charge or security interest in, on or of such asset, (b) the interest of a vendor or a lessor under any conditional sale agreement, capital lease or title retention agreement (or any financing lease having substantially the same economic effect as any of the foregoing) relating to such asset and (c) in the case of securities, any purchase option, call or similar right of a third party with respect to such securities. “Loan Documents” means, collectively, this Agreement, each promissory note issued pursuant to this Agreement, each Letter of Credit Agreement, each Collateral Document, the Loan Guaranty, each Compliance Certificate, each other certification delivered in connection with this Agreement, and each other agreement, instrument, document and certificate executed and delivered to, or in favor of, the Lender in connection with this Agreement or the transactions contemplated hereby and including each other pledge, power of attorney, consent, assignment, contract, notice, letter of credit agreement and letter of credit application whether heretofore, now or hereafter executed by or on behalf of any Loan Party, or any employee of any Loan Party, and delivered to the Lender in connection with this Agreement or the transactions contemplated hereby. Any reference in this Agreement or any other Loan Document to a Loan Document shall include all appendices, exhibits or schedules thereto, and all amendments, restatements, amendments and restatements supplements or other modifications thereto, and shall refer to this Agreement or such Loan Document as the same may be in effect at any and all times such reference becomes operative. “Loan Guarantor” means each Loan Party. “Loan Guaranty” means Article IX of this Agreement. “Loan Parties” means, collectively, the Borrowers, the Borrowers’ domestic Subsidiaries and any other Person who becomes a party to this Agreement pursuant to a Joinder Agreement and their respective successors and assigns, and the term “Loan Party” shall mean any one of them or all of them individually, as the context may require. “Loans” means the loans and advances made by the Lender pursuant to this Agreement. “Margin Stock” means margin stock within the meaning of Regulations T, U and X, as applicable. “Material Adverse Effect” means a material adverse effect on (a) the business, assets, results of operations or financial condition of the Company and its Subsidiaries, taken as a whole, (b) the ability of any Loan Party, taken as a whole, to perform the Obligations, (c) a material portion of the Collateral, or the Lender’s Liens (on behalf of itself and the other Secured Parties) on the Collateral or the priority of such Liens unless caused by any action or inaction of the Lender or any Secured Party, or (d) the rights of or benefits available to the Lender under any of the Loan Documents, taken as a whole. “Material Indebtedness” means Indebtedness (other than the Loans and Letters of Credit), or obligations in respect of one or more Swap Agreements, of any one or more of the Loan Parties in an


 
15 743955026 aggregate principal amount exceeding $5,000,000. For purposes of determining Material Indebtedness, the “principal amount of the obligations” of the Loan Parties in respect of any Swap Agreement at any time shall be the maximum aggregate amount (giving effect to any netting agreements) that such Loan Party would be required to pay if such Swap Agreement were terminated at such time. “Maximum Rate” has the meaning assigned to such term in Section 8.16. “Moody’s” means Moody’s Investors Service, Inc. “Mortgage” means any mortgage, deed of trust or other agreement which conveys or evidences a Lien in favor of the Lender, on real property of a Loan Party, including any amendment, restatement, modification or supplement thereto. “Multiemployer Plan” means a multiemployer plan as defined in Section 4001(a)(3) of ERISA to which any Borrower or any ERISA Affiliate contributes, is obligated to contribute, or has any liability. “Net Income” means, for any period, the consolidated net income (or loss) determined for the Company and its Subsidiaries, on a consolidated basis in accordance with GAAP; provided that there shall be excluded (a) the income (or deficit) of any Person accrued prior to the date it becomes a Subsidiary or is merged into or consolidated with any Borrower or any Subsidiary, and (b) the income (or deficit) of any Person (other than a Subsidiary) in which any Borrower or any Subsidiary has an ownership interest, except to the extent that any such income is actually received by such Borrower or such Subsidiary in the form of dividends or similar distributions and (c) the undistributed earnings of any Subsidiary, to the extent that the declaration or payment of dividends or similar distributions by such Subsidiary is not at the time permitted by the terms of any contractual obligation (other than under any Loan Document) or Requirement of Law applicable to such Subsidiary. “Net Proceeds” means, with respect to any event, (a) the cash proceeds received in respect of such event including (i) any cash received in respect of any non-cash proceeds (including any cash payments received by way of deferred payment of principal pursuant to a note or installment receivable or purchase price adjustment receivable or otherwise, but excluding any interest payments), but only as and when received, (ii) in the case of a casualty, insurance proceeds and (iii) in the case of a condemnation or similar event, condemnation awards and similar payments, minus (b) the sum of (i) all costs, commissions, premiums and reasonable fees and out-of-pocket expenses paid to third parties (other than Affiliates) in connection with such event, (ii) in the case of Disposition of an asset (including pursuant to a sale and leaseback transaction or a casualty or a condemnation or similar proceeding), the amount of all payments required to be made as a result of such event to repay Indebtedness (other than Loans) secured by such asset or otherwise subject to mandatory prepayment as a result of such event and (iii) the amount of all taxes paid (or reasonably estimated to be payable) and the amount of any reserves established to fund contingent liabilities reasonably estimated to be payable, in each case during the year that such event occurred or the next succeeding year and that are directly attributable to such event (as determined reasonably and in good faith by a Financial Officer of the Borrower Representative). “NYFRB” means the Federal Reserve Bank of New York. “NYFRB Rate” means, for any day, the greater of (a) the Federal Funds Effective Rate in effect on such day and (b) the Overnight Bank Funding Rate in effect on such day (or for any day that is not a Business Day, for the immediately preceding Business Day); provided that if none of such rates are published for any day that is a Business Day, the term “NYFRB Rate” means the rate for a federal funds transaction quoted at 11:00 a.m. on such day received by the Lender from a federal funds broker of


 
16 743955026 recognized standing selected by it; provided, further, that if any of the aforesaid rates as so determined would be less than zero, such rate shall be deemed to be zero for purposes of this Agreement. “Obligated Party” has the meaning assigned to such term in Section 9.02. “Obligations” means all unpaid principal of and accrued and unpaid interest on the Loans, all LC Exposure, all accrued and unpaid fees and all expenses, reimbursements, indemnities and other obligations and indebtedness (including interest and fees accruing during the pendency of any bankruptcy, insolvency, receivership or other similar proceeding, regardless of whether allowed or allowable in such proceeding), obligations and liabilities of any of the Loan Parties to the Lender or any indemnified party, individually or collectively, existing on the Effective Date or arising thereafter, direct or indirect, joint or several, absolute or contingent, matured or unmatured, liquidated or unliquidated, secured or unsecured, arising by contract, operation of law or otherwise, arising or incurred under this Agreement or any of the other Loan Documents or in respect of any of the Loans made or reimbursement or other obligations incurred or any of the Letters of Credit or other instruments at any time evidencing any thereof. “Off-Balance Sheet Liability” of a Person means (a) any repurchase obligation or liability of such Person with respect to accounts or notes receivable sold by such Person, (b) any indebtedness, liability or obligation under any so-called “synthetic lease” transaction entered into by such Person, or (c) any indebtedness, liability or obligation arising with respect to any other transaction which is the functional equivalent of or takes the place of borrowing but which does not constitute a liability on the balance sheet of such Person (other than operating leases). “Other Connection Taxes” means, with respect to the Lender, Taxes imposed as a result of a present or former connection between the Lender and the jurisdiction imposing such Taxes (other than a connection arising from the Lender having executed, delivered, become a party to, performed its obligations under, received payments under, received or perfected a security interest under, engaged in any other transaction pursuant to, or enforced, any Loan Document), or sold or assigned an interest in any Loan, Letter of Credit, or any Loan Document. “Other Taxes” means all present or future stamp, court or documentary, intangible, recording, filing or similar Taxes that arise from any payment made under, from the execution, delivery, performance, enforcement or registration of, from the receipt or perfection of a security interest under, or otherwise with respect to, any Loan Document, except any such Taxes that are Other Connection Taxes imposed with respect to an assignment. “Overnight Bank Funding Rate” means, for any day, the rate comprised of both overnight federal funds and overnight Eurodollar borrowings by U.S.-managed banking offices of depository institutions (as such composite rate shall be determined by the NYFRB as set forth on the Federal Reserve Bank of New York’s Website from time to time) and published on the next succeeding Business Day by the NYFRB as an overnight bank funding rate. “Paid in Full” or “Payment in Full” means, (i) the payment in full in cash of all outstanding Loans and LC Disbursements, together with accrued and unpaid interest thereon, (ii) the termination, expiration, or cancellation and return of all outstanding Letters of Credit (or alternatively, with respect to each such Letter of Credit, the furnishing to the Lender of a cash deposit, or at the discretion of the Lender a back up standby letter of credit reasonably satisfactory to the Lender, in an amount equal to 103% of the LC Exposure as of the date of such payment), (iii) the payment in full in cash of the accrued and unpaid fees, (iv) the payment in full in cash of all reimbursable expenses and other Secured Obligations (other than Unliquidated Obligations for which no claim has been made and other obligations expressly stated to survive such payment and termination of this Agreement), together with accrued and unpaid interest


 
17 743955026 thereon, (v) the termination of all Commitments, and (vi) the termination of the Swap Agreement Obligations and the Banking Services Obligations or entering into other arrangements reasonably satisfactory to the Secured Parties counterparties thereto. “Participant” has the meaning assigned to such term in Section 8.04(c). “Participant Register” has the meaning assigned to such term in Section 8.04(c). “PBGC” means the Pension Benefit Guaranty Corporation referred to and defined in ERISA and any successor entity performing similar functions. “Permitted Acquisition” means any Acquisition by any Loan Party in a transaction that satisfies each of the following requirements: (a) such Acquisition is not a hostile or contested acquisition; (b) the business acquired in connection with such Acquisition is (i) located in the U.S., (ii) organized under applicable U.S. and state laws, and (iii) not engaged, directly or indirectly, in any line of business other than the businesses in which the Loan Parties are engaged on the Effective Date and any business operations or activities that are reasonably complementary, ancillary, similar, related or incidental thereto or any business or activity that is a reasonable extension, development or expansion thereof or ancillary thereto; provided that a Loan Party may acquire one or more businesses outside of the U.S. or organized under non-U.S. laws so long as the total consideration of all such acquisitions shall not exceed $10,000,000 in the aggregate; (c) both immediately before and immediately after giving effect to such Acquisition and the Loans (if any) requested to be made in connection therewith, each of the representations and warranties in the Loan Documents is true and correct (except (i) any such representation or warranty which relates to a specified prior date) and no Default exists or would immediately result therefrom; (d) as soon as available, but not less than five (5) Business Days prior to such Acquisition, the Borrower Representative has provided the Lender (i) notice of such Acquisition, (ii) a copy of all business and financial information reasonably requested by the Lender in writing including pro forma financial statements, statements of cash flow, and Availability projections and (iii) with respect to any Acquisition for which the total consideration (including maximum potential total amount of all Contingent Acquisition Consideration and any Indebtedness assumed or incurred) is $10,000,000 or greater, a quality of earnings report; (e) if such Acquisition is an acquisition of the Equity Interests of a Person, such Acquisition is structured so that the acquired Person shall become a wholly-owned Subsidiary of the Company and, within thirty (30) days of the consummation of the Acquisition, become a Loan Party hereunder; (f) if such Acquisition is an acquisition of assets, such Acquisition is structured so that a Borrower or another Loan Party shall acquire such assets; (g) if such Acquisition is an acquisition of Equity Interests, such Acquisition will not result in any violation of Regulation U;


 
18 743955026 (h) if such Acquisition involves a merger or a consolidation involving a Borrower or any other Loan Party, such Borrower or such Loan Party, as applicable, shall be the surviving entity; (i) no Loan Party shall, as a result of or in connection with any such Acquisition, assume or incur any direct or contingent liabilities (whether relating to environmental, tax, litigation, or other matters) that would be reasonably likely to have a Material Adverse Effect; (j) in connection with an Acquisition of the Equity Interests of any Person, all Liens on property of such Person shall be terminated (except for Liens permitted pursuant to Section 6.02) unless the Lender in its sole discretion consents otherwise, and in connection with an Acquisition of the assets of any Person, all Liens on such assets shall be terminated; (k) immediately before and immediately after giving effect to such Acquisition, (i) the Total Leverage Ratio for the Loan Parties, on a pro forma basis, does not exceed the Total Leverage Ratio permitted under Section 6.12(a) at such time less 0.50x, for the most recently completed four fiscal quarter period for which financial statements have been delivered to the Lender under the Loan Documents prior to such Acquisition and (ii) the Borrowers will be in compliance with each of the other covenants contained in Section 6.12; and (l) the Borrower Representative shall have delivered to the Lender the final executed documentation relating to such Acquisition within five (5) Business Days following the consummation thereof. “Permitted Encumbrances” means: (a) Liens imposed by law for Taxes that are not yet due or are being contested in compliance with Section 5.04; (b) carriers’, warehousemen’s, mechanics’, materialmen’s, repairmen’s and other like Liens imposed by law, arising in the ordinary course of business and securing obligations that are not overdue by more than thirty (30) days or are being contested in compliance with Section 5.04; (c) pledges and deposits made in the ordinary course of business in compliance with workers’ compensation, unemployment insurance and other social security laws or regulations; (d) deposits to secure the performance of bids, trade contracts, leases, statutory obligations, surety and appeal bonds, performance bonds and other obligations of a like nature, in each case in the ordinary course of business; (e) judgment Liens in respect of judgments that do not constitute an Event of Default under clause (k) of Section 7.01; and (f) easements, zoning restrictions, rights-of-way and similar encumbrances on real property imposed by law or arising in the ordinary course of business that do not secure any monetary obligations and do not materially detract from the value of the affected property or interfere with the ordinary conduct of business of any Borrower or any Subsidiary; (g) pledges and deposits in the ordinary course of business securing the financing of the insurance premiums under insurance policies, payable to insurance carriers that provide insurance to the Loan Parties;


 
19 743955026 (h) Liens encumbering customary initial deposits in respect of brokerage accounts incurred in the ordinary course of business; (i) ground leases in respect of real property on which facilities owned or leased by the Borrower or any of its Subsidiaries are located; (j) Liens in favor of customs and revenue authorities arising as a matter of law to secure payment of customs duties in connection with the importation of goods; (k) rights of set-off of a customary nature or bankers’ Liens on amounts on deposit, whether arising by contract or law, incurred in the ordinary course of business; and (l) Liens arising from precautionary Uniform Commercial Code financing statements or similar filings made in respect of operating leases; provided that the term “Permitted Encumbrances” shall not include any Lien securing Indebtedness for borrowed money. “Permitted Investments” means: (a) direct obligations of, or obligations the principal of and interest on which are unconditionally guaranteed by, the U.S. (or by any agency thereof to the extent such obligations are backed by the full faith and credit of the U.S.), in each case maturing within one year from the date of acquisition thereof; (b) investments in commercial paper maturing within 270 days from the date of acquisition thereof and having, at such date of acquisition, the highest credit rating obtainable from S&P or from Moody’s; (c) investments in certificates of deposit, bankers’ acceptances and time deposits maturing within 180 days from the date of acquisition thereof issued or guaranteed by or placed with, and money market deposit accounts issued or offered by, any domestic office of any commercial bank organized under the laws of the U.S. or any state thereof which has a combined capital and surplus and undivided profits of not less than $500,000,000; (d) fully collateralized repurchase agreements with a term of not more than 30 days for securities described in clause (a) above and entered into with a financial institution satisfying the criteria described in clause (c) above; (e) money market funds that (i) comply with the criteria set forth in Securities and Exchange Commission Rule 2a-7 under the Investment Company Act of 1940, (ii) are rated AAA by S&P and Aaa by Moody’s and (iii) have portfolio assets of at least $5,000,000,000; and (f) other short term liquid investments reasonably acceptable to the Lender and consistent with the Company’s Investment Policy Statement. “Person” means any natural person, corporation, limited liability company, trust, joint venture, association, company, partnership, Governmental Authority or other entity. “Plan” means any employee pension benefit plan (other than a Multiemployer Plan) subject to the provisions of Title IV of ERISA or Section 412 of the Code or Section 302 of ERISA, and in respect of


 
20 743955026 which any Borrower or any ERISA Affiliate is (or, if such plan were terminated, would under Section 4069 of ERISA be deemed to be) an “employer” as defined in Section 3(5) of ERISA. “Plan Asset Regulations” means 29 CFR § 2510.3-101 et seq., as modified by Section 3(42) of ERISA, as amended from time to time. “Prime Rate” means the rate of interest last quoted by The Wall Street Journal as the “Prime Rate” in the U.S. or, if The Wall Street Journal ceases to quote such rate, the highest per annum interest rate published by the Federal Reserve Board in Federal Reserve Statistical Release H.15 (519) (Selected Interest Rates) as the “bank prime loan” rate or, if such rate is no longer quoted therein, any similar rate quoted therein (as determined by the Lender) or any similar release by the Federal Reserve Board (as determined by the Lender). Each change in the Prime Rate shall be effective from and including the date such change is publicly announced or quoted as being effective. “Proceeding” means any claims, litigation, investigation, action, suit, arbitration or administrative, judicial or regulatory action or proceeding in any jurisdiction. “Projections” has the meaning assigned to such term in Section 5.01(d). “Qualified ECP Guarantor” means, in respect of any Swap Obligation, each Loan Party that has total assets exceeding $10,000,000 at the time the relevant Loan Guaranty or grant of the relevant security interest becomes or would become effective with respect to such Swap Obligation or such other person as constitutes an “eligible contract participant” under the Commodity Exchange Act or any regulations promulgated thereunder and can cause another person to qualify as an “eligible contract participant” at such time by entering into a keepwell under Section 1a(18)(A)(v)(II) of the Commodity Exchange Act. “Real Property” means all real property that was, is now or may hereafter be owned, occupied or otherwise controlled by any Loan Party pursuant to any contract of sale, lease or other conveyance of any legal interest in any real property to any Loan Party. “Refinance Indebtedness” has the meaning assigned to such term in Section 6.01(f). “Regulation D” means Regulation D of the Federal Reserve Board, as in effect from time to time and all official rulings and interpretations thereunder or thereof. “Regulation T” means Regulation T of the Federal Reserve Board, as in effect from time to time and all official rulings and interpretations thereunder or thereof. “Regulation U” means Regulation U of the Federal Reserve Board, as in effect from time to time and all official rulings and interpretations thereunder or thereof. “Regulation X” means Regulation X of the Federal Reserve Board, as in effect from time to time and all official rulings and interpretations thereunder or thereof. “Related Parties” means, with respect to any specified Person, such Person’s Affiliates and the respective directors, officers, partners, members, trustees, employees, agents, administrators, managers, representatives and advisors of such Person and such Person’s Affiliates. “Release” means any releasing, spilling, leaking, pumping, pouring, emitting, emptying, discharging, injecting, escaping, leaching, migrating, disposing, or dumping of any substance into the environment.


 
21 743955026 “Relevant Governmental Body” means the Federal Reserve Board or the NYFRB, or a committee officially endorsed or convened by the Federal Reserve Board or the NYFRB, or any successor thereto. “Report” means reports prepared by the Lender or another Person showing the results of appraisals, field examinations or audits pertaining to a Borrower’s assets from information furnished by or on behalf of such Borrower, after the Lender has exercised its rights of inspection pursuant to this Agreement. “Requirement of Law” means, with respect to any Person, (a) the charter, articles or certificate of organization or incorporation and bylaws or operating, management or partnership agreement, or other organizational or governing documents of such Person and (b) any statute, law (including common law), treaty, rule, regulation, code, ordinance, order, decree, writ, judgment, injunction or determination of any arbitrator or court or other Governmental Authority (including Environmental Laws), in each case applicable to or binding upon such Person or any of its property or to which such Person or any of its property is subject. “Responsible Officer” means the president, Financial Officer or other executive officer of the Borrower. “Restricted Payment” means any dividend or other distribution (whether in cash, securities or other property) with respect to any Equity Interests in any Loan Party or any Subsidiary, or any payment (whether in cash, securities or other property), including any sinking fund or similar deposit, on account of the purchase, redemption, retirement, acquisition, cancellation or termination of any such Equity Interests or any option, warrant or other right to acquire any such Equity Interests. “Reuters” means, as applicable, Thomson Reuters Corp, Refinitiv, or any successor thereto. “Revolving Commitment” means the commitment of the Lender to make Revolving Loans and issue Letters of Credit hereunder, as such commitment may be reduced from time to time pursuant to Section 2.07. The initial amount of the Lender’s Revolving Commitment is $50,000,000. “Revolving Credit Maturity Date” means December 21, 2026 (if the same is a Business Day, or if not then the immediately next succeeding Business Day), or any earlier date on which the Revolving Commitment is reduced to zero or otherwise terminated pursuant to the terms hereof. “Revolving Exposure” means, at any time, the sum of the aggregate outstanding principal amount of the Lender’s Revolving Loans and its LC Exposure at such time. “Revolving Loan” means a Loan made pursuant to Section 2.01(a). “S&P” means Standard & Poor’s Ratings Services, a Standard & Poor’s Financial Services LLC business. “Sale and Leaseback Transaction” has the meaning assigned to such term in Section 6.06. “Sanctioned Country” means, at any time, a country, region or territory which is the subject or target of any Sanctions (at the time of this Agreement, Crimea, Cuba, Iran, North Korea and Syria). “Sanctioned Person” means, at any time, (a) any Person listed in any Sanctions-related list of designated Persons maintained by the Office of Foreign Assets Control of the U.S. Department of the Treasury or the U.S. Department of State, (b) any Person operating, organized or resident in a Sanctioned


 
22 743955026 Country, (c) any Person owned or controlled by any such Person or Persons described in the foregoing clauses (a) or (b) or (d) any Person otherwise the subject of any Sanctions. “Sanctions” means all economic or financial sanctions or trade embargoes imposed, administered or enforced from time to time by the U.S. government, including those administered by the Office of Foreign Assets Control of the U.S. Department of the Treasury or the U.S. Department of State. “SEC” means the Securities and Exchange Commission of the U.S. “Secured Obligations” means all Obligations, together with all (i) Banking Services Obligations and (ii) Swap Agreement Obligations owing to the Lender or its Affiliates; provided, however, that the definition of “Secured Obligations” shall not create any guarantee by any Guarantor of (or grant of security interest by any Guarantor to support, as applicable) any Excluded Swap Obligations of such Guarantor for purposes of determining any obligations of any Guarantor. “Secured Parties” means (a) the Lender, (b) each provider of Banking Services, to the extent the Banking Services Obligations in respect thereof constitute Secured Obligations, (c) each counterparty to any Swap Agreement, to the extent the obligations thereunder constitute Secured Obligations, (d) the beneficiaries of each indemnification obligation undertaken by any Loan Party under any Loan Document, and (e) the successors and assigns of each of the foregoing. “Security Agreement” means that certain Pledge and Security Agreement (including any and all supplements thereto), dated as of the date hereof, among the Loan Parties and the Lender, for the benefit of the Secured Parties, and any other pledge or security agreement entered into, after the date of this Agreement by any other Loan Party (as required by this Agreement or any other Loan Document) or any other Person for the benefit of the Lender, on behalf of the Secured Parties, as the same may be amended, restated, amended and restated, supplemented or otherwise modified from time to time. “SOFR” means, with respect to any Business Day, a rate per annum equal to the secured overnight financing rate for such Business Day published by the NYFRB (or a successor administrator of the secured overnight financing rate) on its website on the immediately succeeding Business Day. “Standby LC Exposure” means, at any time, the sum of (a) the aggregate undrawn amount of all standby Letters of Credit outstanding at such time plus (b) the aggregate amount of all LC Disbursements relating to standby Letters of Credit that have not yet been reimbursed by or on behalf of a Borrower at such time. “Statements” has the meaning assigned to such term in Section 2.16(d). “Statutory Reserve Rate” means a fraction (expressed as a decimal), the numerator of which is the number one and the denominator of which is the number one minus the aggregate of the maximum reserve percentage (including any marginal, special, emergency or supplemental reserves) established by the Federal Reserve Board to which the Lender is subject with respect to the Adjusted LIBO Rate, for eurocurrency funding (currently referred to as “Eurocurrency liabilities” in Regulation D) or any other reserve ratio or analogous requirement of any central banking or financial regulatory authority imposed in respect of the maintenance of the Commitments or the funding of the Loans. Such reserve percentages shall include those imposed pursuant to Regulation D of the Federal Reserve Board. Eurodollar Loans shall be deemed to constitute eurocurrency funding and to be subject to such reserve requirements without benefit of or credit for proration, exemptions or offsets that may be available from time to time to the Lender under Regulation D of the Federal Reserve Board or any comparable regulation. The Statutory Reserve Rate shall be adjusted automatically on and as of the effective date of any change in any reserve percentage.


 
23 743955026 “Subordinated Indebtedness” of a Person means any Indebtedness of such Person, the payment of which is subordinated to payment of the Secured Obligations to the written satisfaction of the Lender. “subsidiary” means, with respect to any Person (the “parent”) at any date, any corporation, limited liability company, partnership, association or other entity, the accounts of which would be consolidated with those of the parent in the parent’s consolidated financial statements if such financial statements were prepared in accordance with GAAP as of such date, as well as any other corporation, limited liability company, partnership, association or other entity (a) of which securities or other ownership interests representing more than 50% of the equity or more than 50% of the ordinary voting power or, in the case of a partnership, more than 50% of the general partnership interests are, as of such date, owned, controlled or held, or (b) that is, as of such date, otherwise Controlled, by the parent and/or by the parent and one or more subsidiaries of the parent. “Subsidiary” means any direct or indirect subsidiary of the Company, a Borrower or a Loan Party, as applicable. “Swap Agreement” means any agreement with respect to any swap, forward, spot, future, credit default or derivative transaction or any option or similar agreement involving, or settled by reference to, one or more rates, currencies, commodities, equity or debt instruments or securities, or economic, financial or pricing indices or measures of economic, financial or pricing risk or value or any similar transaction or any combination of these transactions; provided that no phantom stock or similar plan providing for payments only on account of services provided by current or former directors, officers, employees or consultants of the Borrowers or their Subsidiaries shall be a Swap Agreement. “Swap Agreement Obligations” means any and all obligations of the Loan Parties or their Subsidiaries, whether absolute or contingent and howsoever and whensoever created, arising, evidenced or acquired (including all renewals, extensions and modifications thereof and substitutions therefor), under (a) any Swap Agreement permitted hereunder with the Lender or an Affiliate of the Lender, and (b) any cancellations, buy backs, reversals, terminations or assignments of any Swap Agreement transaction permitted hereunder with the Lender or an Affiliate of the Lender. “Swap Obligation” means, with respect to any Guarantor, any obligation to pay or perform under any agreement, contract or transaction that constitutes a “swap” within the meaning of section 1a(47) of the Commodity Exchange Act or any rules or regulations promulgated thereunder. “Taxes” means any and all present or future taxes, levies, imposts, duties, deductions, withholdings (including backup withholding), value added taxes, or any other goods and services, use or sales taxes, assessments, fees or other charges imposed by any Governmental Authority, including any interest, additions to tax or penalties applicable thereto. “Term SOFR” means, for the applicable corresponding tenor, the forward-looking term rate based on SOFR that has been selected or recommended by the Relevant Governmental Body, as displayed on a screen or other information service that publishes such rate from time to time as selected by and as of the time determined by Lender in its reasonable discretion. “Term SOFR Transition Conditions” means the occurrence of all of the following events (as determined by Lender in its sole discretion): (i) a LIBOR Cessation Event has occurred, (ii) Term SOFR has been recommended for use by the Relevant Governmental Body, and (iii) the administration of Term SOFR is administratively feasible for Lender.


 
24 743955026 “Total Indebtedness” means, at any date, the aggregate principal amount of all Indebtedness determined for the Company and its Subsidiaries on a consolidated basis at such date. “Total Leverage Ratio” means, on any date, the ratio of (a)(i) Total Indebtedness on such date minus (ii) the aggregate amount of Unrestricted Cash as of such date, not to exceed $5,000,000 to (b) EBITDA for the period of four consecutive fiscal quarters ended on or most recently prior to such date. “Transactions” means the execution, delivery and performance by the Borrowers of this Agreement and the other Loan Documents, the borrowing of Loans and other credit extensions, the use of the proceeds thereof and the issuance of Letters of Credit hereunder. “Type”, when used in reference to any Loan or Borrowing, refers to whether the rate of interest on such Loan, or on the Loans comprising such Borrowing, is determined by reference to the Adjusted LIBO Rate or the CB Floating Rate. “UCC” means the Uniform Commercial Code as in effect from time to time in the State of New York or in any other state, the laws of which are required to be applied in connection with the issue of perfection of security interests. “Unliquidated Obligations” means, at any time, any Secured Obligations (or portion thereof) that are contingent in nature or unliquidated at such time, including any Secured Obligation that is: (i) an obligation to reimburse a bank for drawings not yet made under a letter of credit issued by it; (ii) any other obligation (including any guarantee) that is contingent in nature at such time; or (iii) an obligation to provide collateral to secure any of the foregoing types of obligations. “Unrestricted Cash” means, as of any date of determination, that portion of the Company’s and its Subsidiaries’ aggregate cash and Permitted Investments that is held by the Loan Parties on deposit with one or more financial institutions and subject to a Lien in favor of the Lender and that is not encumbered by or subject to any other Lien, setoff (other than ordinary course setoff rights of a depository bank arising under a bank depository agreement for customary fees, charges and other account-related expenses due to such depository bank thereunder), counterclaim, recoupment, defense or other right in favor of any Person. “U.S.” means the United States of America. “U.S. Person” means any Person that is a “United States Person” as defined in Section 7701(a)(30) of the Code. “USA PATRIOT Act” means the Uniting and Strengthening America by Providing Appropriate Tools Required to Intercept and Obstruct Terrorism Act of 2001. “Withdrawal Liability” means liability to a Multiemployer Plan as a result of a complete or partial withdrawal from such Multiemployer Plan, as such terms are defined in Part I of Subtitle E of Title IV of ERISA. SECTION 1.02.Classification of Loans and Borrowings. For purposes of this Agreement, Loans may be classified and referred to by Class (e.g., a “Revolving Loan”) or by Type (e.g., a “Eurodollar Loan”) or by Class and Type (e.g., a “Eurodollar Revolving Loan”). Borrowings also may be classified and referred to by Class (e.g., a “Revolving Borrowing”) or by Type (e.g., a “Eurodollar Borrowing”) or by Class and Type (e.g., a “Eurodollar Revolving Borrowing”).


 
25 743955026 SECTION 1.03.Terms Generally. The definitions of terms herein shall apply equally to the singular and plural forms of the terms defined. Whenever the context may require, any pronoun shall include the corresponding masculine, feminine and neuter forms. The words “include”, “includes” and “including” shall be deemed to be followed by the phrase “without limitation”. The word “law” shall be construed as referring to all statutes, rules, regulations, codes and other laws (including official rulings and interpretations thereunder having the force of law or with which affected Persons customarily comply) and all judgments, orders and decrees of all Governmental Authorities. The word “will” shall be construed to have the same meaning and effect as the word “shall”. Unless the context requires otherwise (a) any definition of or reference to any agreement, instrument or other document herein shall be construed as referring to such agreement, instrument or other document as from time to time amended, restated, amended and restated, supplemented or otherwise modified (subject to any restrictions on such amendments, restatements, supplements or modifications set forth herein), (b) any definition of or reference to any statute, rule or regulation shall be construed as referring thereto as from time to time amended, supplemented or otherwise modified (including by succession of comparable successor laws), (c) any reference herein to any Person shall be construed to include such Person’s successors and assigns (subject to any restrictions on assignments set forth herein) and, in the case of any Governmental Authority, any other Governmental Authority that shall have succeeded to any or all functions thereof, (d) the words “herein”, “hereof” and “hereunder”, and words of similar import, shall be construed to refer to this Agreement in its entirety and not to any particular provision hereof, (e) all references herein to Articles, Sections, Exhibits and Schedules shall be construed to refer to Articles and Sections of, and Exhibits and Schedules to, this Agreement, (f) any reference in any definition to the phrase “at any time” or “for any period” shall refer to the same time or period for all calculations or determinations within such definition, (g) the words “asset” and “property” shall be construed to have the same meaning and effect and to refer to any and all tangible and intangible assets and properties, including cash, securities, accounts and contract rights, (h) whenever any provision of any Loan Document refers to the knowledge, or analogous phrase, of any Person, such words are intended to signify that such Person has actual knowledge or awareness of a particular fact or circumstance or that such Person, if it had exercised reasonable diligence, would have known or been aware of such fact or circumstance and (i) as used herein, “ordinary course of business” means the ordinary course of business of any Person, as undertaken by such Person in accordance with past practices or reasonable extensions of such past practices, as applicable, or otherwise undertaken by such Person in good faith and not for purposes of evading any covenant or restriction in any Loan Document. SECTION 1.04.Accounting Terms; GAAP. (a) Except as otherwise expressly provided herein, all terms of an accounting or financial nature shall be construed in accordance with GAAP, as in effect from time to time; provided that, if after the date hereof there occurs any change in GAAP or in the application thereof on the operation of any provision hereof and the Borrower Representative notifies the Lender that the Borrowers request an amendment to any provision hereof to eliminate the effect of such change in GAAP or in the application thereof (or if the Lender notifies the Borrower Representative that the Lender requests an amendment to any provision hereof for such purpose), regardless of whether any such notice is given before or after such change in GAAP or in the application thereof, then such provision shall be interpreted on the basis of GAAP as in effect and applied immediately before such change shall have become effective until such notice shall have been withdrawn or such provision amended in accordance herewith. Notwithstanding any other provision contained herein, all terms of an accounting or financial nature used herein shall be construed, and all computations of amounts and ratios referred to herein shall be made (i) without giving effect to any election under Financial Accounting Standards Board Accounting Standards Codification 825-10- 25 (or any other Accounting Standards Codification or Financial Accounting Standard having a similar result or effect) to value any Indebtedness or other liabilities of any Loan Party, the Company or any Subsidiary at “fair value”, as defined therein and (ii) without giving effect to any


 
26 743955026 treatment of Indebtedness under Financial Accounting Standards Board Accounting Standards Codification 470-20 or 2015-03 (or any other Accounting Standards Codification or Financial Accounting Standard having a similar result or effect) to value any such Indebtedness in a reduced or bifurcated manner as described therein, and such Indebtedness shall at all times be valued at the full stated principal amount thereof. (b) Notwithstanding anything to the contrary contained in Section 1.04(a) or in the definition of “Capital Lease Obligations,” any change in accounting for leases pursuant to GAAP resulting from the adoption of Financial Accounting Standards Board Accounting Standards Update No. 2016-02, Leases (Topic 842) (“FAS 842”), to the extent such adoption would require treating any lease (or similar arrangement conveying the right to use) as a capital lease where such lease (or similar arrangement) would not have been required to be so treated under GAAP as in effect on December 31, 2015, such lease shall not be considered a capital lease, and all calculations and deliverables under this Agreement or any other Loan Document shall be made or delivered, as applicable, in accordance therewith. SECTION 1.05.Interest Rates; LIBOR Notification. The interest rate on Eurodollar Loans is determined by reference to the LIBO Rate, which is derived from the London interbank offered rate (“LIBOR”). LIBOR is intended to represent the rate at which contributing banks may obtain short-term borrowings from each other in the London interbank market. LIBOR is currently the subject of regulatory reform and regulators have signaled the need to use alternative benchmark reference rates for LIBOR. On March 5, 2021, the U.K. Financial Conduct Authority (“FCA”) publicly announced that: (a) immediately after December 31, 2021, publication of the 1-week and 2-month U.S. Dollar LIBOR settings will permanently cease; (b) immediately after June 30, 2023, publication of the overnight and 12-month U.S. Dollar LIBOR settings will permanently cease; and (c) immediately after June 30, 2023, the 1-month, 3- month and 6-month U.S. Dollar LIBOR settings will cease to be provided or, subject to the FCA’s consideration of the case, be provided on a synthetic basis and no longer be representative of the underlying market and economic reality they are intended to measure and that representativeness will not be restored. There is no assurance that dates announced by the FCA will not change or that the administrator of LIBOR and/or regulators will not take further action that could impact the availability, composition, or characteristics of LIBOR or the currencies and/or tenors for which LIBOR is published, and each party to this Agreement should consult its own advisors to stay informed of any such developments. , Public and private sector industry initiatives are currently underway to implement new or alternative reference rates to be used in place of LIBOR. In the event LIBOR is no longer available (or in certain other circumstances), Section 2.12(c) of this Agreement provides a mechanism for determining an alternative rate of interest. The Lender will inform the Borrower, pursuant to Section 2.12(c), of any change to the reference rate upon which the interest rate of Eurodollar Loans is based. However, the Lender does not warrant or accept any responsibility for, and shall not have any liability with respect to, the administration, submission, performance, or any other matter related to LIBOR or other rates in the definition of “LIBO Rate” or with respect to any alternative, successor or replacement reference rates including without limitation, whether the composition or characteristics of any such alternative, successor or replacement reference rate will be similar to, or produce the same value or economic equivalence as LIBOR and/or the LIBO Rate or have the same volume or liquidity as did LIBOR prior to its discontinuance or unavailability. SECTION 1.06.Pro Forma Adjustments for Acquisitions and Dispositions. To the extent the Borrowers or any Subsidiary makes any acquisition permitted pursuant to Section 6.04 or Disposition outside the ordinary course of business permitted by Section 6.05 during the period of four fiscal quarters of the Company most recently ended, the Total Leverage Ratio shall be calculated after giving pro forma effect thereto (including pro forma adjustments arising out of events which are directly attributable to the acquisition or the Disposition, are factually supportable and are expected to have a continuing impact, in each case as determined on a basis consistent with Article 11 of Regulation S-X of the Securities Act of


 
27 743955026 1933, as amended, as interpreted by the SEC, and as certified by a Financial Officer), as if such acquisition or such Disposition (and any related incurrence, repayment or assumption of Indebtedness) had occurred in the first day of such four-quarter period which precedes or ends on the date of such transaction and for which financial statements (i) have been delivered or (ii) are required to be delivered pursuant to Section 5.1(a) or (b). SECTION 1.07.Status of Obligations. In the event that any Borrower or any other Loan Party shall at any time issue or have outstanding any Subordinated Indebtedness, such Borrower shall take or cause such other Loan Party to take all such actions as shall be necessary to cause the Secured Obligations to constitute senior indebtedness (however denominated) in respect of such Subordinated Indebtedness and to enable the Lender to have and exercise any payment blockage or other remedies available or potentially available to holders of senior indebtedness under the terms of such Subordinated Indebtedness. Without limiting the foregoing, the Secured Obligations are hereby designated as “senior indebtedness” and as “designated senior indebtedness” and words of similar import under and in respect of any indenture or other agreement or instrument under which such Subordinated Indebtedness is outstanding and are further given all such other designations as shall be required under the terms of any such Subordinated Indebtedness in order that the Lender may have and exercise any payment blockage or other remedies available or potentially available to holders of senior indebtedness under the terms of such Subordinated Indebtedness. SECTION 1.08.Letters of Credit. Unless otherwise specified herein, the amount of a Letter of Credit at any time shall be deemed to be the amount of such Letter of Credit available to be drawn at such time; provided that with respect to any Letter of Credit that, by its terms or the terms of any Letter of Credit Agreement related thereto, provides for one or more automatic increases in the available amount thereof, the amount of such Letter of Credit shall be deemed to be the maximum amount of such Letter of Credit after giving effect to all such increases, whether or not such maximum amount is available to be drawn at such time. For all purposes of this Agreement, if on any date of determination a Letter of Credit has expired by its terms but any amount may still be drawn thereunder by reason of the operation of Article 29(a) of the Uniform Customs and Practice for Documentary Credits, International Chamber of Commerce Publication No. 600 (or such later version thereof as may be in effect at the applicable time) or Rule 3.13 or Rule 3.14 of the International Standby Practices, International Chamber of Commerce Publication No. 590 (or such later version thereof as may be in effect at the applicable time) or similar terms of the Letter of Credit itself, or if compliant documents have been presented but not yet honored, such Letter of Credit shall be deemed to be “outstanding” and “undrawn” in the amount so remaining available to be paid, and the obligations of the Borrowers shall remain in full force and effect until the Lender shall have no further obligations to make any payments or disbursements under any circumstances with respect to any Letter of Credit. SECTION 1.09.Divisions. For all purposes under the Loan Documents, in connection with any Division or plan of division under Delaware law (or any comparable event under a different jurisdiction’s laws): (a) if any asset, right, obligation or liability of any Person becomes the asset, right, obligation or liability of a different Person, then it shall be deemed to have been transferred from the original Person to the subsequent Person, and (b) if any new Person comes into existence, such new Person shall be deemed to have been organized and acquired on the first date of its existence by the holders of its Equity Interests at such time. ARTICLE II The Credits SECTION 2.01.Commitments. Subject to the terms and conditions set forth herein, the Lender agrees to make Revolving Loans in dollars to the Borrowers from time to time during the Availability Period in an aggregate principal amount that will not result in the Revolving Exposure exceeding the


 
28 743955026 Revolving Commitment. Within the foregoing limits and subject to the terms and conditions set forth herein, the Borrowers may borrow, prepay and reborrow Revolving Loans. SECTION 2.02.Loans and Borrowings. (a) Each Loan shall be made as part of a Borrowing consisting of Loans of the same Class and Type. (b) Subject to Section 2.12, each Revolving Borrowing shall be comprised entirely of CBFR Loans or Eurodollar Loans as the Borrower Representative may request in accordance herewith; provided that all Revolving Borrowings made on the Effective Date must be made as CBFR Borrowings but may be converted into Eurodollar Borrowings in accordance with Section 2.06. The Lender at its option may make any Eurodollar Loan by causing any domestic or foreign branch or Affiliate of the Lender to make such Loan (and in the case of an Affiliate, the provisions of Sections 2.12, 2.13, 2.14 and 2.15 shall apply to such Affiliate to the same extent as to the Lender); provided that any exercise of such option shall not affect the obligation of the Borrowers to repay such Loan in accordance with the terms of this Agreement. (c) At the commencement of each Interest Period for any Eurodollar Borrowing, such Borrowing shall be in an aggregate amount that is an integral multiple of $100,000 and not less than $500,000. CBFR Revolving Borrowings may be in any amount. Borrowings of more than one Type and Class may be outstanding at the same time; provided that there shall not at any time be more than a total of 6 Eurodollar Borrowings outstanding. (d) Notwithstanding any other provision of this Agreement, the Borrowers shall not be entitled to request, or to elect to convert or continue, any Borrowing if the Interest Period requested with respect thereto would end after the Revolving Credit Maturity Date. SECTION 2.03.Requests for Borrowings. To request a Borrowing, the Borrower Representative shall notify the Lender of such request either in writing (delivered by hand or fax) by delivering a Borrowing Request signed by a Responsible Officer of the Borrower Representative or through Electronic System, if arrangements for doing so have been approved by the Lender, (a) in the case of a Eurodollar Borrowing, not later than noon, New York time, three (3) Business Days before the date of the proposed Borrowing or (b) in the case of a CBFR Borrowing, not later than noon, New York time, on the date of the proposed Borrowing; provided that any such notice of a CBFR Revolving Borrowing to finance the reimbursement of an LC Disbursement as contemplated by Section 2.04(d) may be given not later than 9:00 a.m., New York time, on the date of the proposed Borrowing. Each such Borrowing Request shall be irrevocable. Each such Borrowing Request shall specify the following information in compliance with Section 2.02: (a) (i) the Class of Borrowing, the aggregate amount of the requested Borrowing, and a breakdown of the separate wires comprising such Borrowing and (ii) the name of the applicable Borrower(s); (b) the date of such Borrowing, which shall be a Business Day; (c) whether such Borrowing is to be a CBFR Borrowing or a Eurodollar Borrowing; and (d) in the case of a Eurodollar Borrowing, the initial Interest Period to be applicable thereto, which shall be a period contemplated by the definition of the term “Interest Period.”


 
29 743955026 If no election as to the Type of Revolving Borrowing is specified, then the requested Revolving Borrowing shall be a CBFR Borrowing. If no Interest Period is specified with respect to any requested Eurodollar Revolving Borrowing, then the applicable Borrower(s) shall be deemed to have selected an Interest Period of one month’s duration. SECTION 2.04.Letters of Credit. (a) General. Subject to the terms and conditions set forth herein, the Borrower Representative, on behalf of a Borrower, may request the issuance of Letters of Credit denominated in dollars as the applicant thereof for the support of the obligations of any Borrower or any Subsidiary thereof, in a form reasonably acceptable to the Lender, at any time and from time to time during the Availability Period. The Lender may, in its discretion, arrange for one or more Letters of Credit to be issued by Affiliates of the Lender, in which case the term “Lender” as used in relation to Letters of Credit shall include such Affiliate with respect to the Letters of Credit issued by such Affiliate. (b) Notice of Issuance, Amendment, Extension; Certain Conditions. To request the issuance of a Letter of Credit (or the amendment or extension of an outstanding Letter of Credit), the Borrower Representative shall hand deliver or fax (or transmit through Electronic System, if arrangements for doing so have been approved by the Lender) to the Lender (reasonably in advance of the requested date of issuance, amendment or extension, but in any event no less than three (3) Business Days) a notice requesting the issuance of a Letter of Credit, or identifying the Letter of Credit to be amended, renewed or extended, and specifying the date of issuance, amendment or extension (which shall be a Business Day), the date on which such Letter of Credit is to expire (which shall comply with paragraph (c) of this Section), the amount of such Letter of Credit, the name and address of the beneficiary thereof, and such other information as shall be necessary to prepare, amend, renew or extend such Letter of Credit. In addition, as a condition to any such Letter of Credit issuance, the applicable Borrower shall have entered into a continuing agreement (or other letter of credit agreement) for the issuance of letters of credit and/or shall submit a letter of credit application, in each case, as reasonably required by the Lender and using Lender’s standard form (each, a “Letter of Credit Agreement”). In the event of any inconsistency between the terms and conditions of this Agreement and the terms and conditions of any Letter of Credit Agreement, the terms and conditions of this Agreement shall control. A Letter of Credit shall be issued, amended, renewed or extended only if (and upon issuance, amendment or extension of each Letter of Credit the Borrowers shall be deemed to represent and warrant that), after giving effect to such issuance, amendment or extension (i) the LC Exposure shall not exceed $25,000,000 and (ii) the Revolving Exposure shall not exceed the Revolving Commitment. The Lender shall not be under any obligation to issue any Letter of Credit if: any order, judgment or decree of any Governmental Authority or arbitrator shall by its terms purport to enjoin or restrain the Lender from issuing such Letter of Credit, or any Requirement of Law relating to the Lender or any request or directive (whether or not having the force of law) from any Governmental Authority with jurisdiction over the Lender shall prohibit, or request that the Lender refrain from, the issuance of letters of credit generally or such Letter of Credit in particular or shall impose upon the Lender with respect to such Letter of Credit any restriction, reserve or capital requirement (for which the Lender is not otherwise compensated hereunder) not in effect on the Effective Date, or shall impose upon the Lender any unreimbursed loss, cost or expense which was not applicable on the Effective Date and which the Lender in good faith deems material to it, or (ii) the issuance of such Letter of Credit would violate one or more policies of the Lender applicable to letters of credit generally.


 
30 743955026 (c) Expiration Date. Each Letter of Credit shall expire (or be subject to termination or non-extension by notice from the Lender to the beneficiary thereof) at or prior to the close of business on the earlier of (i) the date one year after the date of the issuance of such Letter of Credit (or, in the case of any extension of the expiration date thereof, including, without limitation, any automatic extension provision, one year after such extension) and (ii) the date that is five Business Days prior to the Revolving Credit Maturity Date. (d) Reimbursement. If the Lender shall make any LC Disbursement in respect of a Letter of Credit, the Borrowers shall reimburse such LC Disbursement by paying to the Lender an amount equal to such LC Disbursement not later than 11:00 a.m., New York time, on (i) the Business Day that the Borrower Representative receives notice of such LC Disbursement, if such notice is received prior to 9:00 a.m., New York time, on the day of receipt, or (ii) the Business Day immediately following the day that the Borrower Representative receives such notice, if such notice is received after 9:00 a.m., New York time on the day of receipt; provided that the Borrowers may, subject to the conditions to borrowing set forth herein, request in accordance with Section 2.03 or 2.05 that such payment be financed with a CBFR Revolving Borrowing in an equivalent amount and, to the extent so financed, the Borrowers’ obligation to make such payment shall be discharged and replaced by the resulting CBFR Revolving Borrowing. (e) Obligations Absolute. The Borrowers’ joint and several obligation to reimburse LC Disbursements as provided in paragraph (d) of this Section shall be absolute, unconditional and irrevocable, and shall be performed strictly in accordance with the terms of this Agreement under any and all circumstances whatsoever and irrespective of any (i) lack of validity or enforceability of any Letter of Credit, any Letter of Credit Agreement or this Agreement, or any term or provision therein or herein, (ii) draft or other document presented under a Letter of Credit proving to be forged, fraudulent or invalid in any respect or any statement therein being untrue or inaccurate in any respect, (iii) payment by the Lender under a Letter of Credit against presentation of a draft or other document that does not comply with the terms of such Letter of Credit, or (iv) other event or circumstance whatsoever, whether or not similar to any of the foregoing, that might, but for the provisions of this Section, constitute a legal or equitable discharge of, or provide a right of setoff against, the Borrowers’ obligations hereunder. Neither the Lender nor any of its Related Parties, shall have any liability or responsibility by reason of or in connection with the issuance or transfer of any Letter of Credit, any payment or failure to make any payment thereunder (irrespective of any of the circumstances referred to in the preceding sentence), or any error, omission, interruption, loss or delay in transmission or delivery of any draft, notice or other communication under or relating to any Letter of Credit (including any document required to make a drawing thereunder), any error in interpretation of technical terms, any error in translation or any consequence arising from causes beyond the control of the Lender; provided that the foregoing shall not be construed to excuse the Lender from liability to the Borrowers to the extent of any direct damages (as opposed to special, indirect, consequential or punitive damages, claims in respect of which are hereby waived by the Borrowers to the extent permitted by applicable law) suffered by any Borrower that are caused by the Lender’s failure to exercise care when determining whether drafts and other documents presented under a Letter of Credit comply with the terms thereof. The parties hereto expressly agree that, in the absence of gross negligence or willful misconduct on the part of the Lender (as finally determined by a court of competent jurisdiction), the Lender shall be deemed to have exercised care in each such determination. In furtherance of the foregoing and without limiting the generality thereof, the parties agree that, with respect to documents presented which appear on their face to be in substantial compliance with the terms of a Letter of Credit, the Lender may, in its sole discretion, either accept and make payment upon such documents without


 
31 743955026 responsibility for further investigation, regardless of any notice or information to the contrary, or refuse to accept and make payment upon such documents if such documents are not in strict compliance with the terms of such Letter of Credit. (f) Disbursement Procedures. The Lender shall, within the time allowed by applicable law or the specific terms of the Letter of Credit following its receipt thereof, examine all documents purporting to represent a demand for payment under such Letter of Credit. The Lender shall promptly after such examination notify the Borrower Representative by telephone (confirmed by fax or through Electronic Systems) of such demand for payment and if the Lender has made or will make an LC Disbursement thereunder; provided that any failure to give or delay in giving such notice shall not relieve the Borrowers of their obligation to reimburse the Lender with respect to any such LC Disbursement. (g) Interim Interest. If the Lender shall make any LC Disbursement, then, unless the Borrowers shall reimburse such LC Disbursement in full on the date such LC Disbursement is made, the unpaid amount thereof shall bear interest, for each day from and including the date such LC Disbursement is made to but excluding the date that the Borrowers reimburse such LC Disbursement, at the rate per annum then applicable to CBFR Revolving Loans and such interest shall be due and payable on the date when such reimbursement is due; provided that, if the Borrowers fail to reimburse such LC Disbursement when due pursuant to paragraph (d) of this Section, then Section 2.11(c) shall apply. Interest accrued pursuant to this paragraph shall be for the account of the Lender. (h) Cash Collateralization. If any Default shall occur and be continuing, on the Business Day that the Borrower Representative receives written notice from the Lender demanding the deposit of cash collateral pursuant to this paragraph, the Borrowers shall deposit in an account with the Lender, in the name and for the benefit of the Lender (the “LC Collateral Account”), an amount in cash equal to 103% of the amount of the LC Exposure as of such date plus accrued and unpaid interest thereon; provided that the obligation to deposit such cash collateral shall become effective immediately, and such deposit shall become immediately due and payable, without demand or other notice of any kind, upon the occurrence of any Event of Default with respect to any Borrower described in clause (h) or (i) of Section 7.01. The Borrowers also shall deposit cash collateral in accordance with this paragraph as and to the extent required by Section 2.09(b). Each such deposit shall be held by the Lender as collateral for the payment and performance of the Secured Obligations. In addition, and without limiting the foregoing or paragraph (c) of this Section, if any LC Exposure remains outstanding after the expiration date specified in said paragraph (c), the Borrowers shall immediately deposit in the LC Collateral Account an amount in cash equal to 103% of such LC Exposure as of such date plus any accrued and unpaid interest thereon. The Lender shall have exclusive dominion and control, including the exclusive right of withdrawal, over the LC Collateral Account and the Borrowers hereby grant the Lender a security interest in the LC Collateral Account and all moneys or other assets on deposit therein or credited thereto. Other than any interest earned on the investment of such deposits, which investments shall be made at the option and sole discretion of the Lender and at the Borrowers’ risk and expense, such deposits shall not bear interest. Interest or profits, if any, on such investments shall accumulate in such account. Moneys in such account shall be applied by the Lender for LC Disbursements for which it has not been reimbursed, together with related fees, costs, and customary processing charges, and, to the extent not so applied, shall be held for the satisfaction of the reimbursement obligations of the Borrowers for the LC Exposure at such time or, if the maturity of the Loans has been accelerated, be applied to satisfy other Secured Obligations. If the Borrowers are required to provide an amount of cash collateral hereunder as a result of the occurrence of a Default, such amount (to the extent not applied as aforesaid) shall be returned to the Borrowers within three (3)


 
32 743955026 Business Days after all such Defaults have been cured or waived as confirmed in writing by the Lender. (i) Letters of Credit Issued for Account of Subsidiaries. Notwithstanding that a Letter of Credit issued or outstanding hereunder supports any obligations of, or is for the account of, a Subsidiary, or states that a Subsidiary is the “account party,” “applicant,” “customer,” “instructing party,” or the like of or for such Letter of Credit, and without derogating from any rights of the Lender (whether arising by contract, at law, in equity or otherwise) against such Subsidiary in respect of such Letter of Credit, the Borrowers (i) shall reimburse, indemnify and compensate the Lender hereunder for such Letter of Credit (including to reimburse any and all drawings thereunder) as if such Letter of Credit had been issued solely for the account of such Borrower and (ii) irrevocably waives any and all defenses that might otherwise be available to it as a guarantor or surety of any or all of the obligations of such Subsidiary in respect of such Letter of Credit. Each Borrower hereby acknowledges that the issuance of such Letters of Credit for its Subsidiaries inures to the benefit of such Borrower, and that such Borrower’s business derives substantial benefits from the businesses of such Subsidiaries. SECTION 2.05.Funding of Borrowings. (a) The Lender shall make each Loan to be made by it hereunder on the proposed date thereof available to the Borrowers by promptly crediting the amounts in immediately available funds, to the Funding Account(s); provided that CBFR Revolving Loans made to finance the reimbursement of an LC Disbursement as provided in Section 2.04(d) shall be remitted to the Lender. SECTION 2.06.Interest Elections. (a) Each Borrowing initially shall be of the Type specified in the applicable Borrowing Request and, in the case of a Eurodollar Borrowing, shall have an initial Interest Period as specified in such Borrowing Request. Thereafter, the Borrower Representative may elect to convert such Borrowing to a different Type or to continue such Borrowing and, in the case of a Eurodollar Borrowing, may elect Interest Periods therefor, all as provided in this Section. The Borrower Representative may elect different options with respect to different portions of the affected Borrowing, and the Loans comprising each such portion shall be considered a separate Borrowing. (b) To make an election pursuant to this Section, the Borrower Representative shall notify the Lender of such election either in writing (delivered by hand or fax) by delivering an Interest Election Request signed by a Responsible Officer of the Borrower Representative or through Electronic System, if arrangements for doing so have been approved by the Lender, by the time that a Borrowing Request would be required under Section 2.03 if the Borrowers were requesting a Borrowing of the Type resulting from such election to be made on the effective date of such election. Each such Interest Election Request shall be irrevocable. (c) Each telephonic and written Interest Election Request (including requests submitted through Electronic System) shall specify the following information in compliance with Section 2.02: (i) the name of the applicable Borrower and the Borrowing to which such Interest Election Request applies and, if different options are being elected with respect to different portions thereof, the portions thereof to be allocated to each resulting Borrowing


 
33 743955026 (in which case the information to be specified pursuant to clauses (iii) and (iv) below shall be specified for each resulting Borrowing); (ii) the effective date of the election made pursuant to such Interest Election Request, which shall be a Business Day; (iii) whether the resulting Borrowing is to be a CBFR Borrowing or a Eurodollar Borrowing; and (iv) if the resulting Borrowing is a Eurodollar Borrowing, the Interest Period to be applicable thereto after giving effect to such election, which shall be a period contemplated by the definition of the term “Interest Period”. If any such Interest Election Request requests a Eurodollar Borrowing but does not specify an Interest Period, then the Borrowers shall be deemed to have selected an Interest Period of one month’s duration. (d) If the Borrower Representative fails to deliver a timely Interest Election Request with respect to a Eurodollar Borrowing prior to the end of the Interest Period applicable thereto, then, unless such Borrowing is repaid as provided herein, at the end of such Interest Period such Borrowing shall be converted to a CBFR Borrowing. Notwithstanding any contrary provision hereof, if a Default has occurred and is continuing and the Lender so notifies the Borrower Representative, then, so long as a Default is continuing (i) no outstanding Borrowing may be converted to or continued as a Eurodollar Borrowing and (ii) unless repaid, each Eurodollar Borrowing shall be converted to a CBFR Borrowing at the end of the Interest Period applicable thereto. SECTION 2.07.Termination and Reduction of Commitments. (a) Unless previously terminated, the Revolving Commitment shall terminate on the Revolving Credit Maturity Date. (b) The Borrowers may at any time terminate the Revolving Commitment upon the Payment in Full of the Secured Obligations. (c) The Borrowers may from time to time reduce the Revolving Commitment; provided that (i) each reduction of the Revolving Commitment shall be in an amount that is an integral multiple of $100,000 and not less than $500,000 and (ii) the Borrowers shall not terminate or reduce the Revolving Commitment if, after giving effect to any concurrent prepayment of the Revolving Loans in accordance with Section 2.09, the Revolving Exposure would exceed the Revolving Commitment. (d) The Borrower Representative shall notify the Lender of any election to terminate or reduce the Revolving Commitment under paragraph (b) or (c) of this Section at least three (3) Business Days prior to the effective date of such termination or reduction, specifying such election and the effective date thereof. Each notice delivered by the Borrower Representative pursuant to this Section shall be irrevocable; provided that a notice of termination of the Revolving Commitment delivered by the Borrower Representative may state that such notice is conditioned upon the effectiveness of other credit facilities, in which case such notice may be revoked by the Borrower (by notice to the Lender on or prior to the specified effective date) if such condition is not satisfied. Any termination or reduction of the Revolving Commitment shall be permanent.


 
34 743955026 SECTION 2.08.Repayment and Amortization of Loans; Evidence of Debt. (a) The Borrowers hereby unconditionally promise to pay the Lender the then unpaid principal amount of each Revolving Loan on the Revolving Credit Maturity Date. (b) The Lender shall maintain in accordance with its usual practice an account or accounts evidencing the Indebtedness of the Borrowers to the Lender resulting from each Loan made by the Lender, including the amounts of principal and interest payable and paid to the Lender from time to time hereunder. (c) The Lender shall maintain accounts in which it shall record (i) the amount of each Loan made hereunder, the Class and Type thereof and the Interest Period applicable thereto, if any, (ii) the amount of any principal or interest due and payable or to become due and payable from the Borrowers to the Lender hereunder and (iii) the amount of any sum received by the Lender hereunder. (d) The entries made in the accounts maintained pursuant to paragraph (b) or (c) of this Section shall be prima facie evidence of the existence and amounts of the obligations recorded therein; provided that the failure of the Lender to maintain such accounts or any error therein shall not in any manner affect the obligation of the Borrowers to repay the Loans in accordance with the terms of this Agreement. (e) The Lender may request that Loans made by it be evidenced by a promissory note. In such event, the Borrowers shall prepare, execute and deliver to the Lender a promissory note payable to the Lender (or, if requested by the Lender, to the Lender and its registered assigns) and in a form approved by the Lender. Thereafter, the Loans evidenced by such promissory note and interest thereon shall at all times (including after assignment pursuant to Section 8.04) be represented by one or more promissory notes in such form. SECTION 2.09.Prepayment of Loans. (a) The Borrowers shall have the right at any time and from time to time to prepay any Borrowing in whole or in part, subject to prior notice in accordance with paragraph (c) of this Section and, if applicable, payment of any break funding expenses under Section 2.14, if applicable. (b) In the event and on such occasion that the Revolving Exposure exceeds the Revolving Commitment, the Borrowers shall prepay the Revolving Loans and/or LC Exposure (or, if no such Borrowings are outstanding, deposit cash collateral in the LC Collateral Account in an aggregate amount equal to such excess, in accordance with Section 2.04(h)). (c) The Borrower Representative shall notify the Lender by telephone (confirmed by fax) or through Electronic System, if arrangements for doing so have been approved by the Lender, of any prepayment under this Section: (i) in the case of prepayment of a Eurodollar Borrowing, not later than 10:00 a.m., New York time, three (3) Business Days before the date of prepayment or (ii) in the case of prepayment of a CBFR Borrowing, not later than 10:00 a.m., New York time, on the date of prepayment. Each such notice shall be irrevocable and shall specify the prepayment date and the principal amount of each Borrowing or portion thereof to be prepaid; provided that if a notice of prepayment is given in connection with a conditional notice of termination of the Revolving Commitment as contemplated by Section 2.07, then such notice of prepayment may be revoked if such notice of termination is revoked in accordance with Section 2.07. Each partial prepayment of any Revolving Borrowing shall be in an amount that would be permitted in the case


 
35 743955026 of an advance of a Borrowing of the same Type as provided in Section 2.02, except as necessary to apply fully the required amount of a mandatory prepayment. Each prepayment of a Borrowing shall be applied ratably to the Loans included in the prepaid Borrowing. Prepayments shall be accompanied by (i) accrued interest to the extent required by Section 2.11 and (ii) break funding payments pursuant to Section 2.14, if applicable. SECTION 2.10.Fees. (a) The Borrowers agree to pay to the Lender a commitment fee, which shall accrue at the Applicable Rate on the daily amount of the undrawn portion of the Revolving Commitment of the Lender during the period from and including the Effective Date to but excluding the date on which the Lender’s Revolving Commitment terminates; it being understood that the LC Exposure shall be included in the drawn portion of the Revolving Commitment for purposes of calculating the commitment fee. Accrued commitment fees shall be payable in arrears on the last day of March, June, September and December of each year and on the date on which the Revolving Commitment terminates, commencing on the first such date to occur after the date hereof. All commitment fees shall be computed on the basis of a year of 360 days and shall be payable for the actual number of days elapsed (including the first day but excluding the last day). (b) The Borrowers agree to pay (i) to the Lender a letter of credit fee with respect to each outstanding Letter of Credit, which shall accrue on the daily maximum amount then available to be drawn under such Letter of Credit at the same Applicable Rate used to determine the interest rate applicable to Eurodollar Revolving Loans, during the period from and including the Effective Date to but excluding the later of the date on which the Lender’s Revolving Commitment terminates and the date on which the Lender ceases to have any LC Exposure, and (ii) the Lender’s standard fees and commissions with respect to the issuance, amendment, or extension of any Letter of Credit and other processing fees, and other standard costs and charges, of the Lender relating to Letters of Credit as from time to time in effect. Letter of credit fees accrued through and including the last day of March, June, September and December of each year shall be payable on the third Business Day following such last day, commencing on the first such date to occur after the Effective Date; provided that all such fees shall be payable on the date on which the Revolving Commitment terminates and any such fees accruing after the date on which the Revolving Commitment terminates shall be payable on demand. Any other fees payable to the Lender pursuant to this paragraph shall be payable within ten (10) days after demand. All letter of credit fees shall be computed on the basis of a year of 360 days and shall be payable for the actual number of days elapsed (including the first day but excluding the last day). (c) All fees payable hereunder shall be paid on the dates due, in immediately available funds, to the Lender. Fees paid shall not be refundable under any circumstances. SECTION 2.11.Interest. (a) The Loans comprising each CBFR Borrowing shall bear interest at the CB Floating Rate plus the Applicable Rate. (b) The Loans comprising each Eurodollar Borrowing shall bear interest at the Adjusted LIBO Rate for the Interest Period in effect for such Borrowing plus the Applicable Rate. (c) Notwithstanding the foregoing, during the occurrence and continuance of an Event of Default, the Lender may, at its option, by written notice to the Borrower Representative, declare that (i) all Loans shall bear interest at 2% plus the rate otherwise applicable to such Loans as


 
36 743955026 provided in the preceding paragraphs of this Section or (ii) in the case of any other amount outstanding hereunder, such amount shall accrue at 2% plus the rate applicable to such fee or other obligation as provided hereunder. (d) Accrued interest on each Loan (for CBFR Loans, accrued through the last day of the prior calendar month) shall be payable in arrears on each Interest Payment Date for such Loan and, in the case of Revolving Loans, upon termination of the Revolving Commitment; provided that (i) interest accrued pursuant to paragraph (c) of this Section shall be payable on demand, (ii) in the event of any repayment or prepayment of any Loan (other than a prepayment of a CBFR Revolving Loan prior to the end of the Availability Period), accrued interest on the principal amount repaid or prepaid shall be payable on the date of such repayment or prepayment and (iii) in the event of any conversion of any Eurodollar Loan prior to the end of the current Interest Period therefor, accrued interest on such Loan shall be payable on the effective date of such conversion. (e) All interest hereunder shall be computed on the basis of a year of 360 days, except that interest computed by reference to the CB Floating Rate shall be computed on the basis of a year of 365 days (or 366 days in a leap year), and, in each case, shall be payable for the actual number of days elapsed (including the first day but excluding the last day). The applicable CB Floating Rate, Adjusted LIBO Rate or LIBO Rate shall be determined by the Lender, and such determination shall be conclusive absent manifest error. SECTION 2.12.Alternate Rate of Interest; Illegality. (a) Subject to clause (c) of this Section 2.12, if prior to the commencement of any Interest Period for a Eurodollar Borrowing: (i) (i) the Lender determines (which determination shall be conclusive and binding absent manifest error) that adequate and reasonable means do not exist for ascertaining the Adjusted LIBO Rate or the LIBO Rate, as applicable (including, without limitation, by means of an Interpolated Rate or because the LIBO Screen Rate is not available or published on a current basis) for such Interest Period; or (ii) the Lender determines the Adjusted LIBO Rate or the LIBO Rate, as applicable, for such Interest Period will not adequately and fairly reflect the cost to the Lender of making or maintaining its Loans (or Loan) included in such Borrowing for such Interest Period; then the Lender shall give notice thereof to the Borrower by telephone, fax or through an Electronic System as provided in Section 8.01 as promptly as practicable thereafter and, until the Lender notifies the Borrower that the circumstances giving rise to such notice no longer exist, (A) any Interest Election Request that requests the conversion of any Borrowing to, or continuation of any Borrowing as, a Eurodollar Borrowing shall be ineffective and any such Eurodollar Borrowing shall be repaid or converted into a CBFR Borrowing on the last day of the then current Interest Period applicable thereto, and (B) if any Borrowing Request requests a Eurodollar Borrowing, such Borrowing shall be made as a CBFR Borrowing. (b) If the Lender determines that any Requirement of Law has made it unlawful, or if any Governmental Authority has asserted that it is unlawful, for the Lender or its applicable lending office to make, maintain, fund or continue any Eurodollar Borrowing, or any Governmental Authority has imposed material restrictions on the authority of the Lender to purchase or sell, or to take deposits of, dollars in the London interbank market, then, on notice thereof by the Lender to the Borrower Representative, any obligations of the Lender to make, maintain, fund or continue


 
37 743955026 Eurodollar Loans or to convert CBFR Borrowings to Eurodollar Borrowings will be suspended until the Lender notifies the Borrower Representative that the circumstances giving rise to such determination no longer exist. Upon receipt of such notice, the Borrower Representative will upon demand from the Lender, either prepay or convert all Eurodollar Borrowings of the Lender to CBFR Borrowings, either on the last day of the Interest Period therefor, if the Lender may lawfully continue to maintain such Eurodollar Borrowings to such day, or immediately, if the Lender may not lawfully continue to maintain such Loans. Upon any such prepayment or conversion, the Borrower Representative will also pay accrued interest on the amount so prepaid or converted. (c) Notwithstanding anything to the contrary herein or in any other Loan Document, if a LIBOR Cessation Event has occurred, then upon written notice by Lender to Borrower at such time selected by Lender, but not later than the actual date of permanent cessation of the LIBO Rate, the LIBO Rate shall be replaced, for all purposes hereunder and under any other Loan Document, without any amendment to, or further action or consent of, any other party to this Agreement or any other Loan Document, by (i) the sum of Term SOFR and the related Benchmark Replacement Adjustment (such sum, the “Adjusted Term SOFR”) if the Term SOFR Transition Conditions are satisfied at such time, or (ii) the sum of Daily Simple SOFR and the related Benchmark Replacement Adjustment (such sum, the “Adjusted Daily Simple SOFR”) if the Term SOFR Transition Conditions are not satisfied at such time; provided that if the Term SOFR Transition Conditions are satisfied after the LIBO Rate is replaced by the Adjusted Daily Simple SOFR, Lender may by at least ten (10) Business Days’ prior written notice to Borrower Representative, replace such rate with the Adjusted Term SOFR. In the event that either the Adjusted Term SOFR or the Adjusted Daily Simple SOFR shall be less than zero, such rate will be deemed to be zero for the purposes of this Agreement. If a LIBOR Cessation Event shall have occurred and neither Term SOFR nor Daily Simple SOFR is available, then upon written notice by Lender to Borrower Representative until such rates are available, (x) the then outstanding Eurodollar Borrowings shall accrue interest at the Interim Rate, unless Lender and Borrower Representative agree on a different rate and (y) if any request for a Loan under Section 2.03 requests a Eurodollar Loan, such Loan shall be made, instead, as an Interim Rate Loan or a rate offered by Lender in its sole discretion and accepted by Borrower Representative. For avoidance of doubt, if some interest periods for the LIBO Rate become unavailable prior to a LIBOR Cessation Event, those interest periods will no longer be available for selection by Borrowers. (d) In connection with the implementation of a rate replacement described in clause (c) above, Lender may from time to time, upon written notice to Borrower Representative, make any technical, administrative or operational changes to this Agreement or any other Loan Documents (including changes to the definition of “CB Floating Rate,” the definition of “Business Day”, the timing and frequency of determining rates and making payments of interest, the timing of prepayment or conversion notices, the length of lookback periods, the applicability of breakage provisions and other technical, administrative or operational matters) that Lender decides in its reasonable discretion may be appropriate to reflect the adoption and implementation of such rate replacement and to permit the administration thereof by Lender. SECTION 2.13.Increased Costs. (a) If any Change in Law shall: (i) impose, modify or deem applicable any reserve, special deposit, liquidity or similar requirement (including any compulsory loan requirement, insurance charge or other assessment) against assets of, deposits with or for the account of, or credit extended by, the Lender (except any such reserve requirement reflected in the Adjusted LIBO Rate); or


 
38 743955026 (ii) impose on the Lender or the London interbank market any other condition, cost or expense (other than Taxes) affecting this Agreement or Loans made by the Lender or any Letter of Credit; or (iii) subject the Lender to any Taxes (other than (A) Indemnified Taxes, (B) Taxes described in clauses (b) through (d) of the definition of Excluded Taxes and (C) Connection Income Taxes) on its loans, loan principal, letters of credit, commitments, or other obligations, or its deposits, reserves, other liabilities or capital attributable thereto; and the result of any of the foregoing shall be to increase the cost to the Lender of making, continuing, converting into or maintaining any Loan (or of maintaining its obligation to make any such Loan) or to increase the cost to the Lender of issuing or maintaining any Letter of Credit or to reduce the amount of any sum received or receivable by the Lender, hereunder (whether of principal, interest or otherwise), then the Borrowers will pay to the Lender such additional amount or amounts as will compensate the Lender for such additional costs incurred or reduction suffered. (b) If the Lender determines (which determination shall be made in good faith (and not on an arbitrary or capricious basis) that any Change in Law regarding capital or liquidity requirements has or would have the effect of reducing the rate of return on the Lender’s capital or on the capital of the Lender’s holding company as a consequence of this Agreement, the Commitment of or the Loans made by Letters of Credit issued by the Lender, to a level below that which the Lender or the Lender’s holding company could have achieved but for such Change in Law (taking into consideration the Lender’s policies and the policies of the Lender’s holding company with respect to capital adequacy and liquidity), then upon written request of the Lender, from time to time the Borrowers will pay to the Lender such additional amount or amounts as will compensate the Lender or the Lender’s holding company for any such reduction suffered. (c) A certificate of the Lender setting forth the amount or amounts necessary to compensate the Lender or its holding company, as the case may be, as specified in paragraph (a) or (b) of this Section shall be delivered to the Borrower Representative and shall be conclusive absent manifest error. The Borrowers shall pay the Lender the amount shown as due on any such certificate within ten (10) days after receipt thereof. (d) Failure or delay on the part of the Lender to demand compensation pursuant to this Section shall not constitute a waiver of the Lender’s right to demand such compensation; provided that the Borrowers shall not be required to compensate the Lender pursuant to this Section for any increased costs or reductions incurred more than 270 days prior to the date that the Lender notifies the Borrower Representative of the Change in Law giving rise to such increased costs or reductions and of the Lender’s intention to claim compensation therefor; provided further that, if the Change in Law giving rise to such increased costs or reductions is retroactive, then the 270-day period referred to above shall be extended to include the period of retroactive effect thereof. SECTION 2.14.Break Funding Payments. In the event of (a) the payment of any principal of any Eurodollar Loan other than on the last day of an Interest Period applicable thereto (including as a result of an Event of Default or as a result of any prepayment pursuant to Section 2.09), (b) the conversion of any Eurodollar Loan other than on the last day of the Interest Period applicable thereto, or (c) the failure to borrow, convert, continue or prepay any Eurodollar Loan on the date specified in any notice delivered pursuant hereto (regardless of whether such notice may be revoked under Section 2.07(d) and is revoked in accordance therewith), then, in any such event, the Borrowers shall compensate the Lender for the loss, cost and expense attributable to such event. In the case of a Eurodollar Loan, such loss, cost or expense to the Lender shall be deemed to include an amount determined by the Lender to be the excess, if any, of (i)


 
39 743955026 the amount of interest which would have accrued on the principal amount of such Eurodollar Loan had such event not occurred, at the Adjusted LIBO Rate that would have been applicable to such Eurodollar Loan, for the period from the date of such event to the last day of the then current Interest Period therefor (or, in the case of a failure to borrow, convert or continue, for the period that would have been the Interest Period for such Eurodollar Loan), over (ii) the amount of interest which would accrue on such principal amount for such period at the interest rate which the Lender would bid were it to bid, at the commencement of such period, for dollar deposits of a comparable amount and period from other banks in the eurodollar market. A certificate of the Lender setting forth any amount or amounts that the Lender is entitled to receive pursuant to this Section shall be delivered to the Borrower Representative and shall be conclusive absent manifest error. The Borrowers shall pay the Lender the amount shown as due on any such certificate within ten (10) days after receipt thereof. SECTION 2.15.Withholding of Taxes; Gross-Up. (a) Payments Free of Taxes. Any and all payments by or on account of any obligation of any Loan Party under any Loan Document shall be made without deduction or withholding for any Taxes, except as required by applicable law. If any applicable law (as determined in the good faith discretion of an applicable withholding agent) requires the deduction or withholding of any Tax from any such payment by a withholding agent, then the applicable withholding agent shall be entitled to make such deduction or withholding and shall timely pay the full amount deducted or withheld to the relevant Governmental Authority in accordance with applicable law and, if such Tax is an Indemnified Tax, then the sum payable by the applicable Loan Party shall be increased as necessary so that after such deduction or withholding has been made (including such deductions and withholdings applicable to additional sums payable under this Section 2.15), the Lender receives an amount equal to the sum it would have received had no such deduction or withholding been made. (b) Payment of Other Taxes by Loan Parties. The Loan Parties shall timely pay to the relevant Governmental Authority in accordance with applicable law, or at the option of the Lender timely reimburse it for, Other Taxes. (c) Evidence of Payment. As soon as practicable after any payment of Taxes by any Loan Party to a Governmental Authority pursuant to this Section 2.15, such Loan Party shall deliver to the Lender the original or a certified copy of a receipt issued by such Governmental Authority evidencing such payment, a copy of the return reporting such payment, or other evidence of such payment reasonably satisfactory to the Lender. (d) Indemnification by the Loan Parties. The Loan Parties shall jointly and severally indemnify the Lender, within ten (10) days after written demand therefor, for the full amount of any Indemnified Taxes (including Indemnified Taxes imposed or asserted on or attributable to amounts payable under this Section) payable or paid by the Lender or required to be withheld or deducted from a payment to the Lender and any reasonable expenses arising therefrom or with respect thereto, whether or not such Indemnified Taxes were correctly or legally imposed or asserted by the relevant Governmental Authority. A certificate as to the amount of such payment or liability delivered to any Loan Party by the Lender, shall be conclusive absent manifest error. (e) Status of the Lender. (i) If the Lender is entitled to an exemption from or a reduction of withholding Tax with respect to payments made under any Loan Document, the Lender shall deliver to the Borrowers, at the time or times reasonably requested by the Borrowers, such properly


 
40 743955026 completed and executed documentation reasonably requested by the Borrowers, as will permit such payments to be made without withholding or at a reduced rate of withholding. In addition, the Lender, if reasonably requested by the Borrowers, shall deliver such other documentation prescribed by applicable law or reasonably requested by the Borrowers as will enable the Borrowers to determine whether or not the Lender is subject to backup withholding or information reporting requirements. Notwithstanding anything to the contrary in the preceding two sentences, the completion, execution and submission of such documentation (other than such documentation set forth in Section 2.15(e)(ii)(A) and Section 2.15(e)(ii)(B) below) shall not be required if in the Lender’s reasonable judgment such completion, execution or submission would subject the Lender to any material unreimbursed cost or expense or would materially prejudice the legal or commercial position of the Lender. (ii) Without limiting the generality of the foregoing, (1) in the case of a Foreign Lender claiming the benefits of an income tax treaty to which the United States is a party (x) with respect to payments of interest under any Loan Document, executed copies of IRS Form W-8BEN-E establishing an exemption from, or reduction of, U.S. federal withholding Tax pursuant to the “interest” article of such tax treaty and (y) with respect to any other applicable payments under any Loan Document, executed copies of IRS Form W- 8BEN-E establishing an exemption from, or reduction of, U.S. federal withholding Tax pursuant to the “business profits” or “other income” article of such treaty; (2) executed copies of IRS Form W-8ECI; (3) in the case of a Foreign Lender claiming the benefits of the exemption for portfolio interest under Section 871(h) or Section 881(c) of the Code, (x) a certificate to the effect that such Foreign Lender is not a “bank” within the meaning of Section 881(c)(3)(A) of the Code, a “10 percent shareholder” of any Loan Party within the meaning of Section 871(h)(3)(B) of the Code, or a “controlled foreign corporation” described in Section 881(c)(3)(C) of the Code (a “U.S. Tax Compliance Certificate”) and (y) executed copies of IRS Form W- 8BEN-E; or (4) to the extent a Foreign Lender is not the beneficial owner, executed copies of IRS Form W-8IMY, accompanied by IRS Form W-8ECI, IRS Form W-8BEN-E, IRS Form W-8BEN, a U.S. Tax Compliance Certificate, IRS Form W-9 and/or other certification documents from each beneficial owner as applicable; provided that if the Foreign Lender is a partnership and one or more direct or indirect partners of such Foreign Lender are claiming the portfolio interest exemption, such Foreign Lender may provide a U.S. Tax Compliance Certificate on behalf of each such direct or indirect partner; and (iii) any Foreign Lender shall, to the extent it is legally entitled to do so, deliver to the Borrowers (in such number of copies as shall be requested by the Borrowers) on or about the date on which such Foreign Lender becomes a Lender under this Agreement (and from time to time thereafter upon the reasonable request of the Borrowers), executed copies of any other form prescribed by applicable law as a basis for claiming an exemption from or a reduction in U.S. federal withholding tax duly completed together with such


 
41 743955026 supplementary documentation as may be prescribed by applicable law to permit a Loan Party or the Borrowers to determine the withholding or deduction required to be made. (iv) Each Lender agrees that if any form or certification it previously delivered expires or becomes obsolete or inaccurate in any respect, it shall promptly update such form or certification or promptly notify the Borrowers in writing of its legal inability to do so. (f) Treatment of Certain Refunds. If the Lender determines, in its sole discretion exercised in good faith, that it has received a refund of any Taxes as to which it has been indemnified pursuant to this Section 2.15 (including by the payment of additional amounts pursuant to this Section 2.15), it shall pay to the indemnifying party an amount equal to such refund (but only to the extent of indemnity payments made under this Section 2.15 with respect to the Taxes giving rise to such refund), net of all out-of-pocket expenses (including Taxes) of the Lender and without interest (other than any interest paid by the relevant Governmental Authority with respect to such refund). Such indemnifying party, upon the request of the Lender, shall repay to the Lender the amount paid to the Lender (plus any penalties, interest or other charges imposed by the relevant Governmental Authority) in the event the Lender is required to repay such refund to such Governmental Authority. Notwithstanding anything to the contrary in this paragraph (e), in no event will the Lender be required to pay any amount to any indemnifying party pursuant to this paragraph (e) the payment of which would place the Lender in a less favorable net after-Tax position than the Lender would have been in if the Tax subject to indemnification and giving rise to such refund had not been deducted, withheld or otherwise imposed and the indemnification payments or additional amounts giving rise to such refund had never been paid. This paragraph (e) shall not be construed to require the Lender to make available its Tax returns (or any other information relating to its Taxes that it deems confidential) to the indemnifying party or any other Person. (g) If a payment made to a Lender under any Loan Document would be subject to U.S. federal withholding tax imposed by FATCA if such Lender were to fail to comply with the applicable reporting requirements of FATCA (including those contained in Section 1471(b) or 1472(b) of the Code, as applicable), such Lender shall deliver to the Borrowers at the time or times prescribed by law and at such time or times reasonably requested by the Borrowers such documentation prescribed by applicable law (including as prescribed by Section 1471(b)(3)(C)(i) of the Code) and such additional documentation reasonably requested by the Borrowers as may be necessary for the Borrowers to comply with their obligations under FATCA and to determine that such Lender has complied with its obligations under FATCA or to determine the amount, if any, to deduct and withhold from such payment. Solely for purposes of this clause (g), “FATCA” shall include any amendments made to FATCA after the date of this Agreement. Any forms, certifications or other documentation under this clause g shall be delivered by each Lender. (h) Survival. Each party’s obligations under this Section 2.15 shall survive the resignation or replacement of the Lender or any assignment of rights by, or the replacement of, the Lender, the termination of the Commitment and the repayment, satisfaction or discharge of all obligations under any Loan Document (including the Payment in Full of the Secured Obligations). (i) Defined Terms. For purposes of this Section 2.15, the term “applicable law” includes FATCA. SECTION 2.16.Payments Generally; Allocation of Proceeds.


 
42 743955026 (a) The Borrowers shall make each payment or prepayment required to be made by them hereunder (whether of principal, interest, fees or reimbursement of LC Disbursements, or of amounts payable under Sections 2.13, 2.14 or 2.15, or otherwise) prior to 2:00 p.m., New York time, on the date when due or the date fixed for any prepayment hereunder, in immediately available funds, without setoff, recoupment or counterclaim. Any amounts received after such time on any date may, in the discretion of the Lender, be deemed to have been received on the next succeeding Business Day for purposes of calculating interest thereon. All such payments shall be made to the Lender at its offices at 10 South Dearborn, Chicago, Illinois 60603. Unless otherwise provided for herein, if any payment hereunder shall be due on a day that is not a Business Day, the date for payment shall be extended to the next succeeding Business Day, and, in the case of any payment accruing interest, interest thereon shall be payable for the period of such extension. All payments hereunder shall be made in dollars. (b) All payments and any proceeds of Collateral received by the Lender (i) not constituting either (A) a specific payment of principal, interest, fees or other sum payable under the Loan Documents (which shall be applied as specified by the Borrowers), or (B) a mandatory prepayment (which shall be applied in accordance with Section 2.09) or (ii) after an Event of Default has occurred and is continuing and the Lender so elects, such funds shall be applied ratably first, to pay any fees, indemnities, or expense reimbursements then due to the Lender from the Borrowers, second, to pay interest then due and payable on the Loans ratably, third, to prepay principal on the Loans and unreimbursed LC Disbursements, to pay an amount to the Lender equal to one hundred three percent (103%) of the aggregate LC Exposure, to be held as cash collateral for such Obligations, and to pay any amounts owing in respect of Swap Agreement Obligations and Banking Services Obligations, ratably, fourth, to the payment of any other Secured Obligation due to the Lender from the Borrowers or any other Loan Party. Notwithstanding anything to the contrary contained in this Agreement, unless so directed by the Borrower Representative, or unless a Default is in existence, the Lender shall not apply any payment which it receives to any Eurodollar Loan of a Class, except (i) on the expiration date of the Interest Period applicable thereto, or (ii) in the event, and only to the extent, that there are no outstanding CBFR Loans of the same Class and, in any such event, the Borrowers shall pay the break funding payment required in accordance with Section 2.14. The Lender shall have the continuing and exclusive right to apply and reverse and reapply any and all such proceeds and payments to any portion of the Secured Obligations. (c) At the election of the Lender, all payments of principal, interest, LC Disbursements, fees, premiums, reimbursable expenses (including, without limitation, all reimbursement for fees, costs and expenses pursuant to Section 8.03), and other sums payable under the Loan Documents, may be paid from the proceeds of Borrowings made hereunder made following a request by the Borrower Representative pursuant to Section 2.03. The Borrowers hereby irrevocably authorize the Lender to charge any deposit account of any Borrower maintained with the Lender for each payment of principal, interest and fees as it becomes due hereunder or any other amount due under the Loan Documents. (d) The Lender may from time to time provide the Borrowers with account statements or invoices with respect to any of the Secured Obligations (the “Statements”). The Lender is under no duty or obligation to provide Statements, which, if provided, will be solely for the Borrowers’ convenience. Statements may contain estimates of the amounts owed during the relevant billing period, whether of principal, interest, fees or other Secured Obligations. If the Borrowers pay the full amount indicated on a Statement on or before the due date indicated on such Statement, the Borrowers shall not be in default of payment with respect to the billing period indicated on such Statement; provided, that acceptance by the Lender of any payment that is less than the total amount


 
43 743955026 actually due at that time (including but not limited to any past due amounts) shall not constitute a waiver of the Lender’s right to receive payment in full at another time. SECTION 2.17.Returned Payments. If after receipt of any payment which is applied to the payment of all or any part of the Obligations (including a payment effected through exercise of a right of setoff), the Lender is for any reason compelled to surrender such payment or proceeds to any Person because such payment or application of proceeds is invalidated, declared fraudulent, set aside, determined to be void or voidable as a preference, impermissible setoff, or a diversion of trust funds, or for any other reason (including pursuant to any settlement entered into by the Lender in its discretion), then the Obligations or part thereof intended to be satisfied shall be revived and continued and this Agreement shall continue in full force as if such payment or proceeds had not been received by the Lender. The provisions of this Section 2.17 shall be and remain effective notwithstanding any contrary action which may have been taken by the Lender in reliance upon such payment or application of proceeds. The provisions of this Section 2.17 shall survive the termination of this Agreement. ARTICLE III Representations and Warranties Each Loan Party represents and warrants to the Lender that (and where applicable, agrees): SECTION 3.01.Organization; Powers. Each Loan Party and each Subsidiary is duly organized or formed, validly existing and in good standing under the laws of the jurisdiction of its organization, has all requisite power and authority to carry on its business as now conducted and, except where the failure to do so, individually or in the aggregate, would not reasonably be expected to result in a Material Adverse Effect, is qualified to do business in, and is in good standing in, every jurisdiction where such qualification is required. SECTION 3.02.Authorization; Enforceability. The Transactions are within each Loan Party’s corporate or other organizational powers and have been duly authorized by all necessary corporate or other organizational actions and, if required, actions by equity holders. Each Loan Document to which each Loan Party is a party has been duly executed and delivered by such Loan Party and constitutes a legal, valid and binding obligation of such Loan Party, enforceable in accordance with its terms, subject to applicable bankruptcy, insolvency, reorganization, moratorium or other laws affecting creditors’ rights generally and subject to general principles of equity, regardless of whether considered in a proceeding in equity or at law. SECTION 3.03.Governmental Approvals; No Conflicts. The Transactions (a) do not require any consent or approval of, registration or filing with, or any other action by, any Governmental Authority, except such as have been obtained or made and are in full force and effect and except for filings necessary to perfect Liens created pursuant to the Loan Documents, (b) will not violate any Requirement of Law applicable to any Loan Party or any Subsidiary, (c) will not violate or result in a default under any indenture, agreement or other instrument binding upon any Loan Party or any Subsidiary or the assets of any Loan Party or any Subsidiary, or give rise to a right thereunder to require any payment to be made by any Loan Party or any Subsidiary, except for such violations or defaults that would not reasonably be expected to have a Material Adverse Effect, and (d) will not result in the creation or imposition of, or other requirement to create, any Lien on any asset of any Loan Party or any Subsidiary, except Liens permitted pursuant to Section 6.02. SECTION 3.04.Financial Condition; No Material Adverse Change.


 
44 743955026 (a) The Company has heretofore furnished to the Lender the financial statements required pursuant to Section 4.01(b). Such financial statements present fairly, in all material respects, the financial position and results of operations and cash flows of the Company and its consolidated Subsidiaries as of such dates and for such periods in accordance with GAAP, subject to normal year-end audit adjustments all of which, when taken as a whole, would not be materially adverse and the absence of footnotes in the case of the statements referred to in Section 4.01(b)(ii). (b) No event, change or condition has occurred that has had, or would reasonably be expected to have, a Material Adverse Effect, since December 31, 2020. SECTION 3.05.Properties, etc. (a) As of the date of this Agreement, Schedule 3.05 sets forth the address of each parcel of real property that is owned or leased by any Loan Party. Each of such leases and subleases is valid and enforceable in accordance with its terms and is in full force and effect, and no default by any party to any such lease or sublease exists, other than such defaults that would not result in a termination of such lease or sublease or would not reasonably be expected to have a Material Adverse Effect. Each of the Loan Parties and each Subsidiary has good and sufficient title to, or valid leasehold interests in, all of its real and material personal property, free of all Liens other than those permitted by Section 6.02. (b) Each Loan Party and each Subsidiary owns, or is licensed to use, all trademarks, tradenames, copyrights, patents and other intellectual property necessary and material to its business as currently conducted, a correct and complete list of which, as of the date of this Agreement, is set forth on Schedule 3.05, and the use thereof by each Loan Party and each Subsidiary to the knowledge of such Loan Party or Subsidiary does not infringe in any material respect upon the rights of any other Person. SECTION 3.06.Litigation and Environmental Matters. (a) Except as set forth on Schedule 3.06, there are no actions, suits or proceedings by or before any arbitrator or Governmental Authority pending against or, to the knowledge of any Loan Party, threatened against or affecting any Loan Party or any Subsidiary (i) as to which there is a reasonable possibility of an adverse determination and that, if adversely determined, would reasonably be expected, individually or in the aggregate, to result in a Material Adverse Effect or (ii) that involve any Loan Document or the Transactions. (b) Except as set forth on Schedule 3.06 (i) no Loan Party or any Subsidiary has received written notice of any material claim with respect to any Environmental Liability or has actual knowledge of any basis for any material Environmental Liability and (ii) and except with respect to any other matters that, individually or in the aggregate, would not reasonably be expected to result in a Material Adverse Effect, no Loan Party or any Subsidiary (A) has failed to comply with any Environmental Law or to obtain, maintain or comply with any permit, license or other approval required under any Environmental Law or (B) has become subject to any Environmental Liability. SECTION 3.07.Compliance with Laws and Agreements; No Default. Except where the failure to do so, individually or in the aggregate, would not reasonably be expected to result in a Material Adverse Effect, each Loan Party and each Subsidiary is in compliance with (i) each Requirement of Law applicable to it or its property and (ii) all indentures, agreements and other instruments binding upon it or its property. No Default has occurred and is continuing.


 
45 743955026 SECTION 3.08.Investment Company Status. No Loan Party or any Subsidiary is an “investment company” as defined in, or subject to regulation under, the Investment Company Act of 1940. SECTION 3.09.Taxes. Each Loan Party and each Subsidiary has timely filed or caused to be filed all Tax returns and reports required to have been filed (after giving effect to any extensions granted with respect thereto) and has paid or caused to be paid all federal and state income Taxes and other material Tax required to have been paid by it, except Taxes that are being contested in good faith by appropriate proceedings and for which such Loan Party or such Subsidiary, as applicable, has set aside on its books adequate reserves. No tax liens have been filed and no claims are being asserted with respect to any such taxes. SECTION 3.10.ERISA. No ERISA Event has occurred or is reasonably expected to occur that, when taken together with all other such ERISA Events for which liability is reasonably expected to occur, would reasonably be expected to result in a Material Adverse Effect. Except to the extent that the following would not reasonably be expected to materially and adversely affect the Loan Parties, taken as a whole, the present value of all accumulated benefit obligations under each Plan (based on the assumptions used for purposes of Accounting Standards Codification 715) did not, as of the date of the most recent financial statements reflecting such amounts, exceed the fair market value of the assets of such Plan. SECTION 3.11.Disclosure. (a) The Loan Parties have disclosed to the Lender all agreements, instruments and corporate or other restrictions to which any Loan Party or any Subsidiary is subject, and all other matters known to it, that, individually or in the aggregate, would reasonably be expected to result in a Material Adverse Effect. None of the reports, financial statements, certificates or other information furnished by or on behalf of any Loan Party or any Subsidiary to the Lender in connection with the negotiation of this Agreement or any other Loan Document (as modified or supplemented by other information so furnished) contains any material misstatement of fact or omits to state any material fact necessary to make the statements therein, in the light of the circumstances under which they were made, not misleading; provided that, with respect to projected financial information, the Loan Parties represent only that such information was prepared in good faith based upon assumptions believed to be reasonable at the time delivered and, if such projected financial information was delivered prior to the Effective Date, as of the Effective Date (it being understood that projections, by their nature, are inherently uncertain, no assurances are being given that the results reflected in any projections will be achieved, and actual results during the period or periods covered by any such projections may differ from the projected results in material respects). (b) As of the Effective Date, to the best knowledge of each Borrower, the information included in the Beneficial Ownership Certification provided on or prior to the Effective Date to the Lender in connection with this Agreement is true and correct in all respects. SECTION 3.12.Material Agreements. No Loan Party or any Subsidiary is in default in the performance, observance or fulfillment of any of the obligations, covenants or conditions contained in (i) any material agreement to which it is a party or (ii) any agreement or instrument evidencing or governing Indebtedness, in each case, that would reasonably be expected to have a Material Adverse Effect. SECTION 3.13.Solvency. Immediately after the consummation of the Transactions to occur on the Effective Date, (i) the fair value of the assets of each Loan Party will exceed its debts and liabilities, subordinated, contingent or otherwise; (ii) the present fair saleable value of the property of each Loan Party will be greater than the amount that will be required to pay the probable liability of its debts and other liabilities, subordinated, contingent or otherwise, as such debts and other liabilities become absolute and matured; (iii) each Loan Party will be able to pay its debts and liabilities, subordinated, contingent or otherwise, as such debts and liabilities become absolute and matured; and (iv) no Loan Party will have


 
46 743955026 unreasonably small capital with which to conduct the business in which it is engaged as such business is now conducted and is proposed to be conducted after the Effective Date. SECTION 3.14.Insurance. Schedule 3.14 sets forth a description of all insurance maintained by or on behalf of the Loan Parties and their Subsidiaries as of the Effective Date. As of the Effective Date, all premiums due and owing in respect of such insurance have been paid. The Loan Parties believe that the insurance maintained by or on behalf of the Loan Parties and their Subsidiaries is adequate and is customary for companies engaged in the same or similar businesses operating in the same or similar locations. SECTION 3.15.Capitalization and Subsidiaries. Schedule 3.15 sets forth, as of the Effective Date, (a) a correct and complete list of the name and relationship to the Company of each Subsidiary, (b) a true and complete listing of each class of each of the Company’ authorized Equity Interests, of which all of such issued Equity Interests are validly issued, outstanding, fully paid and non-assessable, and owned beneficially and of record by the Persons identified on Schedule 3.15, and (c) the type of entity of the Company and each Subsidiary. All of the issued and outstanding Equity Interests owned by any Loan Party have been (to the extent such concepts are relevant with respect to such ownership interests) duly authorized and issued and are fully paid and non-assessable. SECTION 3.16.Security Interest in Collateral. The provisions of this Agreement and the other Loan Documents create legal and valid Liens on all the Collateral in favor of the Lender, for the benefit of the Secured Parties, and such Liens constitute perfected and continuing Liens on the Collateral, securing the Secured Obligations, enforceable against the applicable Loan Party and all third parties, and having priority over all other Liens on the Collateral except in the case of (a) Permitted Encumbrances, to the extent any such Permitted Encumbrances would have priority over the Liens in favor of the Lender pursuant to any applicable law and (b) Liens perfected only by possession (including possession of any certificate of title), to the extent the Lender has not obtained or does not maintain possession of such Collateral. SECTION 3.17.Employment Matters. As of the Effective Date, there are no strikes, lockouts or slowdowns against any Loan Party or any Subsidiary pending or, to the knowledge of any Loan Party, threatened that would reasonably be expected to result in a Material Adverse Effect. The hours worked by and payments made to employees of the Loan Parties and their Subsidiaries have not been in violation of the Fair Labor Standards Act or any other applicable federal, state, local or foreign law dealing with such matters that would reasonably be expected to have a Material Adverse Effect. All material payments due from any Loan Party or any Subsidiary, or for which any claim may be made against any Loan Party or any Subsidiary, on account of wages and employee health and welfare insurance and other benefits, have been paid or accrued as a liability on the books of such Loan Party or such Subsidiary. SECTION 3.18.Margin Regulations. No Loan Party is engaged and will not engage, principally or as one of its important activities, in the business of purchasing or carrying Margin Stock, or extending credit for the purpose of purchasing or carrying Margin Stock, and no part of the proceeds of any Borrowing or Letter of Credit extension hereunder will be used to purchase or carry any Margin Stock. Following the application of the proceeds of each Borrowing or drawing under each Letter of Credit, not more than 25% of the value of the assets (either of any Loan Party only or of the Loan Parties and their Subsidiaries on a consolidated basis) will be Margin Stock. SECTION 3.19.Use of Proceeds. The proceeds of the Loans have been used and will be used, whether directly or indirectly as set forth in Section 5.08. SECTION 3.20.Anti-Corruption Laws and Sanctions. Each Loan Party has implemented and maintains in effect policies and procedures designed to ensure compliance by such Loan Party, its Subsidiaries and their respective directors, officers, employees and agents with Anti-Corruption Laws and


 
47 743955026 applicable Sanctions, and such Loan Party, its Subsidiaries and their respective officers and directors and, to the knowledge of such Loan Party, its employees and agents, are in compliance with Anti-Corruption Laws and applicable Sanctions in all material respects. None of (a) any Loan Party, any Subsidiary, any of their respective directors or officers or, to the knowledge of any such Loan Party or Subsidiary, employees or (b) to the knowledge of any such Loan Party or Subsidiary, any agent of such Loan Party or any Subsidiary that will act in any capacity in connection with or benefit from the credit facility established hereby, is a Sanctioned Person. No Borrowing or Letter of Credit, use of proceeds, Transaction or other transaction contemplated by this Agreement or the other Loan Documents will violate Anti-Corruption Laws or applicable Sanctions. SECTION 3.21.Plan Assets; Prohibited Transactions. None of the Loan Parties or any of their Subsidiaries is an entity deemed to hold “plan assets” (within the meaning of the Plan Asset Regulations), and neither the execution, delivery nor performance of the transactions contemplated under this Agreement, including the making of any Loan and the issuance of any Letter of Credit hereunder, will give rise to a non-exempt prohibited transaction under Section 406 of ERISA or Section 4975 of the Code. ARTICLE IV Conditions SECTION 4.01.Effective Date. The obligations of the Lender to make Loans and to issue Letters of Credit hereunder shall not become effective until the date on which each of the following conditions is satisfied (or waived in accordance with Section 8.02): (a) Credit Agreement and Loan Documents. The Lender (or its counsel) shall have received (i) from each party hereto a counterpart of this Agreement signed on behalf of such party (which, subject to Section 8.06(b), may include any Electronic Signatures transmitted by telecopy, emailed pdf. or any other electronic means that reproduces an image of an actual executed signature page) and (ii) duly executed copies of the Loan Documents and such other certificates, documents, instruments and agreements as the Lender shall reasonably request in connection with the transactions contemplated by this Agreement and the other Loan Documents, including a written opinion of the Loan Parties’ counsel, addressed to the Lender all in form and substance reasonably satisfactory to the Lender. (b) Financial Statements and Projections. The Lender shall have received (i) audited consolidated financial statements of the Company for the 2020 fiscal year, (ii) unaudited interim consolidated financial statements of the Company and its Subsidiaries for each fiscal quarter ended after the date of the latest applicable financial statements delivered pursuant to clause (i) of this paragraph as to which such financial statements are available, and such financial statements shall not, in the reasonable judgment of the Lender, reflect any material adverse change in the consolidated financial condition of the Company, as reflected in the audited, consolidated financial statements described in clause (i) of this paragraph and (iii) reasonably satisfactory Projections through 2026. (c) Closing Certificates; Certified Certificate of Incorporation; Good Standing Certificates. The Lender shall have received (i) a certificate of each Loan Party, dated the Effective Date and executed by its Secretary or Assistant Secretary or other officer of such Loan Party sufficiently familiar with the books and records of such Loan Party, which shall (A) certify the resolutions of its Board of Directors, members or other body authorizing the execution, delivery and performance of the Loan Documents to which it is a party, (B) identify by name and title and bear the signatures of the officers of such Loan Party authorized to sign the Loan Documents to


 
48 743955026 which it is a party and, in the case of a Borrower, its Financial Officers, and (C) contain appropriate attachments, including the charter, articles or certificate of organization or incorporation of each Loan Party certified by the relevant authority of the jurisdiction of organization of such Loan Party and a true and correct copy of its bylaws or operating, management or partnership agreement, or other organizational or governing documents, and (ii) a good standing certificate for each Loan Party from its jurisdiction of organization. (d) No Default Certificate. The Lender shall have received a certificate, signed by a Financial Officer of each Borrower, dated as of the Effective Date (i) stating that immediately before and after the effectiveness of this Agreement, Default has occurred and is continuing and (ii) stating that the representations and warranties contained in the Loan Documents are true and correct as of such date (it being understood and agreed that any representation or warranty which by its terms is made as of a specified date shall be required to be true and correct only as of such specified date). (e) Fees. The Lender shall have received all reasonable and documented out-of- pocket fees required to be paid, and all expenses required to be reimbursed for which invoices have been presented (including the reasonable and documented out-of-pocket fees and expenses of legal counsel), prior to the Effective Date. All such amounts will be paid with proceeds of Loans made on the Effective Date and will be reflected in the funding instructions given by the Borrower Representative to the Lender on or before the Effective Date. (f) Lien Searches. The Lender shall have received the results of a recent lien search in the jurisdiction of organization of each Loan Party and each jurisdiction where assets of the Loan Parties are located, and such search shall reveal no Liens on any of the assets of the Loan Parties except for liens permitted by Section 6.02 or discharged on or prior to the Effective Date pursuant to a payoff letter or other documentation reasonably satisfactory to the Lender. (g) Pay-Off Letter. The Lender shall have received reasonably satisfactory pay-off letters for all existing Indebtedness required to be repaid and which confirms that all Liens upon any of the property of the Loan Parties constituting Collateral will be terminated concurrently with such payment and all letters of credit issued or guaranteed as part of such Indebtedness shall have been cash collateralized or supported by a Letter of Credit. (h) Funding Account. The Lender shall have received a notice setting forth the deposit account of the Borrowers (the “Funding Account”) to which the Lender is authorized by the Borrowers to transfer the proceeds of any Borrowings requested or authorized pursuant to this Agreement. (i) Solvency. The Lender shall have received a solvency certificate signed by a Financial Officer of the Company dated the Effective Date in form and substance reasonably satisfactory to the Lender. (j) Pledged Equity Interests; Stock Powers; Pledged Notes. The Lender shall have received (i) the certificates representing the Equity Interests pledged pursuant to the Security Agreement, together with an undated stock power for each such certificate executed in blank by a duly authorized officer of the pledgor thereof and (ii) each promissory note (if any) pledged to the Lender pursuant to the Security Agreement endorsed (without recourse) in blank (or accompanied by an executed transfer form in blank) by the pledgor thereof.


 
49 743955026 (k) Filings, Registrations and Recordings. Each document (including any Uniform Commercial Code financing statement) required by the Collateral Documents or under law or reasonably requested by the Lender to be filed, registered or recorded in order to create in favor of the Lender, for the benefit of the Secured Parties, a perfected Lien on the Collateral described therein, prior and superior in right to any other Person (other than with respect to Liens expressly permitted by Section 6.02), shall be in proper form for filing, registration or recordation. (l) Insurance. The Lender shall have received evidence of insurance coverage in form, scope, and substance reasonably satisfactory to the Lender and otherwise in compliance with the terms of Section 5.10 of this Agreement and Section 4.12 of the Security Agreement. (m) Legal Due Diligence. The Lender and its counsel shall have completed all legal due diligence, the results of which shall be reasonably satisfactory to Lender in its sole discretion. (n) USA PATRIOT Act, Etc. (i) The Lender shall have received, (x) all documentation and other information regarding the Borrowers requested in connection with applicable “know your customer” and anti-money laundering rules and regulations, including the USA PATRIOT Act, to the extent requested in writing of the Borrowers at least ten (10) days prior to the Effective Date, and (y) a properly completed and signed IRS Form W-8 or W-9, as applicable, for each Loan Party, and (ii) the Lender shall have received, to the extent the Borrowers qualify as a “legal entity customer” under the Beneficial Ownership Regulation, a Beneficial Ownership Certification in relation to the Borrowers prior to the Effective Date, to the extent requested in writing of the Borrowers at least five (5) days prior to the Effective Date. (o) Other Documents. The Lender shall have received such other documents as the Lender or its counsel may have reasonably requested. The Lender shall notify the Borrowers of the Effective Date, and such notice shall be conclusive and binding. Notwithstanding the foregoing, the obligations of the Lender to make Loans and to issue Letters of Credit hereunder shall not become effective unless each of the foregoing conditions is satisfied (or waived pursuant to Section 8.02) at or prior to 2:00 p.m., New York time, on December 22, 2021. SECTION 4.02.Each Credit Event. The obligation of the Lender to make a Loan on the occasion of any Borrowing, and to issue, amend, renew or extend any Letter of Credit, is subject to the satisfaction of the following conditions: (a) The representations and warranties of the Loan Parties set forth in the Loan Documents shall be true and correct in all material respects with the same effect as though made on and as of the date of such Borrowing or the date of issuance, amendment or extension of such Letter of Credit, as applicable (it being understood and agreed that any representation or warranty which by its terms is made as of a specified date shall be required to be true and correct in all material respects only as of such specified date, and that any representation or warranty which is subject to any materiality qualifier shall be required to be true and correct in all respects). (b) At the time of and immediately after giving effect to such Borrowing or the issuance, amendment or extension of such Letter of Credit, as applicable, no Default shall have occurred and be continuing. (c) After giving effect to any Borrowing or the issuance, amendment or extension of any Letter of Credit, Availability shall not be less than zero.


 
50 743955026 (d) No event shall have occurred and no condition shall exist which has or could be reasonably expected to have a Material Adverse Effect. Each Borrowing and each issuance, amendment or extension of a Letter of Credit shall be deemed to constitute a representation and warranty by the Borrowers on the date thereof as to the matters specified in paragraphs (a), (b), (c) and (d) of this Section. ARTICLE V Affirmative Covenants Until all of the Secured Obligations shall have been Paid in Full, each Loan Party executing this Agreement covenants and agrees, jointly and severally with all of the other Loan Parties, with the Lender that: SECTION 5.01.Financial Statements and Other Information. The Borrowers will furnish to the Lender: (a) within one hundred twenty (120) days after the end of each fiscal year of the Company, its audited consolidated balance sheet and related statements of operations, stockholders’ equity and cash flows as of the end of and for such year, setting forth in each case in comparative form the figures for the previous fiscal year, all reported on by independent public accountants of recognized national standing (without a “going concern” or like qualification, commentary or exception, and without any qualification or exception as to the scope of such audit) to the effect that such consolidated financial statements present fairly in all material respects the financial condition and results of operations of the Company and its consolidated Subsidiaries on a consolidated basis in accordance with GAAP consistently applied; (b) within forty-five (45) days after the end of each of the first three fiscal quarters of the Company, its consolidated balance sheet and related statements of operations, stockholders’ equity and cash flows as of the end of and for such fiscal quarter and the then elapsed portion of such fiscal year, setting forth in each case in comparative form the figures for the corresponding period or periods of (or, in the case of the balance sheet, as of the end of) the previous fiscal year, all certified by a Financial Officer of the Borrower Representative as presenting fairly in all material respects the financial condition and results of operations of the Company and its consolidated Subsidiaries on a consolidated basis in accordance with GAAP consistently applied, subject to normal year-end audit adjustments and the absence of footnotes; (c) concurrently with any delivery of financial statements under clause (a) or (b) above, a certificate of a Financial Officer of the Borrower Representative in substantially the form of Exhibit C (i) certifying, in the case of the financial statements delivered under clause (b) above, as presenting fairly in all material respects the financial condition and results of operations of the Company and its Subsidiaries on a consolidated basis in accordance with GAAP consistently applied, subject to normal year-end audit adjustments and the absence of footnotes, (ii) certifying as to whether a Default has occurred and is continuing and, if a Default has occurred and is continuing, specifying the details thereof and any action taken or proposed to be taken with respect thereto, (iii) setting forth reasonably detailed calculations demonstrating compliance with Sections 6.12 and (iv) stating whether any change in GAAP or in the application thereof has occurred since the date of the audited financial statements referred to in Section 3.04 and, if any such change has occurred, specifying the effect of such change on the financial statements accompanying such certificate;


 
51 743955026 (d) as soon as available, but in any event no later than sixty (60) days following the end of each fiscal year of the Company, a copy of the plan and forecast (including a projected consolidated and consolidating balance sheet, income statement and cash flow statement) of the Company for each month of the upcoming fiscal year (the “Projections”) in form reasonably satisfactory to the Lender; (e) promptly after the same become publicly available, copies of all periodic and other reports, proxy statements and other materials filed by any Loan Party or any Subsidiary with the SEC, or any Governmental Authority succeeding to any or all of the functions of the SEC, or with any national securities exchange, or distributed by the Company to its shareholders generally, as the case may be; (f) promptly after receipt thereof by any Borrower or any Subsidiary, copies of each notice or other correspondence received from the SEC (or comparable agency in any applicable non-U.S. jurisdiction) concerning any investigation or possible investigation or other inquiry by the SEC or such other agency regarding financial or other operational results of any Borrower or any Subsidiary thereof; (g) promptly following any written request therefor, copies of any detailed audit reports, management letters or recommendations submitted to the board of directors (or the audit committee of the board of directors) of any Borrower by independent accountants in connection with the accounts or books of any Borrower or any Subsidiary, or any audit of any of them as the Lender may reasonably request; (h) promptly following any written request therefor, (x) such other information regarding the operations, changes in ownership of Equity Interests, business affairs and financial condition of any Loan Party or any Subsidiary, or compliance with the terms of this Agreement, as the Lender may reasonably request in writing, the disclosure of which would not violate applicable Law or breach any obligation binding on such Loan Party or such Subsidiary to keep such information confidential, would not require the disclosure of information subject to legal privilege or would disclose a trade secret (not related to financial matters) and (y) information and documentation reasonably requested by the Lender for purposes of compliance with applicable “know your customer” and anti-money laundering rules and regulations, including the USA PATRIOT Act and the Beneficial Ownership Regulation; and (i) promptly after any written request therefor by the Lender, copies of (i) any documents described in Section 101(k)(1) of ERISA that the Company or any ERISA Affiliate may request with respect to any Multiemployer Plan and (ii) any notices described in Section 101(l)(1) of ERISA that the Company or any ERISA Affiliate may request with respect to any Multiemployer Plan; provided that if the Company or any ERISA Affiliate has not requested such documents or notices from the administrator or sponsor of the applicable Multiemployer Plan, the Company or the applicable ERISA Affiliate shall promptly make a request for such documents and notices from such administrator or sponsor and shall provide copies of such documents and notices promptly after receipt thereof. Documents required to be delivered pursuant to Section 5.01(a), (b) or (e) (to the extent any such documents are included in materials otherwise filed with the SEC) may be delivered electronically and, if so delivered, shall be deemed to have been delivered on the date (i) on which such materials are publicly available as posted on the Electronic Data Gathering, Analysis and Retrieval system (EDGAR); or (ii) on which such documents are posted on the Borrowers’ behalf on an Internet or intranet website, if any, to which the Lender has access (whether a commercial, third-party website or whether made available by the Lender);


 
52 743955026 provided that, the Borrower Representative shall notify the Lender (by facsimile or through Electronic System) of the posting of any such documents and, upon written request by the Lender, provide to the Lender through Electronic System electronic versions (i.e., soft copies) of such documents. The Lender shall have no obligation to request the delivery of or to maintain paper copies of the documents referred to above. SECTION 5.02.Notices of Material Events. The Borrowers will furnish to the Lender prompt (but in any event within any time period that may be specified below) written notice of the following: (a) the occurrence of any Default that is continuing; (b) receipt of any notice of any investigation by a Governmental Authority or any litigation or proceeding commenced or threatened against any Loan Party or any Subsidiary that (i) seeks damages in excess of $2,000,000, (ii) seeks injunctive relief, (iii) is asserted or instituted against any Plan, its fiduciaries or its assets, (iv) alleges criminal misconduct by any Loan Party or any Subsidiary, (v) alleges the violation of, or seeks to impose remedies under, any Environmental Law or related Requirement of Law, or seeks to impose Environmental Liability, (vi) contests any tax, fee, assessment, or other governmental charge of any Loan Party or any Subsidiary in excess of $2,000,000 or (vii) involves any product recall; (c) any material change in accounting or financial reporting practices by any Loan Party or any Subsidiary; (d) the occurrence of any ERISA Event that, alone or together with any other ERISA Events that have occurred, would reasonably be expected to result in liability of the Loan Parties and their Subsidiaries in an aggregate amount exceeding $2,000,000; (e) any other development that results in, or would reasonably be expected to result in, a Material Adverse Effect; and (f) any change in the information provided in the Beneficial Ownership Certification delivered to such Lender that would result in a change to the list of beneficial owners identified in such certification. Each notice delivered under this Section (i) shall be in writing, (ii) shall contain a heading or a reference line that reads “Notice under Section 5.02 of Energy Recovery, Inc. Credit Agreement dated December 22, 2021 and (iii) shall be accompanied by a statement of a Financial Officer or other executive officer of the Borrower Representative setting forth the details of the event or development requiring such notice and any action taken or proposed to be taken with respect thereto (provided, that the disclosure of which would not violate applicable Law or breach any obligation binding on the applicable Loan Party or Subsidiary to keep such information confidential or would not require the disclosure of information subject to a legal privilege or would disclose a trade secret (not related to financial matters)). SECTION 5.03.Existence; Conduct of Business. Each Loan Party will, and will cause each Subsidiary to, (a) do or cause to be done all things necessary to preserve, renew and keep in full force and effect its legal existence and the rights, qualifications, licenses, permits, franchises, governmental authorizations, intellectual property rights, licenses and permits material to the conduct of its business, and maintain all requisite authority to conduct its business in each jurisdiction in which its business is conducted; provided that the foregoing shall not prohibit any merger, consolidation, liquidation or dissolution permitted under Section 6.03; provided further, that the Loan Parties shall not be required to preserve any such right or franchise, licenses and permits if no longer desirable in the conduct of the


 
53 743955026 business of such Person and (b) carry on and conduct its business in substantially the same manner and in substantially the same fields of enterprise as it is presently conducted. SECTION 5.04.Payment of Taxes. Each Loan Party will, and will cause each Subsidiary to, pay or discharge all Taxes, before the same shall become delinquent or in default, except where (a) the validity or amount thereof is being contested in good faith by appropriate proceedings, (b) such Loan Party or Subsidiary has set aside on its books adequate reserves with respect thereto in accordance with GAAP and (c) the failure to make payment pending such contest would not reasonably be expected to result in a Material Adverse Effect; provided, however, that each Loan Party will, and will cause each Subsidiary to, remit withholding taxes and other payroll taxes to appropriate Governmental Authorities as and when claimed to be due, notwithstanding the foregoing exceptions. SECTION 5.05.Maintenance of Properties. Each Loan Party will, and will cause each Subsidiary to, keep and maintain all property material to the conduct of its business in good working order and condition, ordinary wear and tear, and Dispositions not prohibited by this Agreement, excepted. SECTION 5.06.Books and Records; Inspection Rights. Each Loan Party will, and will cause each Subsidiary to, (a) keep proper books of record and account in which full, true and correct entries in all material respects are made of all material dealings and transactions in relation to its business and activities, and (b) permit any representatives designated by the Lender (including employees of the Lender or any consultants, accountants, lawyers, agents and appraisers retained by the Lender), upon prior written notice (which notice, if given during any period during which no Event of Default has occurred and is continuing, shall be given at least three (3) Business Days’ prior notice), to (i) visit and inspect its properties, conduct at the Loan Party’s premises field examinations of the Loan Party’s assets, liabilities, books and records, including examining and making extracts from its books and records, environmental assessment reports and Phase I or Phase II studies, and (ii) to discuss its affairs, finances and condition with its officers and independent accountants (and hereby authorizes the Lender to contact its independent accountants directly), all at such reasonable times and as often as reasonably requested; provided that if no Event of Default has occurred and is continuing, the Borrower and the Loan Parties shall only be required to reimburse the Lender for the costs of one such inspection per calendar year. The Loan Parties acknowledge that the Lender, after exercising its rights of inspection, may prepare certain Reports pertaining to the Loan Parties’ assets for internal use by the Lender. Notwithstanding the foregoing, nothing in this Section 5.06 shall require any disclosure (i) which would violate applicable Law or breach any obligation binding on the Borrower or such Subsidiary to keep such information confidential, (ii) would require the disclosure of information subject to a legal privilege or (iii) would disclose a trade secret (not related to financial matters) or proprietary information. SECTION 5.07.Compliance with Laws. Each Loan Party will, and will cause each Subsidiary to, comply with each Requirement of Law applicable to it or its property (including, without limitation, Environmental Laws), except where the failure to do so, individually or in the aggregate, would not reasonably be expected to result in a Material Adverse Effect. Each Loan Party will maintain in effect and enforce policies and procedures designed to reasonably ensure compliance by such Loan Party, its Subsidiaries and their respective directors, officers, employees and agents with Anti-Corruption Laws and applicable Sanctions. SECTION 5.08.Use of Proceeds. (a) The proceeds of the Revolving Loans and the Letters of Credit will be used only for working capital purposes and other general business purposes, in each case, of the Borrower. No part of the proceeds of any Loan and no Letter of Credit will be used, whether directly or


 
54 743955026 indirectly, for any purpose that entails a violation of any of the regulations of the Federal Reserve Board, including Regulations T, U and X. (b) The Borrowers will not request any Borrowing or Letter of Credit, and no Borrower shall use, and each Borrower shall procure that its Subsidiaries and its or their respective directors, officers, employees and agents shall not use, the proceeds of any Borrowing or Letter of Credit (a) in furtherance of an offer, payment, promise to pay, or authorization of the payment or giving of money, or anything else of value, to any Person in violation of any Anti-Corruption Laws, (b) for the purpose of funding, financing or facilitating any activities, business or transaction of or with any Sanctioned Person, or in any Sanctioned Country, except to the extent permitted for a Person required to comply with Sanctions, or (c) in any manner that would result in the violation of any Sanctions applicable to any party hereto. SECTION 5.09.Accuracy of Information. The Loan Parties will ensure that any information, including financial statements or other documents, furnished to the Lender in connection with this Agreement or any other Loan Document or any amendment or modification hereof or thereof or waiver hereunder or thereunder contains no material misstatement of fact or omits to state any material fact necessary to make the statements therein, in the light of the circumstances under which they were made, not misleading, and the furnishing of such information shall be deemed to be a representation and warranty by the Loan Parties on the date thereof as to the matters specified in this Section 5.09; provided that, with respect to the Projections, the Borrowers will cause the Projections to be prepared in good faith based upon assumptions believed to be reasonable at the time (it being understood that the Projections, by their nature, are inherently uncertain, no assurances are being given that the results reflected in the Projections will be achieved, and actual results during the period or periods covered by any such Projections may differ from the projected results in material respects). SECTION 5.10.Insurance. Each Loan Party will, and will cause each Subsidiary to, maintain with financially sound and reputable carriers having a financial strength rating of at least A- by A.M. Best Company (a) insurance in such amounts (with no greater risk retention) and against such risks and such other hazards, as is customarily maintained by companies of established repute engaged in the same or similar businesses operating in the same or similar locations and (b) all insurance required pursuant to the Collateral Documents. The Borrowers will furnish to the Lender information in reasonable detail as to the insurance so maintained.Casualty and Condemnation. The Borrowers will furnish to the Lender prompt written notice of any casualty or other insured damage to any material portion of the Collateral or the commencement of any action or proceeding for the taking of any material portion of the Collateral or interest therein under power of eminent domain or by condemnation or similar proceeding. SECTION 5.12.Depository Banks. On or prior to the date which is two hundred and seventy (270) days following the Effective Date, the Borrowers and each Subsidiary thereof will establish and thereafter maintain the Lender as its principal depository bank, including for the maintenance of operating, administrative, cash management, collection activity, and other deposit accounts for the conduct of its business. SECTION 5.13.Additional Collateral; Further Assurances. (a) Subject to any applicable Requirement of Law, each Loan Party will cause each of its domestic Subsidiaries (other than any Immaterial Subsidiary) formed or acquired after the date of this Agreement or any limited liability companies formed pursuant to any division to become a Loan Party by executing a Joinder Agreement, within 30 days of such formation of acquisition. In connection therewith, the Lender shall have received all documentation and other information regarding such newly formed or acquired Subsidiaries as may be reasonably requested in writing


 
55 743955026 by the Lender to comply with the applicable “know your customer” rules and regulations, including the USA Patriot Act. Upon execution and delivery thereof, each such Person (i) shall automatically become a Loan Guarantor hereunder and thereupon shall have all of the rights, benefits, duties, and obligations in such capacity under the Loan Documents and (ii) will grant Liens to the Lender, for the benefit of the Secured Parties, in any property of such Loan Party which constitutes Collateral, including any parcel of real property located in the U.S. owned by any Loan Party. (b) Each Loan Party will cause (i) 100% of the issued and outstanding Equity Interests of each of its domestic Subsidiaries and (ii) 65% of the issued and outstanding Equity Interests entitled to vote (within the meaning of Treas. Reg. Section 1.956-2(c)(2)) and 100% of the issued and outstanding Equity Interests not entitled to vote (within the meaning of Treas. Reg. Section 1.956-2(c)(2)) in each foreign Subsidiary directly owned by any Borrower or any domestic Subsidiary to be subject at all times to a first priority, perfected Lien in favor of the Lender, for the benefit of the Secured Parties, pursuant to the terms and conditions of the Loan Documents or other security documents as the Lender shall reasonably request. (c) Without limiting the foregoing, each Loan Party will, and will cause each Subsidiary to, execute and deliver, or cause to be executed and delivered, to the Lender such documents, agreements and instruments, and will take or cause to be taken such further actions (including the filing and recording of financing statements, fixture filings, mortgages, deeds of trust and other documents and such other actions or deliveries of the type required by Section 4.01, as applicable), which may be required by any Requirement of Law or which the Lender may, from time to time, may be reasonable request in writing by the Lender to carry out the terms and conditions of this Agreement and the other Loan Documents and to ensure perfection and priority of the Liens created or intended to be created by the Collateral Documents, all in form and substance reasonably satisfactory to the Lender and all at the expense of the Loan Parties. (d) If any material assets (including any real property or improvements thereto or any interest therein) are acquired by any Loan Party after the Effective Date (other than assets constituting Collateral under the Security Agreement that become subject to the Lien under the Security Agreement upon acquisition thereof), the Borrower Representative will (i) notify the Lender and, if requested by the Lender, cause such assets to be subjected to a Lien securing the Secured Obligations and (ii) take, and cause each applicable Loan Party to take, such actions as shall be necessary or reasonably requested by the Lender to grant and perfect such Liens, including actions described in paragraph (c) of this Section, all at the expense of the Loan Parties. SECTION 5.14.Post-Closing Covenants. (a) Within thirty (30) days after the Effective Date, the Lender shall have received insurance endorsements in form, scope, and substance reasonably satisfactory to the Lender and otherwise in compliance with the terms of Section 5.10 of this Agreement and Section 4.12 of the Security Agreement. (b) Within forty-five (45) days after the Effective Date (or such later date as may be agreed to by the Lender in its sole discretion), the Borrower shall deliver to the Lender the certificates representing the Equity Interests of the Subsidiaries of the Borrower pledged pursuant to the Security Agreement, together with an undated stock power for each such certificate executed in blank by a duly authorized officer of the pledgor thereof.


 
56 743955026 (c) Within sixty (60) days after the Effective Date, the Lender shall have received a Collateral Access Agreement for each leased property for which such an agreement is required to be provided pursuant to Section 4.13 of the Security Agreement. ARTICLE VI Negative Covenants Until all of the Secured Obligations shall have been Paid in Full, each Loan Party executing this Agreement covenants and agrees, jointly and severally with all of the other Loan Parties, with the Lender that: SECTION 6.01.Indebtedness. No Loan Party will, nor will it permit any Subsidiary to, create, incur, assume or suffer to exist any Indebtedness, except: (a) the Secured Obligations; (b) Indebtedness existing on the date hereof and set forth in Schedule 6.01 and any extensions, renewals, refinancings and replacements of any such Indebtedness in accordance with clause (f) hereof; (c) Indebtedness of any Borrower to any Subsidiary and of any Subsidiary to any Borrower or any other Subsidiary, provided that (i) Indebtedness of any Subsidiary that is not a Loan Party to any Borrower or any other Loan Party shall be subject to Section 6.04 and (ii) Indebtedness of any Loan Party to any Subsidiary that is not a Loan Party shall be subordinated to the Secured Obligations on terms reasonably satisfactory to the Lender; (d) Guarantees by any Borrower of Indebtedness of any Subsidiary and by any Subsidiary of Indebtedness of any Borrower or any other Subsidiary, provided that (i) the Indebtedness so Guaranteed is permitted by this Section 6.01, (ii) Guarantees by any Borrower or any other Loan Party of Indebtedness of any Subsidiary that is not a Loan Party shall be subject to Section 6.04 and (iii) Guarantees permitted under this clause (d) shall be subordinated to the Secured Obligations on the same terms as the Indebtedness so Guaranteed is subordinated to the Secured Obligations; (e) Indebtedness of any Borrower or any Subsidiary incurred to finance the acquisition, construction or improvement of any fixed or capital assets (whether or not constituting purchase money Indebtedness), including Capital Lease Obligations and any Indebtedness assumed in connection with the acquisition of any such assets or secured by a Lien on any such assets prior to the acquisition thereof, and extensions, renewals and replacements of any such Indebtedness in accordance with clause (f) below; provided that (i) such Indebtedness is incurred prior to or within 90 days after such acquisition or the completion of such construction or improvement and (ii) the aggregate principal amount of Indebtedness permitted by this clause (e) together with any Refinance Indebtedness in respect thereof permitted by clause (f) below, shall not exceed $7,500,000 at any time outstanding; (f) Indebtedness which represents extensions, renewals, refinancing or replacements (such Indebtedness being so extended, renewed, refinanced or replaced being referred to herein as the “Refinance Indebtedness”) of any of the Indebtedness described in clauses (b) and (e) hereof (such Indebtedness being referred to herein as the “Original Indebtedness”); provided that (i) such Refinance Indebtedness does not increase the principal amount or interest rate of the Original


 
57 743955026 Indebtedness, (ii) any Liens securing such Refinance Indebtedness are not extended to any additional property of any Loan Party or any Subsidiary, (iii) no Loan Party or any Subsidiary that is not originally obligated with respect to repayment of such Original Indebtedness is required to become obligated with respect to such Refinance Indebtedness, (iv) such Refinance Indebtedness does not result in a shortening of the average weighted maturity of such Original Indebtedness, (v) the terms of such Refinance Indebtedness are not materially less favorable to the obligor thereunder than the original terms of such Original Indebtedness and (vi) if such Original Indebtedness was subordinated in right of payment to the Secured Obligations, then the terms and conditions of such Refinance Indebtedness must include subordination terms and conditions that are at least as favorable to the Lender as those that were applicable to such Original Indebtedness; (g) Indebtedness owed to any Person providing workers’ compensation, health, disability or other employee benefits or property, casualty or liability insurance, pursuant to reimbursement or indemnification obligations to such Person, in each case incurred in the ordinary course of business; (h) Indebtedness of any Loan Party in respect of performance bonds, bid bonds, appeal bonds, surety bonds and similar obligations, in each case provided in the ordinary course of business; (i) Indebtedness arising from agreements of any Loan Party or any Subsidiary providing for indemnification, adjustment of purchase price or similar obligations in each case entered into in connection with any acquisition, other investment or Asset Sale permitted hereunder; (j) Swap Agreements and commodity hedging agreements, in each case, entered into to protect against fluctuations in interest rates, foreign currency exchange rates or commodity prices and not for speculative purposes; (k) Indebtedness representing deferred compensation to officers, directors or employees of any Loan Party (or any of its Subsidiaries) incurred in the ordinary course of business; (l) Indebtedness in respect of import indemnities or similar instruments in each case provided in the ordinary course of business; (m) Indebtedness representing any Taxes to the extent such Taxes are being contested by the Loan Parties in good faith by appropriate proceedings and adequate reserves are being maintained by the applicable Person in accordance with GAAP; (n) Indebtedness arising as a direct result of judgments, orders, awards or decrees against Holdings or any of its Subsidiaries, in each case not constituting an Event of Default; (o) Contingent Acquisition Consideration obligations incurred pursuant to a Permitted Acquisition, provided that either (i) the aggregate amount thereof does not exceed $3,000,000 in the aggregate (valued at the maximum potential amount payable with respect thereto) at any one time outstanding or (ii) such obligations are subject to a subordination agreement or subordination terms reasonably satisfactory to the Administrative Agent which will provide, among other things, that such obligations are non-interest bearing and such earn-out obligations are subject to annual financial performance targets;


 
58 743955026 (p) Subordinated Indebtedness; as long as immediately before and immediately after giving effect to the incurrence of such Subordinated Indebtedness (A) no Default has or will occurred and be continuing and (B) the Total Leverage Ratio, on a pro forma basis, does not exceed the Total Leverage Ratio permitted under Section 6.12 at such time less 0.50x, for the most recently completed four fiscal quarter period for which financial statements have been delivered to the Lender under the Loan Documents prior to the incurrence of such Subordinated Indebtedness; and (q) other Indebtedness in an aggregate principal amount not exceeding $5,000,000 at any time outstanding. SECTION 6.02.Liens. No Loan Party will, nor will it permit any Subsidiary to, create, incur, assume or permit to exist any Lien on any property or asset now owned or hereafter acquired by it, or assign or sell any income or revenues (including Accounts) or rights in respect of any thereof, except: (a) Liens created pursuant to any Loan Document; (b) Permitted Encumbrances; (c) any Lien on any property or asset of any Borrower or any Subsidiary existing on the date hereof and set forth in Schedule 6.02; provided that (i) such Lien shall not apply to any other property or asset of such Borrower or Subsidiary or any other Borrower or Subsidiary and (ii) such Lien shall secure only those obligations which it secures on the date hereof and extensions, renewals and replacements thereof that do not increase the outstanding principal amount thereof; (d) Liens on fixed or capital assets acquired, constructed or improved by any Borrower or any Subsidiary; provided that (i) such Liens secure Indebtedness permitted by clause (e) of Section 6.01, (ii) such Liens and the Indebtedness secured thereby are incurred prior to or within 90 days after such acquisition or the completion of such construction or improvement, (iii) the Indebtedness secured thereby does not exceed the cost of acquiring, constructing or improving such fixed or capital assets and (iv) such Liens shall not apply to any other property or assets of any Borrower or any Subsidiary; (e) any Lien existing on any property or asset (other than Accounts and Inventory) prior to the acquisition thereof by any Borrower or any Subsidiary or existing on any property or asset (other than Accounts and Inventory) of any Person that becomes a Loan Party after the date hereof prior to the time such Person becomes a Loan Party; provided that (i) such Lien is not created in contemplation of or in connection with such acquisition or such Person becoming a Loan Party, as the case may be, (ii) such Lien shall not apply to any other property or assets of the Loan Party and (iii) such Lien shall secure only those obligations which it secures on the date of such acquisition or the date such Person becomes a Loan Party, as the case may be, and extensions, renewals and replacements thereof that do not increase the outstanding principal amount thereof; (f) Liens of a collecting bank arising in the ordinary course of business under Section 4-210 of the UCC in effect in the relevant jurisdiction covering only the items being collected upon; (g) Liens arising out of Sale and Leaseback Transactions permitted by Section 6.06; (h) Liens granted by a Subsidiary that is not a Loan Party in favor of a Borrower or another Loan Party in respect of Indebtedness owed by such Subsidiary; and


 
59 743955026 (i) Liens securing obligations in an aggregate principal amount not to exceed $3,000,000. SECTION 6.03.Fundamental Changes. (a) No Loan Party will, nor will it permit any Subsidiary to, merge into or consolidate with any other Person, or permit any other Person to merge into or consolidate with it, or otherwise Dispose of all or substantially all/any substantial part of its assets, or all or substantially all of the stock of any of its Subsidiaries (in each case, whether now owned or hereafter acquired), or liquidate, divide or dissolve, except that, if at the time thereof and immediately after giving effect thereto no Event of Default shall have occurred and be continuing, (i) any Subsidiary of any Borrower may merge into a Borrower in a transaction in which a Borrower is the surviving entity, (ii) any Loan Party (other than any Borrower) may merge into any other Loan Party in a transaction in which the surviving entity is a Loan Party and (iii) any Subsidiary that is not a Loan Party may liquidate, divide or dissolve if the Borrowers determine in good faith that such liquidation, division or dissolution is in the best interests of the Borrowers and is not materially disadvantageous to the Lender; provided that any such merger involving a Person that is not a wholly owned Subsidiary immediately prior to such merger shall not be permitted unless also permitted by Section 6.04. (b) No Loan Party will, nor will it permit any Subsidiary to, consummate a Division as the Dividing Person, without the prior written consent of the Lender. Without limiting the foregoing, if any Loan Party that is a limited liability company consummates a Division (with or without the prior consent of Lender as required above), each Division Successor shall be required to comply with the obligations set forth in Section 5.14 and the other further assurances obligations set forth in the Loan Documents and become a Loan Party under this Agreement and the other Loan Documents. (c) No Loan Party will, nor will it permit any Subsidiary to, engage in any business other than businesses of the type conducted by the Borrowers and their Subsidiaries on the date hereof and businesses reasonably related or ancillary thereto and reasonable extensions thereof. (d) No Loan Party will, nor will it permit any Subsidiary to change its fiscal year or any fiscal quarter from the basis in effect on the Effective Date. (e) No Loan Party will change the accounting basis upon which its financial statements are prepared. (f) No Loan Party will change the tax filing elections it has made under the Code. SECTION 6.04.Investments, Loans, Advances, Guarantees and Acquisitions. No Loan Party will, nor will it permit any Subsidiary to, form any subsidiary after the Effective Date, or purchase, hold or acquire (including pursuant to any merger with any Person that was not a Loan Party and a wholly owned Subsidiary prior to such merger) any Equity Interests, evidences of indebtedness or other securities (including any option, warrant or other right to acquire any of the foregoing) of, make or permit to exist any loans or advances to, Guarantee any obligations of, or make or permit to exist any investment or any other interest in, any other Person, or purchase or otherwise acquire (in one transaction or a series of transactions) any assets of any other Person constituting a business unit (whether through purchase of assets, merger or otherwise), except:


 
60 743955026 (a) Permitted Investments, subject to control agreements (beginning on the date that is one hundred eighty (180) days following the Effective Date) in favor of the Lender or otherwise subject to a perfected security interest in favor of the Lender; (b) investments in existence on the date hereof and described in Schedule 6.04 or any extension, refinancing or renewal of such investments, so long as the aggregate amount of all investments pursuant to this clause (b) is not increased at any time above the amount of such investments existing on the date hereof; (c) investments by the Borrowers and the Subsidiaries in Equity Interests in their respective Subsidiaries, provided that (i) any such Equity Interests held by a Loan Party shall be pledged pursuant to the Security Agreement (subject to the limitations applicable to Equity Interests of a foreign Subsidiary referred to in Section 5.14) and (ii) the aggregate amount of investments by Loan Parties in Subsidiaries that are not Loan Parties (together with outstanding intercompany loans permitted under Section 6.04(d) and outstanding Guarantees permitted under Section 6.04(e)) shall not exceed $5,000,000 at any time outstanding (in each case determined without regard to any write-downs or write-offs); (d) loans or advances made by any Loan Party to any Subsidiary and made by any Subsidiary to a Loan Party or any other Subsidiary, provided that (i) any such loans and advances made by a Loan Party shall be evidenced by a promissory note pledged pursuant to the Security Agreement and (ii) the amount of such loans and advances made by Loan Parties to Subsidiaries that are not Loan Parties (together with outstanding investments permitted under Section 6.04(c) and outstanding Guarantees permitted under Section 6.04(e)) shall not exceed $5,000,000 at any time outstanding (in each case determined without regard to any write-downs or write-offs); (e) Guarantees constituting Indebtedness permitted by Section 6.01, provided that the aggregate principal amount of Indebtedness of Subsidiaries that are not Loan Parties that is Guaranteed by any Loan Party (together with outstanding investments permitted under clause (ii) to the proviso to Section 6.04(c) and outstanding intercompany loans permitted under clause (ii) to the proviso to Section 6.04(d)) shall not exceed $5,000,000 at any time outstanding (in each case determined without regard to any write-downs or write-offs); (f) loans or advances made by a Loan Party to its employees on an arms-length basis in the ordinary course of business consistent with past practices for travel and entertainment expenses, relocation costs and similar purposes up to a maximum of $500,000 in the aggregate at any one time outstanding; (g) notes payable, or stock or other securities issued by Account Debtors to a Loan Party pursuant to negotiated agreements with respect to settlement of such Account Debtor’s Accounts in the ordinary course of business, consistent with past practices; (h) investments in the form of Swap Agreements permitted by Section 6.07; (i) investments of any Person existing at the time such Person becomes a Subsidiary of a Borrower or consolidates or merges with a Borrower or any party’s Subsidiary (including in connection with a permitted acquisition), so long as such investments were not made in contemplation of such Person becoming a Subsidiary or of such merger; (j) investments received in connection with the disposition of assets permitted by Section 6.05;


 
61 743955026 (k) investments constituting deposits described in clauses (c), (d) and (g) of the definition of the term “Permitted Encumbrances”; (l) accounts receivable arising and trade credit granted in the ordinary course of business; (m) investments made in the ordinary course of business consisting of negotiable instruments held for collection in the ordinary course of business and lease, utility and other similar deposits in the ordinary course of business; (n) Permitted Acquisitions; and (o) other investments in an aggregate amount not to exceed $2,000,000 at any time outstanding. SECTION 6.05.Asset Sales. No Loan Party will, nor will it permit any Subsidiary to, Dispose of any asset, including any Equity Interest owned by it, nor will any Borrower permit any Subsidiary to issue any additional Equity Interest in such Subsidiary (other than to another Borrower or another Subsidiary in compliance with Section 6.04), except: (a) Dispositions of (i) Inventory in the ordinary course of business and (ii) used, obsolete, worn out or surplus Equipment or property in the ordinary course of business including the abandonment, lapse or other Disposition of intellectual property; (b) Dispositions of assets to any Borrower or any Subsidiary, provided that any such Dispositions involving a Subsidiary that is not a Loan Party shall be made in compliance with Section 6.09; (c) Dispositions of Accounts (excluding sales or dispositions in a factoring arrangement) in connection with the compromise, settlement or collection thereof; (d) Dispositions of Permitted Investments; (e) Sale and Leaseback Transactions permitted by Section 6.06; (f) Dispositions resulting from any casualty or other insured damage to, or any taking under power of eminent domain or by condemnation or similar proceeding of, any property or asset of any Borrower or any Subsidiary; (g) leases, subleases, licenses or sublicenses of real or personal property (including intellectual property) in the ordinary course of business and consistent with past practice; (h) sales, transfers and other Dispositions of property to the extent that (i) such property is exchanged for credit against the purchase price of similar replacement property, or (ii) the proceeds of such disposition are promptly applied to the purchase price of such replacement property; (i) Dispositions constituting the grant of Liens permitted under Section 6.02; (j) Dispositions of assets subject to a casualty or condemnation event; and


 
62 743955026 (k) Dispositions of assets (other than Equity Interests in a Subsidiary unless all Equity Interests in such Subsidiary are sold) that are not permitted by any other clause of this Section, provided that the aggregate fair market value of all assets Disposed of in reliance upon this clause (k) shall not exceed $5,000,000 during any fiscal year of the Company; provided that all leases and Dispositions permitted under this clause (k) shall be made for fair value and for at least 75% cash consideration. SECTION 6.06.Sale and Leaseback Transactions. No Loan Party will, nor will it permit any Subsidiary to, enter into any arrangement, directly or indirectly, whereby it shall sell or transfer any property, real or personal, used or useful in its business, whether now owned or hereafter acquired, and thereafter rent or lease such property or other property that it intends to use for substantially the same purpose or purposes as the property sold or transferred (a “Sale and Leaseback Transaction”), except for any such sale of any fixed or capital assets by any Borrower or any Subsidiary that is made for cash consideration in an amount not less than the fair value of such fixed or capital asset and is consummated within 90 days after such Borrower or such Subsidiary acquires or completes the construction of such fixed or capital asset. SECTION 6.07.Swap Agreements. No Loan Party will, nor will it permit any Subsidiary to, enter into any Swap Agreement, except (a) Swap Agreements entered into to hedge or mitigate risks to which any Borrower or any Subsidiary has actual exposure (other than those in respect of Equity Interests of any Borrower or any Subsidiary), and (b) Swap Agreements entered into in order to effectively cap, collar or exchange interest rates (from floating to fixed rates, from one floating rate to another floating rate or otherwise) with respect to any interest-bearing liability or investment of any Borrower or any Subsidiary. SECTION 6.08.Restricted Payments; Certain Payments of Indebtedness. (a) No Loan Party will, nor will it permit any Subsidiary to, declare or make, or agree to declare or make, directly or indirectly, any Restricted Payment, or incur any obligation (contingent or otherwise) to do so, except: (i) the Borrowers may declare and pay dividends with respect to its common stock payable solely in additional shares of its common stock, and, with respect to its preferred stock, payable solely in additional shares of such preferred stock or in shares of its common stock; (ii) Subsidiaries may declare and pay dividends ratably with respect to their Equity Interests; (iii) the Borrowers may make Restricted Payments, not exceeding $3,000,000 during any fiscal year of the Company, pursuant to and in accordance with stock option plans or other benefit plans for management or employees of the Borrowers and their Subsidiaries; and (iv) the Borrowers may make other Restricted Payments as long as (A) no Default has occurred and is continuing or would immediately result after giving effect to such Restricted Payment and (B) immediately before and immediately after giving effect to such Restricted Payment, the Total Leverage Ratio, on a pro forma basis, does not exceed the Total Leverage Ratio permitted under Section 6.12 at such time less 0.50x, for the most recently completed four fiscal quarter period for which financial statements have been delivered to the Lender under the Loan Documents prior to such Restricted Payment.


 
63 743955026 (b) No Loan Party will, nor will it permit any Subsidiary to, make or agree to pay or make, directly or indirectly, any payment or other distribution (whether in cash, securities or other property) of or in respect of principal of or interest on any Indebtedness, or any payment or other distribution (whether in cash, securities or other property), including any sinking fund or similar deposit, on account of the purchase, redemption, retirement, acquisition, cancellation or termination of any Indebtedness, except: (i) payment of Indebtedness created under the Loan Documents; (ii) payment of regularly scheduled interest and principal payments as and when due in respect of any Indebtedness permitted under Section 6.01, other than payments in respect of the Subordinated Indebtedness prohibited by the subordination provisions thereof; (iii) refinancings of Indebtedness to the extent permitted by Section 6.01; (iv) payment of secured Indebtedness that becomes due as a result of the voluntary sale or transfer of the property or assets securing such Indebtedness to the extent such sale or transfer is permitted by the terms of Section 6.05; (v) the Borrowers may make payments on subordinated Contingent Acquisition Consideration as long as (A) no Default has occurred and is continuing or would immediately result after giving effect to such payment and (B) immediately before and immediately after giving effect to such payment, the Total Leverage Ratio, on a pro forma basis, does not exceed the Total Leverage Ratio permitted under Section 6.12 at such time less 0.50x, for the most recently completed four fiscal quarter period for which financial statements have been delivered to the Lender under the Loan Documents prior to such payment; and (vi) payments of Indebtedness not to exceed $3,000,000 in the aggregate per fiscal year. SECTION 6.09.Transactions with Affiliates. No Loan Party will, nor will it permit any Subsidiary to, sell, lease or otherwise transfer any property or assets to, or purchase, lease or otherwise acquire any property or assets from, or otherwise engage in any other transactions with, any of its Affiliates, except (a) transactions that (i) are in the ordinary course of business and (ii) are at prices and on terms and conditions not less favorable to such Loan Party or such Subsidiary than could be obtained on an arm’s-length basis from unrelated third parties, (b) transactions between or among the Loan Parties not involving any other Affiliate, (c) any investment permitted by Sections 6.04(c) or 6.04(d), (d) any Indebtedness permitted under Section 6.01(c), (e) any Restricted Payment permitted by Section 6.08, (f) loans or advances to employees permitted under Section 6.04(f), (g) the payment of reasonable fees to directors of any Borrower or any Subsidiary who are not employees of such Borrower or any Subsidiary, and compensation and employee benefit arrangements paid to, and indemnities provided for the benefit of, directors, officers or employees of the Borrowers or their Subsidiaries in the ordinary course of business, (h) any issuances of securities or other payments, awards or grants in cash, securities or otherwise pursuant to, or the funding of, employment agreements, stock options and stock ownership plans approved by a Borrower’s board of directors, (i) customary indemnities provided to, and reasonable and customary fees paid to, members of the board of directors of any Loan Parties and (j) customary employment, compensation and severance arrangements for officers and other employees of Loan Parties and their Subsidiaries entered into in the ordinary course of business.


 
64 743955026 SECTION 6.10.Restrictive Agreements. No Loan Party will, nor will it permit any Subsidiary to, directly or indirectly enter into, incur or permit to exist any agreement or other arrangement that prohibits, restricts or imposes any condition upon (a) the ability of such Loan Party or any Subsidiary to create, incur or permit to exist any Lien upon any of its property or assets, or (b) the ability of any Subsidiary to pay dividends or other distributions with respect to any Equity Interests or to make or repay loans or advances to any Borrower or any other Subsidiary or to Guarantee Indebtedness of any Borrower or any other Subsidiary; provided that (i) the foregoing shall not apply to restrictions and conditions imposed by any Requirement of Law or by any Loan Document, (ii) the foregoing shall not apply to restrictions and conditions existing on the date hereof identified on Schedule 6.10 (but shall apply to any extension or renewal of, or any amendment or modification expanding the scope of, any such restriction or condition), (iii) the foregoing shall not apply to customary restrictions and conditions contained in agreements relating to the sale of a Subsidiary pending such sale, provided such restrictions and conditions apply only to the Subsidiary that is to be sold and such sale is permitted hereunder, (iv) clause (a) of the foregoing shall not apply to restrictions or conditions imposed by any agreement relating to secured Indebtedness permitted by this Agreement if such restrictions or conditions apply only to the property or assets securing such Indebtedness, (v) clause (a) of the foregoing shall not apply to customary provisions in leases restricting the assignment thereof, (vi) the foregoing shall not apply to customary provisions restricting assignment or transfer of any agreement entered into in the ordinary course of business, and (vii) the foregoing shall not apply to customary provisions in partnership agreements, limited liability company organizational governance documents, asset sale and stock sale agreements and other similar agreements entered into in the ordinary course of business that restrict the transfer of ownership interests in such partnership, limited liability company or similar person. SECTION 6.11.Amendment of Material Documents. No Loan Party will, nor will it permit any Subsidiary to, amend, modify or waive any of its rights under (a) any agreement relating to any Subordinated Indebtedness, or (b) its charter, articles or certificate of organization or incorporation and bylaws or operating, management or partnership agreement, or other organizational or governing documents, to the extent any such amendment, modification or waiver would be materially adverse to the Lender. SECTION 6.12.Financial Covenants. (a) Total Leverage Ratio. The Borrowers will not permit the Total Leverage Ratio, on the last day of any fiscal quarter (commencing with the fiscal quarter ending December 31, 2021), to be greater than 3.00 to 1.00. (b) Capital Expenditures. The Borrowers will not, nor will it permit any Subsidiary to, incur or make any Capital Expenditures in an aggregate amount to exceed (x) $20,000,000 during the term of this Agreement plus (y) during any period set forth below, an additional amount set forth opposite such period: Fiscal Year ending: Additional Capital Expenditures: December 31, 2021 $6,000,000 December 31, 2022 $20,000,000 December 31, 2023 $8,000,000 December 31, 2024 $18,000,000


 
65 743955026 Fiscal Year ending: Additional Capital Expenditures: December 31, 2025 $13,000,000 December 31, 2026 $10,000,000 The amount of any additional Capital Expenditures permitted to be made in respect of any fiscal year shall be increased by the unused amount of the additional Capital Expenditures that were permitted to be made during any preceding fiscal year pursuant to this Section 6.12(b). ARTICLE VII Events of Default SECTION 7.01. Events of Default. If any of the following events (“Events of Default”) shall occur: (a) the Borrowers shall fail to pay any principal of any Loan or any reimbursement obligation in respect of any LC Disbursement when and as the same shall become due and payable, whether at the due date thereof or at a date fixed for prepayment thereof or otherwise; (b) any Loan Party shall fail to pay any interest on any Loan or any fee or any other amount (other than an amount referred to in clause (a) of this Article) payable under this Agreement or any other Loan Document, when and as the same shall become due and payable and such failure shall continue unremedied for a period of three (3) Business Days; (c) any representation or warranty made or deemed made by or on behalf of any Loan Party or any Subsidiary in, or in connection with, this Agreement or any other Loan Document or any amendment or modification hereof or thereof or waiver hereunder or thereunder, or in any report, certificate, financial statement or other document furnished pursuant to or in connection with this Agreement or any other Loan Document or any amendment or modification hereof or thereof or waiver hereunder or thereunder, shall prove to have been materially incorrect when made or deemed made; (d) any Loan Party shall fail to observe or perform any covenant, condition or agreement contained in Section 5.02(a), 5.03 (with respect to a Loan Party’s existence) or 5.08 or in Article VI; (e) any Loan Party shall fail to observe or perform any covenant, condition or agree- ment contained in this Agreement (other than those specified in clause (a), (b) or (d)) or in any other Loan Document, and such failure shall continue unremedied for a period of (i) five (5) days after the earlier of any Loan Party’s knowledge of such breach or notice thereof from the Lender if such breach relates to terms or provisions of Section 5.01, 5.02 (other than Section 5.02(a)), 5.03 through 5.07, 5.10, 5.11 or 5.13 of this Agreement or (ii) fifteen (15) days after the earlier of any Loan Party’s knowledge of such breach or notice thereof from the Lender if such breach relates to terms or provisions of any other Section of this Agreement or of any other Loan Document; (f) any Loan Party or any Subsidiary shall fail to make any payment (whether of principal or interest and regardless of amount) in respect of any Material Indebtedness, when and


 
66 743955026 as the same shall become due and payable (subject to any grace or cure periods set forth in the terms of such Material Indebtedness); (g) any event or condition occurs that results in any Material Indebtedness becoming due prior to its scheduled maturity or that enables or permits (with or without the giving of notice, the lapse of time or both) the holder or holders of any Material Indebtedness or any trustee or agent on its or their behalf to cause any Material Indebtedness to become due, or to require the prepayment, repurchase, redemption or defeasance thereof, prior to its scheduled maturity; provided that this clause (g) shall not apply to secured Indebtedness that becomes due as a result of the voluntary sale or transfer of the property or assets securing such Indebtedness to the extent such sale or transfer is permitted by the terms of Section 6.05; (h) an involuntary proceeding shall be commenced or an involuntary petition shall be filed seeking (i) liquidation, reorganization or other relief in respect of a Loan Party or any Subsidiary (other than any Immaterial Subsidiary) or its debts, or of a substantial part of its assets, under any federal, state or foreign bankruptcy, insolvency, receivership or similar law now or hereafter in effect or (ii) the appointment of a receiver, trustee, custodian, sequestrator, conservator or similar official for any Loan Party or any Subsidiary (other than any Immaterial Subsidiary) or for a substantial part of its assets, and, in any such case, such proceeding or petition shall continue undismissed for sixty (60) days or an order or decree approving or ordering any of the foregoing shall be entered; (i) any Loan Party or any Subsidiary (other than any Immaterial Subsidiary) shall (i) voluntarily commence any proceeding or file any petition seeking liquidation, reorganization or other relief under any federal, state or foreign bankruptcy, insolvency, receivership or similar law now or hereafter in effect, (ii) consent to the institution of, or fail to contest in a timely and appropriate manner, any proceeding or petition described in clause (h) of this Section 7.01, (iii) apply for or consent to the appointment of a receiver, trustee, custodian, sequestrator, conservator or similar official for such Loan Party or Subsidiary of any Loan Party or for a substan- tial part of its assets, (iv) file an answer admitting the material allegations of a petition filed against it in any such proceeding, (v) make a general assignment for the benefit of creditors or (vi) take any action for the purpose of effecting any of the foregoing; (j) any Loan Party or any Subsidiary (other than any Immaterial Subsidiary) shall become unable, admit in writing its inability, or publicly declare its express intention not to, or fail generally, to pay its debts as they become due; (k) one or more final judgments for the payment of money in an aggregate amount in excess of $2,000,000 shall be rendered against any Loan Party, any Subsidiary or any combination thereof to the extent not covered by insurance or other indemnification and the same shall remain undischarged for a period of thirty (30) consecutive days during which execution shall not be effectively stayed, or any action shall be legally taken by a judgment creditor to attach or levy upon any assets of any Loan Party or any Subsidiary to enforce any such judgment or any Loan Party or any Subsidiary shall fail within thirty (30) days to discharge one or more non-monetary judgments or orders which, individually or in the aggregate, would reasonably be expected to have a Material Adverse Effect, which judgments or orders, in any such case, are not stayed on appeal or otherwise being appropriately contested in good faith by proper proceedings diligently pursued; (l) an ERISA Event shall have occurred that, in the opinion of the Lender, when taken together with all other ERISA Events that have occurred, would reasonably be expected to result in a Material Adverse Effect;


 
67 743955026 (m) a Change in Control shall occur; (n) the occurrence of any “default”, as defined in any Loan Document (other than this Agreement), or the breach of any of the terms or provisions of any Loan Document (other than this Agreement), which default or breach continues beyond any period of grace therein provided; (o) other than pursuant to the terms of the Loan Documents, any Loan Guaranty shall fail to remain (except as a result of any action or inaction by the Lender) in full force or effect or any action shall be taken to discontinue or to assert the invalidity or unenforceability of the Loan Guaranty, or any Guarantor shall fail to comply with any of the terms or provisions of the Loan Guaranty to which it is a party, or any Guarantor shall deny that it has any further liability under the Loan Guaranty to which it is a party, or shall give notice to such effect, including, but not limited to notice of termination delivered pursuant to Section 9.08; (p) except as permitted by the terms of any Collateral Document and to the extent resulting from any action or inaction by the Lender, (i) any Collateral Document shall for any reason fail to create a valid security interest in any Collateral purported to be covered thereby, or (ii) any Lien securing any Secured Obligation shall cease to be a perfected, first priority Lien, in each case, with respect to a material portion of the Collateral; (q) any Collateral Document shall fail to remain in full force or effect or any action shall be taken to discontinue or to assert the invalidity or unenforceability of any Collateral Document; (r) any material provision of any Loan Document for any reason (except as a result of any action or inaction by the Lender) ceases to be valid, binding and enforceable in accordance with its terms (or any Loan Party shall challenge the enforceability of any Loan Document or shall assert in writing, or engage in any action or inaction that evidences its assertion, that any provision of any of the Loan Documents has ceased to be or otherwise is not valid, binding and enforceable in accordance with its terms); or (s) any Loan Party is criminally indicted or convicted under any law that may reasonably be expected to lead to a forfeiture of any property of such Loan Party having a fair market value in excess of $1,000,000; then, and in every such event (other than an event with respect to the Borrowers described in clause (h) or (i) of this Section 7.01), and at any time thereafter during the continuance of such event, the Lender may, by notice to the Borrower Representative, take either or both of the following actions, at the same or different times: (i) terminate the Commitment, whereupon the Commitment shall terminate immediately, (ii) declare the Loans then outstanding to be due and payable in whole (or in part, but ratably as among the Classes of Loans and the Loans of each Class at the time outstanding, in which case any principal not so declared to be due and payable may thereafter be declared to be due and payable), whereupon the principal of the Loans so declared to be due and payable, together with accrued interest thereon and all fees (including, for the avoidance of doubt, any break funding payment) and other obligations of the Borrowers accrued hereunder and under any other Loan Document, shall become due and payable immediately, in each case without presentment, demand, protest or other notice of any kind, all of which are hereby waived by the Borrowers, and (iii) require cash collateral for the LC Exposure in accordance with Section 2.04(h) hereof; and in the case of any event with respect to the Borrowers described in clause (h) or (i) of this Section 7.01, the Commitment shall automatically terminate and the principal of the Loans then outstanding, and cash collateral for the LC Exposure, together with accrued interest thereon


 
68 743955026 and all fees (including, for the avoidance of doubt, any break funding payments) and other obligations of the Borrowers accrued hereunder and under any other Loan Documents, shall automatically become due and payable, in each case without presentment, demand, protest or other notice of any kind, all of which are hereby waived by the Borrowers. Upon the occurrence and during the continuance of an Event of Default, the Lender may increase the rate of interest applicable to the Loans and other Obligations as set forth in this Agreement and exercise any rights and remedies provided to the Lender under the Loan Documents or at law or equity, including all remedies provided under the UCC. ARTICLE VIII Miscellaneous SECTION 8.01.Notices. (a) Except in the case of notices and other communications expressly permitted to be given by telephone (and subject to paragraph (b) below), all notices and other communications provided for herein shall be in writing and shall be delivered by hand or overnight courier service, mailed by certified or registered mail or sent by fax, as follows: (i) if to any Loan Party, to it in care of the Borrower Representative at: Energy Recovery, Inc. 1717 Doolittle Drive San Leandro, CA 94577 Attention: Harsha Tamatam Email: htamatam@energyrecovery.com with a copy to: Mintz, Levin, Cohn, Ferris, Glovsky and Popeo, P.C. 44 Montgomery Street, 36th Floor San Francisco, CA 94104 Attn: Andy Thorpe Email: adthorpe@mintz.com (ii) if to JPMorgan Chase Bank, N.A. at: JPMorgan Chase Bank, N.A. Middle Market Servicing 10 South Dearborn, Floor L2 Suite IL1-1145 Chicago, IL, 60603-2300 Attention: Bryson G. Kelly Email: bryson.g.kelly@chase.com With a copy to: JPMorgan Chase Bank, N.A. 560 Mission St, Floor 04 San Francisco, CA, 94105-2907 Attention: Mark S. Dombrowski


 
69 743955026 Email: mark.s.dombrowski@chase.com And a copy to: Mayer Brown LLP 71 S. Wacker Drive Chicago, IL 60606 Attention: Christopher M. Chubb Email: CChubb@mayerbrown.com All such notices and other communications (i) sent by hand or overnight courier service, or mailed by certified or registered mail shall be deemed to have been given when received, (ii) sent by fax shall be deemed to have been given when sent, provided that if not given during normal business hours for the recipient, such notice or communication shall be deemed to have been given at the opening of business on the next Business Day of the recipient, or (iii) delivered through Electronic Systems, to the extent provided in paragraph (b) below shall be effective as provided in such paragraph. (b) Notices and other communications to the Lender or any Loan Party hereunder may be delivered or furnished by using Electronic Systems pursuant to procedures approved by the Lender; provided that the foregoing shall not apply to notices pursuant to Article II unless otherwise stated or agreed by the Lender. Each of the Lender and the Borrower Representative (on behalf of the Loan Parties) may, in its discretion, agree to accept notices and other communications to it hereunder by using Electronic Systems pursuant to procedures approved by it; provided that approval of such procedures may be limited to particular notices or communications. All such notices and other communications (i) sent to an e-mail address shall be deemed received upon the sender’s receipt of an acknowledgement from the intended recipient (such as by the “return receipt requested” function, as available, return e-mail or other written acknowledgement), provided that if given outside of normal business hours of the recipient, such notice or communication shall be deemed to have been given at the opening of business on the next Business Day for the recipient, and (ii) posted to an Internet or intranet website shall be deemed received upon the deemed receipt by the intended recipient, at its e-mail address as described in the foregoing clause (i), of notification that such notice or communication is available and identifying the website address therefor; provided that, for both clauses (i) and (ii) above, if such notice, e-mail or other communication is not sent during the normal business hours of the recipient, such notice or communication shall be deemed to have been sent at the opening of business on the next Business Day of the recipient. (c) Any party hereto may change its address, facsimile number or e-mail address for notices and other communications hereunder by notice to the other parties hereto. SECTION 8.02.Waivers; Amendments. (a) No failure or delay by the Lender in exercising any right or power hereunder or under any other Loan Document shall operate as a waiver thereof, nor shall any single or partial exercise of any such right or power, or any abandonment or discontinuance of steps to enforce such a right or power, preclude any other or further exercise thereof or the exercise of any other right or power. The rights and remedies of the Lender hereunder and under any other Loan Document are cumulative and are not exclusive of any rights or remedies that they would otherwise have. No waiver of any provision of any Loan Document or consent to any departure by any Loan Party therefrom shall in any event be effective unless the same shall be permitted by paragraph (b) of this


 
70 743955026 Section, and then such waiver or consent shall be effective only in the specific instance and for the purpose for which given. Without limiting the generality of the foregoing, the making of a Loan or issuance of a Letter of Credit shall not be construed as a waiver of any Default, regardless of whether the Lender may have had notice or knowledge of such Default at the time. (b) Subject to Section 2.12(c), neither this Agreement nor any other Loan Document nor any provision hereof or thereof may be waived, amended or modified except (i) in the case of this Agreement, pursuant to an agreement or agreements in writing entered into by the Borrowers and the Lender or (ii) in the case of any other Loan Document, pursuant to an agreement or agreements in writing entered into by the Lender and the Loan Party or Loan Parties that are parties thereto. SECTION 8.03.Expenses; Limitation of Liability; Indemnity. (a) Expenses. The Loan Parties, jointly and severally, shall pay all (i) reasonable and documented out-of-pocket expenses incurred by the Lender and its Affiliates, including the reasonable and documented out-of-pocket fees, charges and disbursements of outside counsel for the Lender (limited to one primary counsel and one local counsel in each reasonably necessary jurisdiction), in connection with the credit facilities provided for herein, the preparation and administration of the Loan Documents and any amendments, modifications or waivers of the provi- sions of the Loan Documents (whether or not the transactions contemplated hereby or thereby shall be consummated), (ii) reasonable and documented out-of-pocket expenses incurred by the Lender in connection with the issuance, amendment, renewal or extension of any Letter of Credit or any demand for payment thereunder and (iii) documented out-of-pocket expenses incurred by the Lender, including the documented out-of-pocket fees, charges and disbursements of outside counsel for the Lender (limited to one primary counsel, one local counsel in each reasonably necessary jurisdiction and one conflict counsel, as necessary), in connection with the enforcement, collection or protection of its rights in connection with the Loan Documents, including its rights under this Section, or in connection with the Loans made or Letters of Credit issued hereunder, including all such documented out-of-pocket expenses incurred during any workout, restructuring or negotiations in respect of such Loans or Letters of Credit. Expenses being reimbursed by the Loan Parties under this Section include, without limiting the generality of the foregoing, fees, costs and expenses incurred in connection with: (i) appraisals and insurance reviews; (ii) field examinations and the preparation of Reports based on the fees charged by a third party retained by the Lender or the internally allocated fees for each Person employed by the Lender with respect to each field examination; (iii) background checks regarding senior management and/or key investors, as deemed necessary or appropriate in the sole discretion of the Lender; (iv) Taxes, fees and other charges for (i) lien and title searches and title insurance and (ii) recording the Mortgages, filing financing statements and continuations, and other actions to perfect, protect, and continue the Lender’s Liens; (v) sums paid or incurred to take any action required of any Loan Party under the Loan Documents that such Loan Party fails to pay or take; and


 
71 743955026 (vi) forwarding loan proceeds, collecting checks and other items of payment, and establishing and maintaining the accounts and lock boxes, and costs and expenses of preserving and protecting the Collateral. (b) Limitation of Liability. To the extent permitted by applicable law (i) neither any Borrower nor any other Loan Party shall assert, and each Borrower and each Loan Party hereby waives, any claim against the Lender and any Related Party of the Lender (each such Person being called a “Lender Related Person”) for any Liabilities arising from the use by others of information or other materials (including, without limitation, any personal data) obtained through telecommunications, electronic or other information transmission systems (including the Internet), and (ii) no party hereto shall assert, and each such party hereby waives, any Liabilities against any other party hereto, on any theory of liability, for special, indirect, consequential or punitive damages (as opposed to direct or actual damages) arising out of, in connection with, or as a result of, this Agreement, any other Loan Document, or any agreement or instrument contemplated hereby or thereby, the Transactions, any Loan or Letter of Credit or the use of the proceeds thereof; provided that, nothing in this Section 8.03(b) shall relieve any Borrower or any other Loan Party of any obligation it may have to indemnify an Indemnitee, as provided in Section 8.03(c), against any special, indirect, consequential or punitive damages asserted against such Indemnitee by a third party. (c) Indemnity. The Loan Parties, jointly and severally, shall indemnify the Lender, and each Related Party of the Lender (each such Person being called an “Indemnitee”) against, and hold each Indemnitee harmless from, any documented out-of-pocket Liabilities and related expenses, including the documented out-of-pocket fees, charges and disbursements of any outside counsel for any Indemnitee (limited to one primary counsel, one local counsel in each reasonably necessary jurisdiction, in each case, for the Indemnitees, taken as a whole and one conflicts counsel), incurred by or asserted against any Indemnitee arising out of, in connection with, or as a result of (i) the execution or delivery of the Loan Documents or any agreement or instrument contemplated thereby, the performance by the parties hereto of their respective obligations thereunder or the consummation of the Transactions or any other transactions contemplated hereby, (ii) any Loan or Letter of Credit or the use of the proceeds therefrom (including any refusal by the Lender to honor a demand for payment under a Letter of Credit if the documents presented in connection with such demand do not strictly comply with the terms of such Letter of Credit), (iii) any actual or alleged presence or Release of Hazardous Materials on or from any property owned or operated by a Loan Party or a Subsidiary, or any Environmental Liability related in any way to a Loan Party or Subsidiary, (iv) the failure of a Loan Party to deliver to the Lender the required receipts or other required documentary evidence with respect to a payment made by such Loan Party for Taxes pursuant to Section 2.15, or (v) any actual or prospective Proceeding relating to any of the foregoing, whether or not such Proceeding is brought by any Loan Party or their respective equity holders, Affiliates, creditors or any other third Person and whether based on contract, tort or any other theory and regardless of whether any Indemnitee is a party thereto; provided that such indemnity shall not, as to any Indemnitee, be available to the extent that such Liabilities or related expenses are (x) determined by a court of competent jurisdiction by final and non-appealable judgment to have resulted from the gross negligence, bad faith or willful misconduct of such Indemnitee or (y) result from a claim brought by any Loan Party against an Indemnitee for breach in bad faith of such Indemnitee’s mutual obligations hereunder or under any other Loan Document, if such Loan Party has obtained a final and nonappealable judgment in its favor on such claim as determined by a court of competent jurisdiction. This Section 8.03(c) shall not apply with respect to Taxes other than any Taxes that represent losses or damages arising from any non-Tax claim.


 
72 743955026 (d) Payments. All amounts due under this Section shall be payable promptly after written demand therefor. SECTION 8.04.Successors and Assigns. (a) The provisions of this Agreement shall be binding upon and inure to the benefit of the parties hereto and their respective successors and assigns permitted hereby (including any Affiliate of the Lender that issues any Letter of Credit), except that no Borrower may assign or otherwise transfer any of its rights or obligations hereunder without the prior written consent of the Lender (and any attempted assignment or transfer by a Borrower without such consent shall be null and void). Nothing in this Agreement, expressed or implied, shall be construed to confer upon any Person (other than the parties hereto, their respective successors and assigns permitted hereby (including any Affiliate of the Lender that issues any Letter of Credit), Participants (to the extent provided in paragraph (c) of this Section) and, to the extent expressly contemplated hereby, the Related Parties of the Lender) any legal or equitable right, remedy or claim under or by reason of this Agreement. (b) The Lender may assign to one or more assignees all or a portion of its rights and obligations under this Agreement (including all or a portion of its Commitment, and the Loans at the time owing to it) to one or more purchasers whether or not related to the Bank with the prior written consent (such consent not to be unreasonably withheld) of the Borrower, provided that, the Borrower shall be deemed to have consented to an assignment unless it shall have objected thereto by written notice to the Lender within five (5) Business Days after having received notice thereof; provided further that no consent of the Borrower shall be required for an assignment to an Affiliate of the Lender, an Approved Fund or, if an Event of Default has occurred and is continuing, any other assignee. The Company shall maintain, or cause to be maintained at its principal office, a copy of each assignment of all or a portion of the rights and obligations under this Agreement (including all or any portion of any Commitment and/or the Loans) by the Lender or any assignee delivered to and accepted by it and a register (the “Register”) for the recordation of the names and addresses of each Lender and the Commitments of, and the principal amount of the Loans (and stated interest thereon) owing to each Lender from time to time. The entries in the Register shall be conclusive and binding for all purposes, absent demonstrable error, and the Borrowers and the Lenders shall treat each Person whose name is recorded in the Register as a Lender hereunder for all purposes of this Agreement. The Register shall be available for inspection by any Lender at any reasonable time and from time to time upon reasonable prior notice. This Section 8.04(b) shall be construed so that the Loans and Commitments are at all times maintained in “registered form” within the meaning of Sections 163(f), 871(h)(2), and 881(c)(2) of the Code. For the purposes of this Section 9.04(b), “Approved Fund” means any Person (other than a natural person) that is engaged in making, purchasing, holding or investing in bank loans and other similar extensions of credit in the ordinary course of its business and that is administered or managed by (a) the Lender, (b) an Affiliate of the Lender or (c) an entity or an Affiliate of an entity that administers or manages the Lender. (c) The Lender may, without the consent of, or notice to, the Borrowers, sell participations to one or more banks or other entities (a “Participant”) in all or a portion of the Lender’s rights and/or obligations under this Agreement (including all or a portion of its Commitment and/or Letters of Credit and/or the Loans owing to it); provided that (i) the Lender’s obligations under this Agreement shall remain unchanged; (ii) the Lender shall remain solely responsible to the other parties hereto for the performance of such obligations; and (iii) the Borrowers shall continue to deal solely and directly with the Lender in connection with the Lender’s


 
73 743955026 rights and obligations under this Agreement. Any agreement or instrument pursuant to which the Lender sells such a participation shall provide that the Lender shall retain the sole right to enforce this Agreement and to approve any amendment, modification or waiver of any provision of this Agreement. Each Borrower agrees that each Participant shall be entitled to the benefits of Sections 2.13, 2.14 and 2.15 (subject to the requirements and limitations therein) to the same extent as if it were the Lender and had acquired its interest by assignment pursuant to paragraph (b) of this Section; provided that such Participant shall not be entitled to receive any greater payment under Section 2.13 or 2.15, with respect to any participation, than its participating Lender would have been entitled to receive, except to the extent such entitlement to receive a greater payment results from a Change in Law that occurs after the Participant acquired the applicable participation. To the extent permitted by law, each Participant also shall be entitled to the benefits of Section 8.08 as though it were the Lender. If the Lender shall sell a participation, it shall, acting solely for this purpose as a non-fiduciary agent of the Borrowers, maintain a register on which it enters the name and address of each Participant and the principal amounts (and stated interest) of each Participant’s interest in the Loans or other obligations under this Agreement or any other Loan Document (the “Participant Register”); provided that the Lender shall have no obligation to disclose all or any portion of the Participant Register (including the identity of any Participant or any information relating to a Participant’s interest in any Commitment, Loans, Letters of Credit or its other obligations under this Agreement or any other Loan Document) to any Person except to the extent that such disclosure is necessary to establish that such Commitment, Loan, Letter of Credit or other obligation is in registered form under Section 5f.103-1(c) of the U.S. Treasury Regulations. The entries in the Participant Register shall be conclusive absent manifest error, and the Lender shall treat each Person whose name is recorded in the Participant Register as the owner of such participation for all purposes of this Agreement notwithstanding any notice to the contrary. (d) The Lender may at any time pledge or assign a security interest in all or any portion of its rights under this Agreement to secure obligations of the Lender, including without limitation any pledge or assignment to secure obligations to a Federal Reserve Bank, and this Section shall not apply to any such pledge or assignment of a security interest; provided that no such pledge or assignment of a security interest shall release the Lender from any of its obligations hereunder or substitute any such pledgee or assignee for the Lender as a party hereto. SECTION 8.05.Survival. All covenants, agreements, representations and warranties made by the Loan Parties in the Loan Documents and in the certificates or other instruments delivered in connection with or pursuant to this Agreement or any other Loan Document shall be considered to have been relied upon by the other parties hereto and shall survive the execution and delivery of the Loan Documents and the making of any Loans and issuance of any Letters of Credit, regardless of any investigation made by any such other party or on its behalf and notwithstanding that the Lender may have had notice or knowledge of any Default or incorrect representation or warranty at the time any credit is extended hereunder, and shall continue in full force and effect as long as the principal of or any accrued interest on any Loan or any fee or any other amount payable under this Agreement is outstanding and unpaid or any Letter of Credit is outstanding and so long as the Commitment has not expired or terminated. The provisions of Sections 2.13, 2.14, 2.15 and Section 8.03 shall survive and remain in full force and effect regardless of the consummation of the transactions contemplated hereby, the repayment of the Loans, the expiration or termination of the Letters of Credit and the Commitment or the termination of this Agreement or any other Loan Document or any provision hereof or thereof. SECTION 8.06.Counterparts; Integration; Effectiveness; Electronic Execution.


 
74 743955026 (a) This Agreement may be executed in counterparts (and by different parties hereto on different counterparts), each of which shall constitute an original, but all of which when taken together shall constitute a single contract. This Agreement, the other Loan Documents and any separate letter agreements with respect to fees payable to the Lender constitute the entire contract among the parties relating to the subject matter hereof and supersede any and all previous agreements and understandings, oral or written, relating to the subject matter hereof. Except as provided in Section 4.01, this Agreement shall become effective when it shall have been executed by the Lender and when the Lender shall have received counterparts hereof which, when taken together, bear the signatures of each of the other parties hereto, and thereafter shall be binding upon and inure to the benefit of the parties hereto and their respective successors and assigns. (b) Delivery of an executed counterpart of a signature page of (x) this Agreement, (y) any other Loan Document and/or (z) any document, amendment, approval, consent, information, notice (including, for the avoidance of doubt, any notice delivered pursuant to Section 8.01), certificate, request, statement, disclosure or authorization related to this Agreement, any other Loan Document and/or the transactions contemplated hereby and/or thereby (each an “Ancillary Document”) that is an Electronic Signature transmitted by telecopy, emailed pdf. or any other electronic means that reproduces an image of an actual executed signature page shall be effective as delivery of a manually executed counterpart of this Agreement, such other Loan Document or such Ancillary Document, as applicable. The words “execution,” “signed,” “signature,” “delivery,” and words of like import in or relating to this Agreement, any other Loan Document and/or any Ancillary Document shall be deemed to include Electronic Signatures, deliveries or the keeping of records in any electronic form (including deliveries by telecopy, emailed pdf. or any other electronic means that reproduces an image of an actual executed signature page), each of which shall be of the same legal effect, validity or enforceability as a manually executed signature, physical delivery thereof or the use of a paper-based recordkeeping system, as the case may be; provided that nothing herein shall require the Lender to accept Electronic Signatures in any form or format without its prior written consent and pursuant to procedures approved by it; provided, further, without limiting the foregoing, (i) to the extent the Lender has agreed to accept any Electronic Signature, the Lender shall be entitled to rely on such Electronic Signature purportedly given by or on behalf of any Borrower or any other Loan Party without further verification thereof and without any obligation to review the appearance or form of any such Electronic Signature and (ii) upon the request of the Lender, any Electronic Signature shall be promptly followed by a manually executed counterpart. Without limiting the generality of the foregoing, each Borrower and each Loan Party hereby (A) agrees that, for all purposes, including without limitation, in connection with any workout, restructuring, enforcement of remedies, bankruptcy proceedings or litigation among the Lender, the Borrowers and the Loan Parties, Electronic Signatures transmitted by telecopy, emailed pdf. or any other electronic means that reproduces an image of an actual executed signature page and/or any electronic images of this Agreement, any other Loan Document and/or any Ancillary Document shall have the same legal effect, validity and enforceability as any paper original, (B) the Lender may, at its option, create one or more copies of this Agreement, any other Loan Document and/or any Ancillary Document in the form of an imaged electronic record in any format, which shall be deemed created in the ordinary course of such Person’s business, and destroy the original paper document (and all such electronic records shall be considered an original for all purposes and shall have the same legal effect, validity and enforceability as a paper record), (C) waives any argument, defense or right to contest the legal effect, validity or enforceability of this Agreement, any other Loan Document and/or any Ancillary Document based solely on the lack of paper original copies of this Agreement, such other Loan Document and/or such Ancillary Document, respectively, including with respect to any signature pages thereto and (D) waives any claim against any Lender-Related Person for any Liabilities arising solely from the Lender’s reliance on or use of Electronic Signatures and/or transmissions by telecopy, emailed pdf. or any


 
75 743955026 other electronic means that reproduces an image of an actual executed signature page, including any Liabilities arising as a result of the failure of any Borrower and/or any Loan Party to use any available security measures in connection with the execution, delivery or transmission of any Electronic Signature. SECTION 8.07.Severability. Any provision of any Loan Document held to be invalid, illegal or unenforceable in any jurisdiction shall, as to such jurisdiction, be ineffective to the extent of such invalidity, illegality or unenforceability without affecting the validity, legality and enforceability of the remaining provisions thereof; and the invalidity of a particular provision in a particular jurisdiction shall not invalidate such provision in any other jurisdiction. SECTION 8.08.Right of Setoff. If an Event of Default shall have occurred and be continuing, the Lender, and each of its Affiliates is hereby authorized at any time and from time to time, to the fullest extent permitted by law, to set off and apply any and all deposits (general or special, time or demand, provisional or final) at any time held and other obligations at any time owing, by the Lender, or any Affiliate to or for the credit or the account of any Loan Party against any and all of the Secured Obligations, irrespective of whether or not the Lender shall have made any demand under this Agreement or any other Loan Document and although such obligations of the Loan Parties may be contingent or unmatured or are owed to a branch office or Affiliate of the Lender different from the branch office or Affiliate holding such deposit or obligated on such indebtedness. The Lender shall notify the Borrower of such set-off or application, provided that any failure to give or any delay in giving such notice shall not affect the validity of any such set-off or application under this Section 8.08. The rights of the Lender under this Section are in addition to other rights and remedies (including other rights of setoff) which the Lender may have. SECTION 8.09.Governing Law; Jurisdiction; Consent to Service of Process. (a) The Loan Documents (other than those containing a contrary express choice of law provision) shall be governed by and construed in accordance with the internal laws of the State of New York, but giving effect to federal laws applicable to national banks. (b) Each of the parties hereto hereby irrevocably and unconditionally submits, for itself and its property, to the nonexclusive jurisdiction of any U.S. federal or New York State court sitting in New York, New York and any appellate court from any thereof, in any action or proceeding arising out of or relating to any Loan Documents, the transactions relating hereto or thereto, or for recognition or enforcement of any judgment, and each of the parties hereto hereby irrevocably and unconditionally agrees that all claims in respect of any such action or proceeding may (and any such claims, cross-claims or third party claims brought against the Lender or any of its Related Parties may only) be heard and determined in such state court or, to the extent permitted by law, in such federal court. Each of the parties hereto agrees that a final judgment in any such action or proceeding shall be conclusive and may be enforced in other jurisdictions by suit on the judgment or in any other manner provided by law. Nothing in this Agreement or any other Loan Document shall affect any right that the Lender may otherwise have to bring any action or proceeding relating to this Agreement or any other Loan Document against any Loan Party or its properties in the courts of any jurisdiction. (c) Each Loan Party hereby irrevocably and unconditionally waives, to the fullest extent it may legally and effectively do so, any objection which it may now or hereafter have to the laying of venue of any suit, action or proceeding arising out of or relating to this Agreement or any other Loan Document in any court referred to in paragraph (b) of this Section. Each of the parties hereto hereby irrevocably waives, to the fullest extent permitted by law, the defense of an inconvenient forum to the maintenance of such action or proceeding in any such court.


 
76 743955026 (d) Each party to this Agreement irrevocably consents to service of process in the manner provided for notices in Section 8.01. Nothing in this Agreement or any other Loan Document will affect the right of any party to this Agreement to serve process in any other manner permitted by law. SECTION 8.10.WAIVER OF JURY TRIAL. EACH PARTY HERETO HEREBY WAIVES, TO THE FULLEST EXTENT PERMITTED BY APPLICABLE LAW, ANY RIGHT IT MAY HAVE TO A TRIAL BY JURY IN ANY LEGAL PROCEEDING DIRECTLY OR INDIRECTLY ARISING OUT OF OR RELATING TO THIS AGREEMENT, ANY OTHER LOAN DOCUMENT OR THE TRANSACTIONS CONTEMPLATED HEREBY OR THEREBY (WHETHER BASED ON CONTRACT, TORT OR ANY OTHER THEORY). EACH PARTY HERETO (A) CERTIFIES THAT NO REPRESENTATIVE OR OTHER AGENT (INCLUDING ANY ATTORNEY) OF ANY OTHER PARTY HAS REPRESENTED, EXPRESSLY OR OTHERWISE, THAT SUCH OTHER PARTY WOULD NOT, IN THE EVENT OF LITIGATION, SEEK TO ENFORCE THE FOREGOING WAIVER AND (B) ACKNOWLEDGES THAT IT AND THE OTHER PARTIES HERETO HAVE BEEN INDUCED TO ENTER INTO THIS AGREEMENT BY, AMONG OTHER THINGS, THE MUTUAL WAIVERS AND CERTIFICATIONS IN THIS SECTION. SECTION 8.11.Headings. Article and Section headings and the Table of Contents used herein are for convenience of reference only, are not part of this Agreement and shall not affect the construction of, or be taken into consideration in interpreting, this Agreement. SECTION 8.12.Confidentiality. The Lender agrees to maintain the confidentiality of the Information (as defined below), except that Information may be disclosed (a) to its and its Affiliates’ directors, officers, employees and agents, including accountants, legal counsel and other advisors (it being understood that the Persons to whom such disclosure is made will be informed of the confidential nature of such Information and will be subject to customary confidentiality obligations of professional practice or who agree to be bound by the terms of this paragraph (or language substantially similar to this paragraph)), (b) to the extent requested by any Governmental Authority (including any self-regulatory authority, such as the National Association of Insurance Commissioners), (c) to the extent required by any Requirement of Law or by any subpoena or similar legal process, (d) to any other party to this Agreement, (e) in connection with the exercise of any remedies hereunder or under any other Loan Document or any suit, action or proceeding relating to this Agreement or any other Loan Document or the enforcement of rights hereunder or thereunder, (f) subject to an agreement containing provisions substantially the same as those of this Section, to (x) any assignee of or Participant in, or any prospective assignee of or Participant in, any of its rights or obligations under this Agreement or (y) any actual or prospective counterparty (or its advisors) to any swap or derivative transaction relating to the Loan Parties and their obligations, (g) with the consent of the Borrower Representative, (h) on a confidential basis to (1) any rating agency in connection with rating the Company or its Subsidiaries or the credit facilities provided for herein or (2) the CUSIP Service Bureau or any similar agency in connection with the issuance and monitoring of identification numbers with respect to the credit facilities provided for herein or (j) to the extent such Information (x) becomes publicly available other than as a result of a breach of this Section or (y) becomes available to the Lender on a non- confidential basis from a source other than the Borrowers. For the purposes of this Section, “Information” means all information received from the Borrowers relating to the Borrowers or their business, other than any such information that is available to the Lender on a non-confidential basis prior to disclosure by the Borrowers; provided that, in the case of information received from the Borrowers after the date hereof, such information is clearly identified at the time of delivery as confidential. Any Person required to maintain the confidentiality of Information as provided in this Section shall be considered to have complied with its obligation to do so if such Person has exercised the same degree of care to maintain the confidentiality of such Information as such Person would accord to its own confidential information.


 
77 743955026 SECTION 8.13.Nonreliance; Violation of Law. The Lender hereby represents that it is not relying on or looking to any margin stock (as defined in Regulation U) for the repayment of the Borrowings provided for herein. Anything contained in this Agreement to the contrary notwithstanding, the Lender shall not be obligated to extend credit to the Borrowers in violation of any Requirement of Law. SECTION 8.14.USA PATRIOT Act. The Lender is subject to the requirements of the USA PATRIOT Act and hereby notifies each Loan Party that pursuant to the requirements of the USA PATRIOT Act, it is required to obtain, verify and record information that identifies such Loan Party, which information includes the name and address of such Loan Party and other information that will allow the Lender to identify such Loan Party in accordance with the USA PATRIOT Act. SECTION 8.15.Disclosure. Each Loan Party, hereby acknowledges and agrees that the Lender and/or its Affiliates from time to time may hold investments in, make other loans to or have other relationships with, any of the Loan Parties and their respective Affiliates. SECTION 8.16.Interest Rate Limitation. Notwithstanding anything herein to the contrary, if at any time the interest rate applicable to any Loan, together with all fees, charges and other amounts which are treated as interest on such Loan under applicable law (collectively the “Charges”), shall exceed the maximum lawful rate (the “Maximum Rate”) which may be contracted for, charged, taken, received or reserved by the Lender holding such Loan in accordance with applicable law, the rate of interest payable in respect of such Loan hereunder, together with all Charges payable in respect thereof, shall be limited to the Maximum Rate and, to the extent lawful, the interest and Charges that would have been payable in respect of such Loan but were not payable as a result of the operation of this Section shall be cumulated and the interest and Charges payable to the Lender in respect of other Loans or periods shall be increased (but not above the Maximum Rate therefor) until such cumulated amount, together with interest thereon at the NYFRB Rate to the date of repayment, shall have been received by the Lender. SECTION 8.17.No Fiduciary Duty, etc. (a) Each Borrower acknowledges and agrees, and acknowledges its Subsidiaries’ understanding, that the Lender will not have any obligations except those obligations expressly set forth herein and in the other Loan Documents and the Lender is acting solely in the capacity of an arm’s length contractual counterparty to the Borrowers with respect to the Loan Documents and the transactions contemplated herein and therein and not as a financial advisor or a fiduciary to, or an agent of, the Borrowers or any other person. Each Borrower agrees that it will not assert any claim against the Lender based on an alleged breach of fiduciary duty by the Lender in connection with this Agreement and the transactions contemplated hereby. Additionally, each Borrower acknowledges and agrees that the Lender is not advising the Borrowers as to any legal, tax, investment, accounting, regulatory or any other matters in any jurisdiction. The Borrowers shall consult with its own advisors concerning such matters and shall be responsible for making its own independent investigation and appraisal of the transactions contemplated herein or in the other Loan Documents, and the Lender shall have no responsibility or liability to any Borrower with respect thereto. (b) Each Borrower further acknowledges and agrees, and acknowledges its Subsidiaries’ understanding, that the Lender, together with its Affiliates, is a full service securities or banking firm engaged in securities trading and brokerage activities as well as providing investment banking and other financial services. In the ordinary course of business, the Lender may provide investment banking and other financial services to, and/or acquire, hold or sell, for its own accounts and the accounts of customers, equity, debt and other securities and financial instruments (including bank loans and other obligations) of, the Borrowers and other companies


 
78 743955026 with which the Borrowers may have commercial or other relationships. With respect to any securities and/or financial instruments so held by the Lender or any of its customers, all rights in respect of such securities and financial instruments, including any voting rights, will be exercised by the holder of the rights, in its sole discretion. (c) In addition, each Borrower acknowledges and agrees, and acknowledges its Subsidiaries’ understanding, that the Lender and its Affiliates may be providing debt financing, equity capital or other services (including financial advisory services) to other companies in respect of which the Borrowers may have conflicting interests regarding the transactions described herein and otherwise. The Lender will not use confidential information obtained from any Borrower by virtue of the transactions contemplated by the Loan Documents or its other relationships with the Borrowers in connection with the performance by the Lender of services for other companies, and the Lender will not furnish any such information to other companies. Each Borrower also acknowledges that the Lender has no obligation to use in connection with the transactions contemplated by the Loan Documents, or to furnish to any Borrower, confidential information obtained from other companies. SECTION 8.18.Marketing Consent. The Borrowers hereby authorize the Lender, at Lender’s sole expense, and without any prior approval by or compensation to the Borrowers, to include the Borrowers’ name and logo in advertising, marketing, tombstones, case studies and training materials, posted on the Internet (including social media), on the Lender’s Intranet, in pitchbooks and materials sent to prospective and existing customers, in newspapers or journals and to give such other publicity to this agreement and any related products and services, as Lender may from time to time determine in its sole discretion. ARTICLE IX Loan Guaranty SECTION 9.01.Guaranty. Each Loan Guarantor (other than those that have delivered a separate Guaranty) hereby agrees that it is jointly and severally liable for, and, as a primary obligor and not merely as surety, absolutely and unconditionally and irrevocably guarantees to the Secured Parties, the prompt payment when due, whether at stated maturity, upon acceleration or otherwise, and at all times thereafter, of the Secured Obligations and all reasonable and documented out-of-pocket costs and expenses, including, without limitation, all court costs and documented out-of-pocket outside counsel fees (limited to one primary counsel and one local counsel in each reasonably necessary jurisdiction) and reasonable and documented out-of-pocket expenses paid or incurred by the Lender in endeavoring to collect all or any part of the Secured Obligations from, or in prosecuting any action against, any Borrower, any Loan Guarantor or any other guarantor of all or any part of the Secured Obligations (such costs and expenses, together with the Secured Obligations, collectively the “Guaranteed Obligations”); provided, however, that the definition of “Guaranteed Obligations” shall not create any guarantee by any Loan Guarantor of (or grant of security interest by any Loan Guarantor to support, as applicable) any Excluded Swap Obligations of such Loan Guarantor for purposes of determining any obligations of any Loan Guarantor). Each Loan Guarantor further agrees that the Guaranteed Obligations may be extended or renewed in whole or in part without notice to or further assent from it, and that it remains bound upon its guarantee notwithstanding any such extension or renewal. All terms of this Loan Guaranty apply to and may be enforced by or on behalf of any domestic or foreign branch or Affiliate of the Lender that extended any portion of the Guaranteed Obligations. SECTION 9.02.Guaranty of Payment. This Loan Guaranty is a guaranty of payment and not of collection. Each Loan Guarantor waives any right to require the Lender to sue any Borrower, any Loan Guarantor, any other guarantor of, or any other Person obligated for, all or any part of the Guaranteed


 
79 743955026 Obligations (each, an “Obligated Party”), or otherwise to enforce its payment against any collateral securing all or any part of the Guaranteed Obligations. SECTION 9.03.No Discharge or Diminishment of Loan Guaranty. (a) Except as otherwise provided for herein, the obligations of each Loan Guarantor hereunder are unconditional and absolute and not subject to any reduction, limitation, impairment or termination for any reason (other than the Payment in Full of the Guaranteed Obligations), including: (i) any claim of waiver, release, extension, renewal, settlement, surrender, alteration or compromise of any of the Guaranteed Obligations, by operation of law or otherwise; (ii) any change in the corporate existence, structure or ownership of any Borrower or any other Obligated Party liable for any of the Guaranteed Obligations; (iii) any insolvency, bankruptcy, reorganization or other similar proceeding affecting any Obligated Party or their assets, or any resulting release or discharge of any obligation of any Obligated Party; or (iv) the existence of any claim, setoff or other rights which any Loan Guarantor may have at any time against any Obligated Party, the Lender or any other Person, whether in connection herewith or in any unrelated transactions. (b) The obligations of each Loan Guarantor hereunder are not subject to any defense or setoff, counterclaim, recoupment or termination whatsoever by reason of the invalidity, illegality or unenforceability of any of the Guaranteed Obligations or otherwise, or any provision of applicable law or regulation purporting to prohibit payment by any Obligated Party, of the Guaranteed Obligations or any part thereof. (c) Further, the obligations of any Loan Guarantor hereunder are not discharged or impaired or otherwise affected by: (i) the failure of the Lender to assert any claim or demand or to enforce any remedy with respect to all or any part of the Guaranteed Obligations; (ii) any waiver or modification of or supplement to any provision of any agreement relating to the Guaranteed Obligations; (iii) any release, non-perfection or invalidity of any indirect or direct security for the obligations of any Borrower for all or any part of the Guaranteed Obligations or any obligations of any other Obligated Party liable for any of the Guaranteed Obligations; (iv) any action or failure to act by the Lender with respect to any collateral securing any part of the Guaranteed Obligations; or (v) any default, failure or delay, willful or otherwise, in the payment or performance of any of the Guaranteed Obligations, or any other circumstance, act, omission or delay that might in any manner or to any extent vary the risk of such Loan Guarantor or that would otherwise operate as a discharge of any Loan Guarantor as a matter of law or equity (other than the Payment in Full of the Guaranteed Obligations). SECTION 9.04.Defenses Waived. To the fullest extent permitted by applicable law, each Loan Guarantor hereby waives any defense based on or arising out of any defense of any Borrower or any Loan Guarantor or the unenforceability of all or any part of the Guaranteed Obligations from any cause, or the cessation from any cause of the liability of any Borrower, any Loan Guarantor or any other Obligated Party, other than the Payment in Full of the Guaranteed Obligations. Without limiting the generality of the foregoing, each Loan Guarantor irrevocably waives acceptance hereof, presentment, demand, protest and, to the fullest extent permitted by law, any notice not provided for herein, as well as any requirement that at any time any action be taken by any Person against any Obligated Party or any other Person. Each Loan Guarantor confirms that it is not a surety under any state law and shall not raise any such law as a defense to its obligations hereunder. The Lender may, at its election, foreclose on any Collateral held by it by one or more judicial or nonjudicial sales, accept an assignment of any such Collateral in lieu of foreclosure or otherwise act or fail to act with respect to any collateral securing all or a part of the Guaranteed Obligations, compromise or adjust any part of the Guaranteed Obligations, make any other accommodation with any Obligated Party or exercise any other right or remedy available to it against any Obligated Party, without


 
80 743955026 affecting or impairing in any way the liability of such Loan Guarantor under this Loan Guaranty, except to the extent the Guaranteed Obligations have been Paid in Full. To the fullest extent permitted by applicable law, each Loan Guarantor waives any defense arising out of any such election even though that election may operate, pursuant to applicable law, to impair or extinguish any right of reimbursement or subrogation or other right or remedy of any Loan Guarantor against any Obligated Party or any security. SECTION 9.05.Rights of Subrogation. No Loan Guarantor will assert any right, claim or cause of action, including, without limitation, a claim of subrogation, contribution or indemnification that it has against any Obligated Party, or any collateral, until the Loan Parties and the Loan Guarantors have fully performed all their obligations to the Lender. SECTION 9.06.Reinstatement; Stay of Acceleration. If at any time any payment of any portion of the Guaranteed Obligations (including a payment effected through exercise of a right of setoff) is rescinded, or must otherwise be restored or returned upon the insolvency, bankruptcy or reorganization of any Borrower or otherwise (including pursuant to any settlement entered into by a Secured Party in its discretion), each Loan Guarantor’s obligations under this Loan Guaranty with respect to that payment shall be reinstated at such time as though the payment had not been made and whether or not the Lender is in possession of this Loan Guaranty. If acceleration of the time for payment of any of the Guaranteed Obligations is stayed upon the insolvency, bankruptcy or reorganization of any Borrower, all such amounts otherwise subject to acceleration under the terms of any agreement relating to the Guaranteed Obligations shall nonetheless be payable by the Loan Guarantors forthwith on demand by the Lender. SECTION 9.07.Information. Each Loan Guarantor assumes all responsibility for being and keeping itself informed of the Borrowers’ financial condition and assets, and of all other circumstances bearing upon the risk of nonpayment of the Guaranteed Obligations and the nature, scope and extent of the risks that each Loan Guarantor assumes and incurs under this Loan Guaranty, and agrees that the Lender shall not have any duty to advise any Loan Guarantor of information known to it regarding those circumstances or risks. SECTION 9.08.Termination. The Lender may continue to make loans or extend credit to the Borrowers based on this Loan Guaranty until five (5) days after it receives written notice of termination from any Loan Guarantor. Notwithstanding receipt of any such notice, each Loan Guarantor will continue to be liable to the Lender for any Guaranteed Obligations created, assumed or committed to prior to the fifth day after receipt of the notice, and all subsequent renewals, extensions, modifications and amendments with respect to, or substitutions for, all or any part of such Guaranteed Obligations. Nothing in this Section 9.08 shall be deemed to constitute a waiver of, or eliminate, limit, reduce or otherwise impair any rights or remedies the Lender may have in respect of, any Default or Event of Default that shall exist under Section 7.01 hereof as a result of any such notice of termination. SECTION 9.09.Taxes. Each payment of the Guaranteed Obligations will be made by each Loan Guarantor without withholding for any Taxes, unless such withholding is required by law. If any Loan Guarantor determines, in its sole discretion exercised in good faith, that it is so required to withhold Taxes, then such Loan Guarantor may so withhold and shall timely pay the full amount of withheld Taxes to the relevant Governmental Authority in accordance with applicable law. If such Taxes are Indemnified Taxes, then the amount payable by such Loan Guarantor shall be increased as necessary so that, net of such withholding (including such withholding applicable to additional amounts payable under this Section), the Lender receives the amount it would have received had no such withholding been made. SECTION 9.10.Maximum Liability. Notwithstanding any other provision of this Loan Guaranty, the amount guaranteed by each Loan Guarantor hereunder shall be limited to the extent, if any, required so that its obligations hereunder shall not be subject to avoidance under Section 548 of the Bankruptcy Code


 
81 743955026 or under any applicable state Uniform Fraudulent Transfer Act, Uniform Fraudulent Conveyance Act, Uniform Voidable Transactions Act or similar statute or common law. In determining the limitations, if any, on the amount of any Loan Guarantor’s obligations hereunder pursuant to the preceding sentence, it is the intention of the parties hereto that any rights of subrogation, indemnification or contribution which such Loan Guarantor may have under this Loan Guaranty, any other agreement or applicable law shall be taken into account. SECTION 9.11.Contribution. (a) To the extent that any Loan Guarantor shall make a payment under this Loan Guaranty (a “Guarantor Payment”) which, taking into account all other Guarantor Payments then previously or concurrently made by any other Loan Guarantor, exceeds the amount which otherwise would have been paid by or attributable to such Loan Guarantor if each Loan Guarantor had paid the aggregate Guaranteed Obligations satisfied by such Guarantor Payment in the same proportion as such Loan Guarantor’s “Allocable Amount” (as defined below) (as determined immediately prior to such Guarantor Payment) bore to the aggregate Allocable Amounts of each of the Loan Guarantors as determined immediately prior to the making of such Guarantor Payment, then, following payment in full in cash of the Guarantor Payment, the Payment in Full of the Guaranteed Obligations and the termination of this Agreement, such Loan Guarantor shall be entitled to receive contribution and indemnification payments from, and be reimbursed by, each other Loan Guarantor for the amount of such excess, pro rata based upon their respective Allocable Amounts in effect immediately prior to such Guarantor Payment. (b) As of any date of determination, the “Allocable Amount” of any Loan Guarantor shall be equal to the excess of the fair saleable value of the property of such Loan Guarantor over the total liabilities of such Loan Guarantor (including the maximum amount reasonably expected to become due in respect of contingent liabilities, calculated, without duplication, assuming each other Loan Guarantor that is also liable for such contingent liability pays its ratable share thereof), giving effect to all payments made by other Loan Guarantors as of such date in a manner to maximize the amount of such contributions. (c) This Section 9.11 is intended only to define the relative rights of the Loan Guarantors, and nothing set forth in this Section 9.11 is intended to or shall impair the obligations of the Loan Guarantors, jointly and severally, to pay any amounts as and when the same shall become due and payable in accordance with the terms of this Loan Guaranty. (d) The parties hereto acknowledge that the rights of contribution and indemnification hereunder shall constitute assets of the Loan Guarantor or Loan Guarantors to which such contribution and indemnification is owing. (e) The rights of the indemnifying Loan Guarantors against other Loan Guarantors under this Section 9.11 shall be exercisable upon the Payment in Full of the Guaranteed Obligations and the termination of this Agreement. SECTION 9.12.Liability Cumulative. The liability of each Loan Party as a Loan Guarantor under this Article IX is in addition to and shall be cumulative with all liabilities of each Loan Party to the Lender under this Agreement and the other Loan Documents to which such Loan Party is a party or in respect of any obligations or liabilities of the other Loan Parties, without any limitation as to amount, unless the instrument or agreement evidencing or creating such other liability specifically provides to the contrary.


 
82 743955026 SECTION 9.13.Keepwell. Each Qualified ECP Guarantor hereby jointly and severally absolutely, unconditionally and irrevocably undertakes to provide such funds or other support as may be needed from time to time by each other Loan Party to honor all of its obligations under this Guarantee in respect of a Swap Obligation (provided, however, that each Qualified ECP Guarantor shall only be liable under this Section 9.13 for the maximum amount of such liability that can be hereby incurred without rendering its obligations under this Section 9.13 or otherwise under this Loan Guaranty voidable under applicable law relating to fraudulent conveyance or fraudulent transfer, and not for any greater amount). Except as otherwise provided herein, the obligations of each Qualified ECP Guarantor under this Section 9.13 shall remain in full force and effect until the termination of all Swap Obligations. Each Qualified ECP Guarantor intends that this Section 9.13 constitute, and this Section 9.13 shall be deemed to constitute, a “keepwell, support, or other agreement” for the benefit of each other Loan Party for all purposes of Section 1a(18)(A)(v)(II) of the Commodity Exchange Act. ARTICLE X The Borrower Representative. SECTION 10.01. Appointment; Nature of Relationship. Energy Recovery, Inc. is hereby appointed by each of the Borrowers as its contractual representative (herein referred to as the “Borrower Representative” hereunder and under each other Loan Document, and each of the Borrowers irrevocably authorizes the Borrower Representative to act as the contractual representative of such Borrower with the rights and duties expressly set forth herein and in the other Loan Documents. The Borrower Representative agrees to act as such contractual representative upon the express conditions contained in this Article X. Additionally, the Borrowers hereby appoint the Borrower Representative as their agent to receive all of the proceeds of the Loans in the Funding Account(s), at which time the Borrower Representative shall promptly disburse such Loans to the appropriate Borrower(s), provided that, in the case of a Revolving Loan, such amount shall not exceed Availability. The Lender, and its respective officers, directors, agents or employees, shall not be liable to the Borrower Representative or any Borrower for any action taken or omitted to be taken by the Borrower Representative or the Borrowers pursuant to this Section 10.01. SECTION 10.02. Powers. The Borrower Representative shall have and may exercise such powers under the Loan Documents as are specifically delegated to the Borrower Representative by the terms of each thereof, together with such powers as are reasonably incidental thereto. The Borrower Representative shall have no implied duties to the Borrowers, or any obligation to the Lender to take any action thereunder except any action specifically provided by the Loan Documents to be taken by the Borrower Representative. SECTION 10.03. Employment of Agents. The Borrower Representative may execute any of its duties as the Borrower Representative hereunder and under any other Loan Document by or through authorized officers. SECTION 10.04. Notices. Each Borrower shall immediately notify the Borrower Representative of the occurrence of any Default or Event of Default hereunder, refer to this Agreement, describe such Default or Event of Default, and state that such notice is a “notice of default”. In the event that the Borrower Representative receives such a notice, the Borrower Representative shall give prompt notice thereof to the Lender. Any notice provided to the Borrower Representative hereunder shall constitute notice to each Borrower on the date received by the Borrower Representative. SECTION 10.05. Successor Borrower Representative. Upon the prior written consent of the Lender, the Borrower Representative may resign at any time, such resignation to be effective upon the appointment of a successor Borrower Representative.


 
83 743955026 SECTION 10.06. Execution of Loan Documents; Borrowing Base Certificate. The Borrowers hereby empower and authorize the Borrower Representative, on behalf of the Borrowers, to execute and deliver to the Lender the Loan Documents and all related agreements, certificates, documents, or instruments as shall be necessary or appropriate to effect the purposes of the Loan Documents, including the Compliance Certificates. Each Borrower agrees that any action taken by the Borrower Representative or the Borrowers in accordance with the terms of this Agreement or the other Loan Documents, and the exercise by the Borrower Representative of its powers set forth therein or herein, together with such other powers that are reasonably incidental thereto, shall be binding upon all of the Borrowers. SECTION 10.07. Reporting. Each Borrower hereby agrees that such Borrower shall furnish promptly after each fiscal month to the Borrower Representative a copy of its Borrowing Base Certificate and any other certificate or report required hereunder or requested by the Borrower Representative on which the Borrower Representative shall rely to prepare the Compliance Certificates required pursuant to the provisions of this Agreement. [Signatures Immediately Follow]


 


 


 
SCHEDULE 3.05 Properties etc. Real Property (Leased): 1. 1717 Doolittle Drive and 2250 Williams Street, San Leandro, California 94577. 2. 2000 N. Chabot Court, Tracy, California 95376. 3. 25430 Clay Road, Katy, Texas 77493. Patent Registrations and Applications: Patent # App. No. Title Jurisdiction Owner of Record ERI Reference 9,945,216 14/505,885 FRAC SYSTEM WITH HYDRAULIC ENERGY TRANSFER SYSTEM UNITED STATES ENERGY RECOVERY, INC. ERI:10 10,767,457 15/935,478 FRAC SYSTEM WITH HYDRAULIC ENERGY TRANSFER SYSTEM UNITED STATES ENERGY RECOVERY, INC. ERI:10-1 17/013,318 FRAC SYSTEM WITH HYDRAULIC ENERGY TRANSFER SYSTEM UNITED STATES ENERGY RECOVERY, INC. ERI:10-2 17/152,612 HYDRAULIC ENERGY TRANSFER SYSTEM WITH FLUID MIXING REDUCTION UNITED STATES ENERGY RECOVERY, INC. ERI:10-3 2014331601 2014331601 Isobaric pressure exchanger protection for hydraulic fracturing fluid pumps AUSTRALIA ENERGY RECOVERY, INC. ERI:10AU 2,932,691 2,932,691 Isobaric pressure exchanger protection for hydraulic fracturing fluid pumps CANADA ENERGY RECOVERY, INC. ERI:10CA 3052814 14787331.9 ISOBARIC PRESSURE EXCHANGER PROTECTION FOR HYDRAULIC FRACTURING FLUID PUMPS SWITZERLAND ENERGY RECOVERY, INC. ERI:10CH 106103890 201480066042.3 ISOBARIC PRESSURE EXCHANGER PROTECTION FOR HYDRAULIC FRACTURING FLUID PUMPS CHINA ENERGY RECOVERY, INC. ERI:10CN 3052814 14787331.9 ISOBARIC PRESSURE EXCHANGER PROTECTION FOR HYDRAULIC FRACTURING FLUID PUMPS DENMARK ENERGY RECOVERY, INC. ERI:10DK 3052814 14787331.9 ISOBARIC PRESSURE EXCHANGER PROTECTION FOR HYDRAULIC FRACTURING FLUID PUMPS EUROPEAN PATENT CONVENT ENERGY RECOVERY, INC. ERI:10EP 3052814 14787331.9 ISOBARIC PRESSURE EXCHANGER PROTECTION FOR HYDRAULIC FRACTURING FLUID PUMPS UNITED KINGDOM ENERGY RECOVERY, INC. ERI:10GB 370550 MX/a/2016/00430 7 Isobaric pressure exchanger protection for hydraulic fracturing fluid pumps MEXICO ENERGY RECOVERY, INC. ERI:10MX MX/a/2019/00967 2 Isobaric pressure exchanger protection for hydraulic fracturing fluid pumps MEXICO ENERGY RECOVERY, INC. ERI:10MX-1 3052814 14787331.9 ISOBARIC PRESSURE EXCHANGER PROTECTION FOR HYDRAULIC FRACTURING FLUID PUMPS NORWAY ENERGY RECOVERY, INC. ERI:10NO


 
3052814 14787331.9 ISOBARIC PRESSURE EXCHANGER PROTECTION FOR HYDRAULIC FRACTURING FLUID PUMPS POLAND ENERGY RECOVERY, INC. ERI:10PL RU2642191C2 2016117063 Isobaric pressure exchanger protection for hydraulic fracturing fluid pumps RUSSIA ENERGY RECOVERY, INC. ERI:10RU 9,835,018 14/586,545 Rotary isobaric pressure exchanger system with lubrication system UNITED STATES ENERGY RECOVERY, INC. ERI:11 10,669,831 15/830,908 ROTARY ISOBARIC PRESSURE EXCHANGER SYSTEM WITH LUBRICATION SYSTEM UNITED STATES ENERGY RECOVERY, INC. ERI:11-1 373256 MX/a/2016/00856 0 ROTARY ISOBARIC PRESSURE EXCHANGER SYSTEM WITH LUBRICATION MEXICO ENERGY RECOVERY, INC. ERI:11MX 9,739,128 14/586,565 Rotary isobaric pressure exchanger system with flush system UNITED STATES ENERGY RECOVERY, INC. ERI:12 10,167,712 15/670,590 ROTARY ISOBARIC PRESSURE EXCHANGER SYSTEM WITH FLUSH SYSTEM UNITED STATES ENERGY RECOVERY, INC. ERI:12-1 10,167,710 14/684,118 PRESSURE EXCHANGE SYSTEM WITH MOTOR SYSTEM UNITED STATES ENERGY RECOVERY, INC. ERI:13 2015243195 2015243195 PRESSURE EXCHANGE SYSTEM WITH MOTOR SYSTEM AUSTRALIA ENERGY RECOVERY, INC. ERI:13AU 2,944,791 2,944,791 PRESSURE EXCHANGE SYSTEM WITH MOTOR SYSTEM CANADA ENERGY RECOVERY, INC. ERI:13CA ZL 201580029506.8 201580029506.8 PRESSURE EXCHANGE SYSTEM WITH MOTOR SYSTEM CHINA ENERGY RECOVERY, INC. ERI:13CN 3129659 15719357.4 PRESSURE EXCHANGE SYSTEM WITH MOTOR SYSTEM DENMARK ENERGY RECOVERY, INC. ERI:13D 602015066620.8 15719357.4 PRESSURE EXCHANGE SYSTEM WITH MOTOR SYSTEM GERMANY ENERGY RECOVERY, INC. ERI:13DE 3129659 15719357.4 PRESSURE EXCHANGE SYSTEM WITH MOTOR SYSTEM EUROPEAN PATENT CONVENT ENERGY RECOVERY, INC. ERI:13EP 3129659 15719357.4 PRESSURE EXCHANGE SYSTEM WITH MOTOR SYSTEM FRANCE ENERGY RECOVERY, INC. ERI:13FR 6420363 2016-561610 PRESSURE EXCHANGE SYSTEM WITH MOTOR SYSTEM JAPAN ENERGY RECOVERY, INC. ERI:13JP MX/a/2016/01332 0 PRESSURE EXCHANGE SYSTEM WITH MOTOR SYSTEM MEXICO ENERGY RECOVERY, INC. ERI:13MX 9,695,795 13/450,794 Pressure Exchange Noise Reduction UNITED STATES ENERGY RECOVERY, INC. ERI:15 2850285 13779074.7 Pressure Exchange Noise Reduction SWITZERLAND ENERGY RECOVERY, INC. ERI:15CH ZL201380032337. 4 201380032337.4 Pressure Exchange Noise Reduction CHINA ENERGY RECOVERY, INC. ERI:15CN 2850285 13779074.7 Pressure Exchange Noise Reduction DENMARK ENERGY RECOVERY, INC. ERI:15DK


 
2850285 13779074.7 Pressure Exchange Noise Reduction EUROPEAN PATENT CONVENT ENERGY RECOVERY, INC. ERI:15EP 2850285 13779074.7 Pressure Exchange Noise Reduction SPAIN ENERGY RECOVERY, INC. ERI:15ES 1772103 2014-7032474 Pressure Exchange Noise Reduction SOUTH KOREA ENERGY RECOVERY, INC. ERI:15KR 8,742,604 13/489,708 SYSTEMS AND METHODS FOR COMBINED FLOW CONTROL AND ELECTRICITY GENERATION UNITED STATES ENERGY RECOVERY, INC. ERI:16 1211021/270 001679-2011 Efficient Methods for Operation with High Pressure Liquids PERU ENERGY RECOVERY, INC. ERI:17PE 8,075,281 12/407,649 ROTARY PRESSURE TRANSFER DEVICE UNITED STATES ENERGY RECOVERY, INC. ERI:18 302/2009 Rotary Pressure Transfer Device UNITED ARAB EMR ENERGY RECOVERY, INC. ERI:18AE 38/2009 Rotary Pressure Transfer Device BAHRAIN ENERGY RECOVERY, INC. ERI:18BH 2076678 07843320.8 Rotary Pressure Transfer Device SWITZERLAND ENERGY RECOVERY, INC. ERI:18CH ZL 20078003740 200780037402.7 Rotary Pressure Transfer Device CHINA ENERGY RECOVERY, INC. ERI:18CN 2076678 07843320.8 Rotary Pressure Transfer Device DENMARK ENERGY RECOVERY, INC. ERI:18DK 1211021/275 Rotary Pressure Transfer Device EGYPT ENERGY RECOVERY, INC. ERI:18EG 2076678 07843320.8 Rotary Pressure Transfer Device EUROPEAN PATENT CONVENT ENERGY RECOVERY, INC. ERI:18EP 2076678 07843320.8 Rotary Pressure Transfer Device SPAIN ENERGY RECOVERY, INC. ERI:18ES 2076678 07843320.8 Rotary Pressure Transfer Device FRANCE ENERGY RECOVERY, INC. ERI:18FR 2076678 07843320.8 Rotary Pressure Transfer Device UNITED KINGDOM ENERGY RECOVERY, INC. ERI:18GB 197798 197798 Rotary Pressure Transfer Device ISRAEL ENERGY RECOVERY, INC. ERI:18IL 306747 2326/CHENP/200 9 Rotary Pressure Transfer Device INDIA ENERGY RECOVERY, INC. ERI:18IN 1506718 2009-7009052 Rotary Pressure Transfer Device SOUTH KOREA ENERGY RECOVERY, INC. ERI:18KR 343320 20091581 Rotary Pressure Transfer Device NORWAY ENERGY RECOVERY, INC. ERI:18NO 193872 201306788-9 Rotary Pressure Transfer Device SINGAPORE ENERGY RECOVERY, INC. ERI:18SG-1


 
7,997,853 12/754,013 Rotary pressure transfer device with improved flow UNITED STATES ENERGY RECOVERY, INC. ERI:20 413/2010 Rotary Pressure Transfer Device with Improved Flow UNITED ARAB EMR ENERGY RECOVERY, INC. ERI:20AE N/A Rotary Pressure Transfer Device with Improved Flow AUSTRALIA ENERGY RECOVERY, INC. ERI:20AU ZL 20088011107 200880111074.5 Rotary Pressure Transfer Device with Improved Flow CHINA ENERGY RECOVERY, INC. ERI:20CN N/A Rotary Pressure Transfer Device with Improved Flow EGYPT ENERGY RECOVERY, INC. ERI:20EG 2383394 201090014 Rotary Pressure Transfer Device with Improved Flow SPAIN ENERGY RECOVERY, INC. ERI:20ES 204758 204758 Rotary Pressure Transfer Device with Improved Flow ISRAEL ENERGY RECOVERY, INC. ERI:20IL 323659 1825/CHENP/201 0 Rotary Pressure Transfer Device with Improved Flow INDIA ENERGY RECOVERY, INC. ERI:20IN 1501979 2010-7009751 Rotary Pressure Transfer Device with Improved Flow SOUTH KOREA ENERGY RECOVERY, INC. ERI:20KR PA 52/2009 PA 52/2009 Rotary Pressure Transfer Device with Improved Flow KUWAIT ENERGY RECOVERY, INC. ERI:20KW 314567 MX/a/2010/00366 1 Rotary Pressure Transfer Device with Improved Flow MEXICO ENERGY RECOVERY, INC. ERI:20MX 3237 109300206 Rotary Pressure Transfer Device with Improved Flow SAUDI ARABIA ENERGY RECOVERY, INC. ERI:20SA 160101 201002113-7 Rotary Pressure Transfer Device with Improved Flow SINGAPORE ENERGY RECOVERY, INC. ERI:20SG 7,871,522 12/268,225 HYBRID RO/PRO SYSTEM UNITED STATES ENERGY RECOVERY, INC. ERI:22 7,201,557 11/120,387 ROTARY PRESSURE EXCHANGER UNITED STATES ENERGY RECOVERY, INC. ERI:23 RE42,432 12/237,275 ROTARY PRESSURE EXCHANGER UNITED STATES ENERGY RECOVERY, INC. ERI:23-1 1719920 06008882.0 ROTARY PRESSURE EXCHANGER SWITZERLAND ENERGY RECOVERY, INC. ERI:23CH 1719920 06008882.0 ROTARY PRESSURE EXCHANGER GERMANY ENERGY RECOVERY, INC. ERI:23DE 1719920 06008882.0 ROTARY PRESSURE EXCHANGER DENMARK ENERGY RECOVERY, INC. ERI:23DK 1719920 06008882.0 ROTARY PRESSURE EXCHANGER EUROPEAN PATENT CONVENT ENERGY RECOVERY, INC. ERI:23EP 1719920 06008882.0 ROTARY PRESSURE EXCHANGER SPAIN ENERGY RECOVERY, INC. ERI:23ES


 
1719920 06008882.0 ROTARY PRESSURE EXCHANGER FRANCE ENERGY RECOVERY, INC. ERI:23FR 1719920 06008882.0 ROTARY PRESSURE EXCHANGER UNITED KINGDOM ENERGY RECOVERY, INC. ERI:23GB 1719920 06008882.0 ROTARY PRESSURE EXCHANGER NETHERLANDS ENERGY RECOVERY, INC. ERI:23NL 10,138,907 13/518,850 ROTARY ENERGY RECOVERY DEVICE UNITED STATES ENERGY RECOVERY, INC. ERI:26 2516954 10840017.7 ROTARY ENERGY RECOVERY DEVICE SWITZERLAND ENERGY RECOVERY, INC. ERI:26CH ZL201080062845 201080062845.3 ROTARY ENERGY RECOVERY DEVICE CHINA ENERGY RECOVERY, INC. ERI:26CN 602010063495.7 10840017.7 ROTARY ENERGY RECOVERY DEVICE GERMANY ENERGY RECOVERY, INC. ERI:26DE 2516954 10840017.7 ROTARY ENERGY RECOVERY DEVICE DENMARK ENERGY RECOVERY, INC. ERI:26DK 2516954 10840017.7 ROTARY ENERGY RECOVERY DEVICE EUROPEAN PATENT CONVENT ENERGY RECOVERY, INC. ERI:26EP 1813259 2012-7018907 ROTARY ENERGY RECOVERY DEVICE SOUTH KOREA ENERGY RECOVERY, INC. ERI:26KR 8,834,028 13/335,102 DEBRIS RESISTANT THRUST BEARING ASSEMBLY FOR HIGH SPEED HYDRAULIC CENTRIFUGAL TURBINES AND PUMPS UNITED STATES ENERGY RECOVERY, INC. ERI:3 9,683,574 14/468,989 DEBRIS RESISTANT THRUST BEARING ASSEMBLY FOR HIGH SPEED HYDRAULIC CENTRIFUGAL TURBINES AND PUMPS UNITED STATES ENERGY RECOVERY, INC. ERI:3-1 9,759,054 14/797,953 SYSTEM AND METHOD FOR UTILIZING INTEGRATED PRESSURE EXCHANGE MANIFOLD IN HYDRAULIC FRACTURING UNITED STATES ENERGY RECOVERY, INC. ERI:35 2,956,574 2,956,574 SYSTEM AND METHOD FOR FLUID HANDLING CANADA ENERGY RECOVERY, INC. ERI:35CA MX/a/2017/00133 5 SYSTEM AND METHOD FOR FLUID HANDLING MEXICO ENERGY RECOVERY, INC. ERI:35MX 11,047,398 14/818,219 SYSTEMS AND METHODS FOR REPAIRING FLUID HANDLING EQUIPMENT UNITED STATES ENERGY RECOVERY, INC. ERI:39 17/329,733 SYSTEMS AND METHODS FOR REPAIRING FLUID HANDLING EQUIPMENT UNITED STATES ENERGY RECOVERY, INC. ERI:39D 15753261.5 SYSTEMS AND METHODS FOR REPAIRING FLUID HANDLING EQUIPMENT DENMARK ENERGY RECOVERY, INC. ERI:39DK 15753261.5 SYSTEMS AND METHODS FOR REPAIRING FLUID HANDLING EQUIPMENT EUROPEAN PATENT CONVENT ENERGY RECOVERY, INC. ERI:39EP 10,119,379 14/813,850 PRESSURE EXCHANGE SYSTEM WITH MOTOR SYSTEM UNITED STATES ENERGY RECOVERY, INC. ERI:45 2015296085 2015296085 PRESSURE EXCHANGE SYSTEM WITH MOTOR SYSTEM AUSTRALIA ENERGY RECOVERY, INC. ERI:45AU


 
2,956,819 2,956,819 PRESSURE EXCHANGE SYSTEM WITH MOTOR SYSTEM CANADA ENERGY RECOVERY, INC. ERI:45CA 107076172 201580051507.2 PRESSURE EXCHANGE SYSTEM WITH MOTOR SYSTEM CHINA ENERGY RECOVERY, INC. ERI:45CN 3175122 15756707.4 PRESSURE EXCHANGE SYSTEM WITH MOTOR SYSTEM DENMARK ENERGY RECOVERY, INC. ERI:45DK 3175122 15756707.4 PRESSURE EXCHANGE SYSTEM WITH MOTOR SYSTEM EUROPEAN PATENT CONVENT ENERGY RECOVERY, INC. ERI:45EP MX/a/2017/00133 7 PRESSURE EXCHANGE SYSTEM WITH MOTOR SYSTEM MEXICO ENERGY RECOVERY, INC. ERI:45MX 2655434 2017106274 PRESSURE EXCHANGE SYSTEM WITH MOTOR SYSTEM RUSSIA ENERGY RECOVERY, INC. ERI:45RU 7593 517380807 PRESSURE EXCHANGE SYSTEM WITH MOTOR SYSTEM SAUDI ARABIA ENERGY RECOVERY, INC. ERI:45SA 9,945,210 14/819,229 PRESSURE EXCHANGER SYSTEM WITH INTEGRAL PRESSURE BALANCING SYSTEM UNITED STATES ENERGY RECOVERY, INC. ERI:48 10,323,485 15/914,144 PRESSURE EXCHANGER SYSTEM WITH INTEGRAL PRESSURE BALANCING SYSTEM UNITED STATES ENERGY RECOVERY, INC. ERI:48-1 9,604,889 14/074,530 ISOBARIC PRESSURE EXCHANGER IN AMINE GAS PROCESSING UNITED STATES ENERGY RECOVERY, INC. ERI:5 9,976,573 14/819,008 SYSTEM AND METHOD FOR IMPROVED DUCT PRESSURE TRANSFER IN PRESSURE EXCHANGE SYSTEM UNITED STATES ENERGY RECOVERY, INC. ERI:53 10,422,352 15/972,931 SYSTEM AND METHOD FOR IMPROVED DUCT PRESSURE TRANSFER IN PRESSURE EXCHANGE SYSTEM UNITED STATES ENERGY RECOVERY, INC. ERI:53-1 2,957,284 2,957,284 SYSTEM AND METHOD FOR IMPROVED DUCT PRESSURE TRANSFER IN PRESSURE EXCHANGE SYSTEM CANADA ENERGY RECOVERY, INC. ERI:53CA 3177837 15753555.0 SYSTEM AND METHOD FOR IMPROVED DUCT PRESSURE TRANSFER IN PRESSURE EXCHANGE SYSTEM SWITZERLAND ENERGY RECOVERY, INC. ERI:53CH 201580052343.5 201580052343.5 SYSTEM AND METHOD FOR IMPROVED DUCT PRESSURE TRANSFER IN PRESSURE EXCHANGE SYSTEM CHINA ENERGY RECOVERY, INC. ERI:53CN 3177837 15753555.0 SYSTEM AND METHOD FOR IMPROVED DUCT PRESSURE TRANSFER IN PRESSURE EXCHANGE SYSTEM DENMARK ENERGY RECOVERY, INC. ERI:53DK 3177837 15753555.0 SYSTEM AND METHOD FOR IMPROVED DUCT PRESSURE TRANSFER IN PRESSURE EXCHANGE SYSTEM EUROPEAN PATENT CONVENT ENERGY RECOVERY, INC. ERI:53EP 6564020 2017506773 SYSTEM AND METHOD FOR IMPROVED DUCT PRESSURE TRANSFER IN PRESSURE EXCHANGE SYSTEM JAPAN ENERGY RECOVERY, INC. ERI:53JP 7631 517380837 SYSTEM AND METHOD FOR IMPROVED DUCT PRESSURE TRANSFER IN PRESSURE EXCHANGE SYSTEM SAUDI ARABIA ENERGY RECOVERY, INC. ERI:53SA 2,890,743 2,890,743 ISOBARIC PRESSURE EXCHANGER IN AMINE GAS PROCESSING CANADA ENERGY RECOVERY, INC. ERI:5CA ZL 201380069730.0 201380069730.0 ISOBARIC PRESSURE EXCHANGER IN AMINE GAS PROCESSING CHINA ENERGY RECOVERY, INC. ERI:5CN


 
2916926 13852928.4 ISOBARIC PRESSURE EXCHANGER IN AMINE GAS PROCESSING EUROPEAN PATENT CONVENT ENERGY RECOVERY, INC. ERI:5EP 2916926 13852928.4 ISOBARIC PRESSURE EXCHANGER IN AMINE GAS PROCESSING FRANCE ENERGY RECOVERY, INC. ERI:5FR 2916926 13852928.4 ISOBARIC PRESSURE EXCHANGER IN AMINE GAS PROCESSING UNITED KINGDOM ENERGY RECOVERY, INC. ERI:5GB 363684 MX/a/2015/00570 3 ISOBARIC PRESSURE EXCHANGER IN AMINE GAS PROCESSING MEXICO ENERGY RECOVERY, INC. ERI:5MX 20150681 ISOBARIC PRESSURE EXCHANGER IN AMINE GAS PROCESSING NORWAY ENERGY RECOVERY, INC. ERI:5NO 9,440,895 14/074,565 ISOBARIC PRESSURE EXCHANGER CONTROLS IN AMINE GAS PROCESSING UNITED STATES ENERGY RECOVERY, INC. ERI:6 3186518 15766960.7 SYSTEMS AND METHOD FOR PUMP PROTECTION WITH A HYDRAULIC ENERGY TRANSFER SYSTEM EUROPEAN PATENT CONVENT ENERGY RECOVERY, INC. ERI:60EP 10,359,075 14/943,318 System and method for hydrostatic bearings UNITED STATES ENERGY RECOVERY, INC. ERI:61 3221592 15802300.2 SYSTEMS AND METHODS FOR AN AXIAL HYDROSTATIC BEARING SWITZERLAND ENERGY RECOVERY, INC. ERI:61CH ZL201580073615. X 201580073615 SYSTEMS AND METHODS FOR AN AXIAL HYDROSTATIC BEARING CHINA ENERGY RECOVERY, INC. ERI:61CN 3221592 15802300.2 SYSTEMS AND METHODS FOR AN AXIAL HYDROSTATIC BEARING GERMANY ENERGY RECOVERY, INC. ERI:61DE 3221592 15802300.2 SYSTEMS AND METHODS FOR AN AXIAL HYDROSTATIC BEARING DENMARK ENERGY RECOVERY, INC. ERI:61DK 3221592 15802300.2 SYSTEMS AND METHODS FOR AN AXIAL HYDROSTATIC BEARING EUROPEAN PATENT CONVENT ENERGY RECOVERY, INC. ERI:61EP 10,001,030 14/504,198 Systems and methods for lubricating bearings of rotating equipment in gas processing systems UNITED STATES ENERGY RECOVERY, INC. ERI:62 2,919,807 2,919,807 Method for operating rotating equipment with process lubricated bearings in gas separation processes CANADA ENERGY RECOVERY, INC. ERI:62CA 112014003576.9 Method for operating rotating equipment with process lubricated bearings in gas separation processes GERMANY ENERGY RECOVERY, INC. ERI:62DE MX/a/2016/00128 6 Method for operating rotating equipment with process lubricated bearings in gas separation processes MEXICO ENERGY RECOVERY, INC. ERI:62MX 10,473,095 14/958,502 System for pump protection with a hydraulic turbocharger UNITED STATES ENERGY RECOVERY, INC. ERI:64 10,465,717 14/958,383 Systems and methods for a common manifold with integrated hydraulic energy transfer systems UNITED STATES ENERGY RECOVERY, INC. ERI:68 2015358411 2015358411 SYSTEMS AND METHODS FOR A COMMON MANIFOLD WITH INTEGRATED HYDRUALIC ENERGY TRANSFER SYSTEMS AUSTRALIA ENERGY RECOVERY, INC. ERI:68AU 2,969,726 2,969,726 SYSTEMS AND METHODS FOR A COMMON MANIFOLD WITH INTEGRATED HYDRUALIC ENERGY TRANSFER SYSTEMS CANADA ENERGY RECOVERY, INC. ERI:68CA


 
ZL 201580075604.5 201580075604.5 SYSTEMS AND METHODS FOR A COMMON MANIFOLD WITH INTEGRATED HYDRUALIC ENERGY TRANSFER SYSTEMS CHINA ENERGY RECOVERY, INC. ERI:68CN 3227529 15820682.1 SYSTEMS AND METHODS FOR A COMMON MANIFOLD WITH INTEGRATED HYDRUALIC ENERGY TRANSFER SYSTEMS EUROPEAN PATENT CONVENT ENERGY RECOVERY, INC. ERI:68EP 3227529 15820682.1 SYSTEMS AND METHODS FOR A COMMON MANIFOLD WITH INTEGRATED HYDRUALIC ENERGY TRANSFER SYSTEMS FRANCE ENERGY RECOVERY, INC. ERI:68FR 3227529 15820682.1 SYSTEMS AND METHODS FOR A COMMON MANIFOLD WITH INTEGRATED HYDRUALIC ENERGY TRANSFER SYSTEMS UNITED KINGDOM ENERGY RECOVERY, INC. ERI:68GB 6640856 2017-529692 SYSTEMS AND METHODS FOR A COMMON MANIFOLD WITH INTEGRATED HYDRUALIC ENERGY TRANSFER SYSTEMS JAPAN ENERGY RECOVERY, INC. ERI:68JP MX/a/2017/00722 6 SYSTEMS AND METHODS FOR A COMMON MANIFOLD WITH INTEGRATED HYDRUALIC ENERGY TRANSFER SYSTEMS MEXICO ENERGY RECOVERY, INC. ERI:68MX 3227529 15820682.1 SYSTEMS AND METHODS FOR A COMMON MANIFOLD WITH INTEGRATED HYDRUALIC ENERGY TRANSFER SYSTEMS NETHERLANDS ENERGY RECOVERY, INC. ERI:68NL OM/P/2017/00161 SYSTEMS AND METHODS FOR A COMMON MANIFOLD WITH INTEGRATED HYDRUALIC ENERGY TRANSFER SYSTEMS OMAN ENERGY RECOVERY, INC. ERI:68OM 2668629 2017123738 SYSTEMS AND METHODS FOR A COMMON MANIFOLD WITH INTEGRATED HYDRUALIC ENERGY TRANSFER SYSTEMS RUSSIA ENERGY RECOVERY, INC. ERI:68RU 10,473,159 14/958,575 HYDRODYNAMIC BEARING FEATURES UNITED STATES ENERGY RECOVERY, INC. ERI:69 2,890,731 2,890,731 ISOBARIC PRESSURE EXCHANGER CONTROLS IN AMINE GAS PROCESSING CANADA ENERGY RECOVERY, INC. ERI:6CA 2916927 13853731.1 ISOBARIC PRESSURE EXCHANGER CONTROLS IN AMINE GAS PROCESSING SWITZERLAND ENERGY RECOVERY, INC. ERI:6CH ZL201380069731. 5 201380069731.5 ISOBARIC PRESSURE EXCHANGER CONTROLS IN AMINE GAS PROCESSING CHINA ENERGY RECOVERY, INC. ERI:6CN 2916927 13853731.1 ISOBARIC PRESSURE EXCHANGER CONTROLS IN AMINE GAS PROCESSING GERMANY ENERGY RECOVERY, INC. ERI:6DE 2916927 13853731.1 ISOBARIC PRESSURE EXCHANGER CONTROLS IN AMINE GAS PROCESSING EUROPEAN PATENT CONVENT ENERGY RECOVERY, INC. ERI:6EP 2916927 13853731.1 ISOBARIC PRESSURE EXCHANGER CONTROLS IN AMINE GAS PROCESSING FRANCE ENERGY RECOVERY, INC. ERI:6FR 2916927 13853731.1 ISOBARIC PRESSURE EXCHANGER CONTROLS IN AMINE GAS PROCESSING UNITED KINGDOM ENERGY RECOVERY, INC. ERI:6GB 1798387 2015-7015047 ISOBARIC PRESSURE EXCHANGER CONTROLS IN AMINE GAS PROCESSING SOUTH KOREA ENERGY RECOVERY, INC. ERI:6KR 358732 MX/a/2015/00570 2 ISOBARIC PRESSURE EXCHANGER CONTROLS IN AMINE GAS PROCESSING MEXICO ENERGY RECOVERY, INC. ERI:6MX 20150682 ISOBARIC PRESSURE EXCHANGER CONTROLS IN AMINE GAS PROCESSING NORWAY ENERGY RECOVERY, INC. ERI:6NO 9,885,372 14/581,234 SYSTEM AND METHOD FOR A ROTOR ADVANCING TOOL UNITED STATES ENERGY RECOVERY, INC. ERI:7


 
9,970,281 15/075,554 SYSTEM AND METHOD FOR OFFSHORE (TOPSIDE OR SUBSEA) AND ONSHORE WATER REINJECTION FOR SECONDARY RECOVERY UNITED STATES ENERGY RECOVERY, INC. ERI:72 9,975,789 15/098,043 SYSTEM AND METHOD FOR OFFSHORE (TOPSIDE OR SUBSEA) AND ONSHORE WATER REINJECTION FOR SECONDARY RECOVERY UNITED STATES ENERGY RECOVERY, INC. ERI:72-1 16713268.7 SYSTEM AND METHOD FOR OFFSHORE (TOPSIDE OR SUBSEA) AND ONSHORE WATER REINJECTION FOR SECONDARY RECOVERY EUROPEAN PATENT CONVENT ENERGY RECOVERY, INC. ERI:72EP 10,323,201 15/135,086 FLUID PROCESSING SYSTEM UNITED STATES ENERGY RECOVERY, INC. ERI:73 3285910 16724148.8 FLUID PROCESSING SYSTEM SWITZERLAND ENERGY RECOVERY, INC. ERI:73CH 602016035759.3 16724148.8 FLUID PROCESSING SYSTEM GERMANY ENERGY RECOVERY, INC. ERI:73DE 3285910 16724148.8 FLUID PROCESSING SYSTEM EUROPEAN PATENT CONVENT ENERGY RECOVERY, INC. ERI:73EP 3285910 16724148.8 FLUID PROCESSING SYSTEM FRANCE ENERGY RECOVERY, INC. ERI:73FR 3285910 16724148.8 FLUID PROCESSING SYSTEM UNITED KINGDOM ENERGY RECOVERY, INC. ERI:73GB 502020000062977 16724148.8 FLUID PROCESSING SYSTEM ITALY ENERGY RECOVERY, INC. ERI:73IT 8000 517390209 FLUID PROCESSING SYSTEM SAUDI ARABIA ENERGY RECOVERY, INC. ERI:73SA 10,557,482 15/347,450 PRESSURE EXCHANGE SYSTEM WITH HYDRAULIC DRIVE SYSTEM UNITED STATES ENERGY RECOVERY, INC. ERI:74 9,920,774 15/240,755 Pressure exchange system with motor system and pressure compensation system UNITED STATES ENERGY RECOVERY, INC. ERI:75 6020160229664.1 16757493.8 Pressure Exchange System with Motor System and Pressure Compensation System GERMANY ENERGY RECOVERY, INC. ERI:75DE 3337983 16757493.8 Pressure Exchange System with Motor System and Pressure Compensation System DENMARK ENERGY RECOVERY, INC. ERI:75DK 3337983 16757493.8 Pressure Exchange System with Motor System and Pressure Compensation System EUROPEAN PATENT CONVENT ENERGY RECOVERY, INC. ERI:75EP 3337983 16757493.8 Pressure Exchange System with Motor System and Pressure Compensation System FRANCE ENERGY RECOVERY, INC. ERI:75FR 3337983 16757493.8 Pressure Exchange System with Motor System and Pressure Compensation System UNITED KINGDOM ENERGY RECOVERY, INC. ERI:75GB 3337983 16757493.8 Pressure Exchange System with Motor System and Pressure Compensation System NORWAY ENERGY RECOVERY, INC. ERI:75NO 10,527,073 15/614,359 PRESSURE EXCHANGER AS CHOKE UNITED STATES ENERGY RECOVERY, INC. ERI:77 10,072,675 15/492,788 SYSTEM FOR USING PRESSURE EXCHANGER IN DUAL GRADIENT DRILLING APPLICATION UNITED STATES ENERGY RECOVERY, INC. ERI:79


 
BR 112018071596-4 SYSTEM FOR USING PRESSURE EXCHANGER IN DUAL GRADIENT DRILLING APPLICATION BRAZIL ENERGY RECOVERY, INC. ERI:79BR 17720981.4 SYSTEM FOR USING PRESSURE EXCHANGER IN DUAL GRADIENT DRILLING APPLICATION EUROPEAN PATENT CONVENT ENERGY RECOVERY, INC. ERI:79EP 10,473,124 15/494,860 SYSTEM FOR INTEGRATING VALVES AND FLOW MANIFOLD INTO HOUSING OF PRESSURE EXCHANGER UNITED STATES ENERGY RECOVERY, INC. ERI:82 3,022,289 3,022,289 SYSTEM FOR INTEGRATING VALVES AND FLOW MANIFOLD INTO HOUSING OF PRESSURE EXCHANGER CANADA ENERGY RECOVERY, INC. ERI:82CA 10,995,773 15/722,996 SYSTEM FOR USING PRESSURE EXCHANGER IN MUD PUMPING APPLICATION UNITED STATES ENERGY RECOVERY, INC. ERI:86 3,039,256 3,039,256 SYSTEM FOR USING PRESSURE EXCHANGER IN MUD PUMPING APPLICATION CANADA ENERGY RECOVERY, INC. ERI:86CA 519401475 SYSTEM FOR USING PRESSURE EXCHANGER IN MUD PUMPING APPLICATION SAUDI ARABIA ENERGY RECOVERY, INC. ERI:86SA 10,550,857 15/613,502 HYDRAULIC ENERGY TRANSFER SYSTEM WITH FILTERING SYSTEM UNITED STATES ENERGY RECOVERY, INC. ERI:87 11,092,169 16/775,767 HYDRAULIC ENERGY TRANSFER SYSTEM WITH FILTERING SYSTEM UNITED STATES ENERGY RECOVERY, INC. ERI:87-1 201880049461.4 HYDRAULIC ENERGY TRANSFER SYSTEM WITH FILTERING SYSTEM CHINA ENERGY RECOVERY, INC. ERI:87CN 3635260 18733395.0 HYDRAULIC ENERGY TRANSFER SYSTEM WITH FILTERING SYSTEM GERMANY ENERGY RECOVERY, INC. ERI:87DE 3635260 18733395.0 HYDRAULIC ENERGY TRANSFER SYSTEM WITH FILTERING SYSTEM DENMARK ENERGY RECOVERY, INC. ERI:87DK 3635260 18733395.0 HYDRAULIC ENERGY TRANSFER SYSTEM WITH FILTERING SYSTEM EUROPEAN PATENT CONVENT ENERGY RECOVERY, INC. ERI:87EP 21187216.3 HYDRAULIC ENERGY TRANSFER SYSTEM WITH FILTERING SYSTEM EUROPEAN PATENT CONVENT ENERGY RECOVERY, INC. ERI:87EP-1 3635260 18733395.0 HYDRAULIC ENERGY TRANSFER SYSTEM WITH FILTERING SYSTEM ITALY ENERGY RECOVERY, INC. ERI:87IT 3635260 18733395.0 HYDRAULIC ENERGY TRANSFER SYSTEM WITH FILTERING SYSTEM SWEDEN ENERGY RECOVERY, INC. ERI:87SE 10,712,235 15/956,961 SYSTEM AND METHOD FOR MONITORING OPERATING CONDITION IN A HYDRAULIC TURBOCHARGER UNITED STATES ENERGY RECOVERY, INC. ERI:88 18723278.0 SYSTEM AND METHOD FOR MONITORING OPERATING CONDITION IN A HYDRAULIC TURBOCHARGER SWITZERLAND ENERGY RECOVERY, INC. ERI:88CH 18723278.0 SYSTEM AND METHOD FOR MONITORING OPERATING CONDITION IN A HYDRAULIC TURBOCHARGER EUROPEAN PATENT CONVENT ENERGY RECOVERY, INC. ERI:88EP 6882518 2019-557772 SYSTEM AND METHOD FOR MONITORING OPERATING CONDITION IN A HYDRAULIC TURBOCHARGER JAPAN ENERGY RECOVERY, INC. ERI:88JP 519410366 SYSTEM AND METHOD FOR MONITORING OPERATING CONDITION IN A HYDRAULIC TURBOCHARGER SAUDI ARABIA ENERGY RECOVERY, INC. ERI:88SA


 
10,731,702 16/180,264 SYSTEM AND METHOD FOR HYBRID HYDRODYNAMIC-HYDROSTATIC THRUST BEARINGS UNITED STATES ENERGY RECOVERY, INC. ERI:89 3,118,099 SYSTEM AND METHOD FOR HYBRID HYDRODYNAMIC-HYDROSTATIC THRUST BEARINGS CANADA ENERGY RECOVERY, INC. ERI:89CA 201980073065.X SYSTEM AND METHOD FOR HYBRID HYDRODYNAMIC-HYDROSTATIC THRUST BEARINGS CHINA ENERGY RECOVERY, INC. ERI:89CN 19805477.7 SYSTEM AND METHOD FOR HYBRID HYDRODYNAMIC-HYDROSTATIC THRUST BEARINGS EUROPEAN PATENT CONVENT ENERGY RECOVERY, INC. ERI:89EP 2021-523831 SYSTEM AND METHOD FOR HYBRID HYDRODYNAMIC-HYDROSTATIC THRUST BEARINGS JAPAN ENERGY RECOVERY, INC. ERI:89JP 9,764,272 14/525,081 SYSTEMS AND METHODS FOR UTILIZING TURBINE SYSTEMS WITHIN GAS PROCESSING SYSTEMS UNITED STATES ENERGY RECOVERY, INC. ERI:9 11,073,169 16/452,236 Power Generation System With Rotary Liquid Piston Compressor for Transcritical and Supercritical Compression of Fluids UNITED STATES ENERGY RECOVERY, INC. ERI:90 17/380,818 POWER GENERATION SYSTEM WITH ROTARY LIQUID PISTON COMPRESSOR FOR TRANSCRITICAL AND SUPERCRITICAL COMPRESSION OF FLUIDS UNITED STATES ENERGY RECOVERY, INC. ERI:90-1 19740201.9 POWER GENERATION SYSTEM WITH ROTARY LIQUID PISTON COMPRESSOR FOR COMPRESSION OF TRANSCRITICAL AND SUPERCRITICAL FLUIDS EUROPEAN PATENT CONVENT ENERGY RECOVERY, INC. ERI:90EP PCT/US19/39334 Power Generation System With Rotary Liquid Piston Compressor for Compression of Transcritical and Supercritical Fluids WIPO ENERGY RECOVERY, INC. ERI:90PCT 63/219,767 REDUCED MIXING HYDRAULIC ENERGY TRANSFER SYSTEM UNITED STATES ERI:91PRO 16/926,328 REFRIGERATION SYSTEM WITH HIGH SPEED ROTARY PRESSURE EXCHANGER UNITED STATES ENERGY RECOVERY, INC. ERI:92 PA 2021 70359 REFRIGERATION SYSTEM WITH HIGH SPEED ROTARY PRESSURE EXCHANGER DENMARK ENERGY RECOVERY, INC. ERI:92DK PCT/US21/40199 REFRIGERATION SYSTEM WITH HIGH SPEED ROTARY PRESSURE EXCHANGER WIPO ENERGY RECOVERY, INC. ERI:92PCT 16/926,368 LOW ENERGY CONSUMPTION REFRIGERATION SYSTEM WITH A ROTARY PRESSURE EXCHANGER REPLACING THE BULK FLOW COMPRESSOR AND THE HIGH PRESSURE EXPANSION VALVE UNITED STATES ENERGY RECOVERY, INC. ERI:93 PA 2021 70360 LOW ENERGY CONSUMPTION REFRIGERATION SYSTEM WITH A ROTARY PRESSURE EXCHANGER REPLACING THE BULK FLOW COMPRESSOR AND THE HIGH PRESSURE EXPANSION VALVE DENMARK ENERGY RECOVERY, INC. ERI:93DK PCT/US21/40201 LOW ENERGY CONSUMPTION REFRIGERATION SYSTEM WITH A ROTARY PRESSURE EXCHANGER REPLACING THE BULK FLOW COMPRESSOR AND THE HIGH PRESSURE EXPANSION VALVE WIPO ENERGY RECOVERY, INC. ERI:93PCT 17/190,379 MOTORIZED PRESSURE EXCHANGER WITH A LOW-PRESSURE CENTERBORE UNITED STATES ENERGY RECOVERY, INC. ERI:94 17/506,423 PRESSURE EXCHANGER INSERTS UNITED STATES ENERGY RECOVERY, INC. ERI:95


 
63/208,925 ARCHITECTURES AND CONTROL SYSTEMS FOR TRANS-CRITICAL AND SUB-CRITICAL CO2 REFRIGERATION SYSTEMS INTEGRATED WITH ROTARY GAS PRESSURE EXCHANGER FOR HIGH ENERGY EFFICIENCY UNITED STATES ENERGY RECOVERY, INC. ERI:96 63/220,423 PRESSURE EXCHANGER AS A LOW PRESSURE SLURRY PUMP UNITED STATES ENERGY RECOVERY, INC. ERI:97PRO 517/2016 SYSTEMS AND METHODS FOR UTILIZING TURBINE SYSTEMS WITHIN GAS PROCESSING SYSTEMS UNITED ARAB EMR ENERGY RECOVERY, INC. ERI:9AE 2,929,094 2,929,094 SYSTEMS AND METHODS FOR UTILIZING TURBINE SYSTEMS WITHIN GAS PROCESSING SYSTEMS CANADA ENERGY RECOVERY, INC. ERI:9CA 3062913 14795926.6 SYSTEMS AND METHODS FOR UTILIZING TURBINE SYSTEMS WITHIN GAS PROCESSING SYSTEMS EUROPEAN PATENT CONVENT ENERGY RECOVERY, INC. ERI:9EP 3062913 14795926.6 SYSTEMS AND METHODS FOR UTILIZING TURBINE SYSTEMS WITHIN GAS PROCESSING SYSTEMS FRANCE ENERGY RECOVERY, INC. ERI:9FR 3062913 14795926.6 SYSTEMS AND METHODS FOR UTILIZING TURBINE SYSTEMS WITHIN GAS PROCESSING SYSTEMS UNITED KINGDOM ENERGY RECOVERY, INC. ERI:9GB 6259110 2016-552201 SYSTEMS AND METHODS FOR UTILIZING TURBINE SYSTEMS WITHIN GAS PROCESSING SYSTEMS JAPAN ENERGY RECOVERY, INC. ERI:9JP 1978752 2016-7014313 SYSTEMS AND METHODS FOR UTILIZING TURBINE SYSTEMS WITHIN GAS PROCESSING SYSTEMS SOUTH KOREA ENERGY RECOVERY, INC. ERI:9KR MX/a/2016/00558 1 SYSTEMS AND METHODS FOR UTILIZING TURBINE SYSTEMS WITHIN GAS PROCESSING SYSTEMS MEXICO ENERGY RECOVERY, INC. ERI:9MX QA/201604/00179 SYSTEMS AND METHODS FOR UTILIZING TURBINE SYSTEMS WITHIN GAS PROCESSING SYSTEMS QATAR ENERGY RECOVERY, INC. ERI:9QA 2016120616 2016120616 SYSTEMS AND METHODS FOR UTILIZING TURBINE SYSTEMS WITHIN GAS PROCESSING SYSTEMS RUSSIA ENERGY RECOVERY, INC. ERI:9RU 5757 516371034 SYSTEMS AND METHODS FOR UTILIZING TURBINE SYSTEMS WITHIN GAS PROCESSING SYSTEMS SAUDI ARABIA ENERGY RECOVERY, INC. ERI:9SA Trademark Registrations and Applications: Serial No. Reg. No. Mark Jurisdiction Owner of Record 1240828 1240828 e Design Madrid System Energy Recovery, Inc. 1240828 1240828 Mexico Energy Recovery, Inc. 85/850,663 5,161,306 United States Energy Recovery, Inc. 923918 923918 ERI Antigua Energy Recovery, Inc. 923918 923918 ERI Australia Energy Recovery, Inc. 923918 923918 ERI Bahrain Energy Recovery, Inc. 923918 923918 ERI Belarus Energy Recovery, Inc. 923918 923918 ERI China Energy Recovery, Inc. 923918 923918 ERI Croatia Energy Recovery, Inc. 923918 923918 ERI Europe EUTM Energy Recovery, Inc. 923918 923918 ERI Japan Energy Recovery, Inc. 923918 923918 ERI Korea, North Energy Recovery, Inc. 923918 923918 ERI Liechtenstein Energy Recovery, Inc. 923918 923918 ERI Madrid System Energy Recovery, Inc. 923918 923918 ERI Morocco Energy Recovery, Inc. 923918 923918 ERI Norway Energy Recovery, Inc. 923918 923918 ERI Singapore Energy Recovery, Inc. 923918 923918 ERI South Korea Energy Recovery, Inc.


 
923918 923918 ERI Switzerland Energy Recovery, Inc. 923918 923918 ERI Turkey Energy Recovery, Inc. 923918 UK008923918 ERI United Kingdom Energy Recovery, Inc. 78/467,304 3,075,798 ERI United States Energy Recovery, Inc. 77/278,196 3,503,984 United States Energy Recovery, Inc. 2008-92343 5265527 ERI PX Japan Energy Recovery, Inc. 40-2009-12047 40-0839732 ERI PX South Korea Energy Recovery, Inc. 1229171 1229171 ISOBOOST Madrid System Energy Recovery, Inc. 1229171 1229171 ISOBOOST Mexico Energy Recovery, Inc. 85/810,602 4,660,154 ISOBOOST United States Energy Recovery, Inc. 1229172 1229172 ISOGEN Madrid System Energy Recovery, Inc. 1229172 1229172 ISOGEN Mexico Energy Recovery, Inc. 85/810,611 4,804,436 ISOGEN United States Energy Recovery, Inc. 1231739 1231739 ISOPRO Madrid System Energy Recovery, Inc. 1231739 1231739 ISOPRO Mexico Energy Recovery, Inc. 78/781,267 3,349,881 MAKING DESALINATION AFFORDABLE United States Energy Recovery, Inc. 78/467,333 3,125,056 PRESSURE EXCHANGER United States Energy Recovery, Inc. 923919 923919 PX Antigua Energy Recovery, Inc. 923919 923919 PX Australia Energy Recovery, Inc. 923919 923919 PX Bahrain Energy Recovery, Inc. 923919 923919 PX Belarus Energy Recovery, Inc. 923919 923919 PX Croatia Energy Recovery, Inc. 923919 923919 PX Europe EUTM Energy Recovery, Inc. 923919 923919 PX Korea, North Energy Recovery, Inc. 923919 923919 PX Liechtenstein Energy Recovery, Inc. 923919 923919 PX Madrid System Energy Recovery, Inc. 923919 923919 PX Morocco Energy Recovery, Inc. 923919 923919 PX Norway Energy Recovery, Inc. 923919 923919 PX Singapore Energy Recovery, Inc. 923919 923919 PX Switzerland Energy Recovery, Inc. 923919 923919 PX Turkey Energy Recovery, Inc. 923919 UK008923919 PX United Kingdom Energy Recovery, Inc. 78/467,360 3,173,098 PX United States Energy Recovery, Inc. 90/905,098 N/A (Pending) PX G United States Energy Recovery, Inc. 90/734,113 N/A (Pending) PX G1300 United States Energy Recovery, Inc. 7013982 7013982 PX PRESSURE EXCHANGER China Energy Recovery, Inc. 78/467,363 3,156,183 PX PRESSURE EXCHANGER United States Energy Recovery, Inc. 97/001,697 N/A (Pending) PX PRIME United States Energy Recovery, Inc. 86/400,599 5,617,643 VorTeq United States Energy Recovery, Inc. Copyrights: None. Unregistered Patents, Trademarks or Copyrights: None. Domain Names: Domain Name Registrar eergyrecovery.com Network Solutions enegyrecovery.com Network Solutions energy-recovery.com Network Solutions energyrcovery.com Network Solutions


 
energyrec0very.com Network Solutions energyreccovery.com Network Solutions energyrecouery.com Network Solutions energyrecoverry.com Network Solutions energyrecovery.cn Network Solutions energyrecovery.com Network Solutions energyrecovery.xyz Network Solutions energyrecoverymalta.com Network Solutions energyrecovvery.com Network Solutions energyrecuvery.com Network Solutions eneryrecovergy.com Network Solutions eneryrecovery.com Network Solutions enrgyrecovery.com Network Solutions isobarics.com Network Solutions isobarics.net Network Solutions isobarics.org Network Solutions osmopower.com Network Solutions osmoticpower.com Network Solutions osmoticpowerinc.com Network Solutions pumpengineering.com Network Solutions vorteq.biz Network Solutions vorteq.net Network Solutions vorteq.org Network Solutions vorteq.us Network Solutions vorteqsystem.com Network Solutions energyrecovery.mt www.nic.org.mt energyrecovery.com.mt www.nic.org.mt


 
SCHEDULE 3.06 Litigation and Environmental Matters None.


 
SCHEDULE 3.14 Insurance 1. Commercial Package, Policy No. 35955634, Chubb/Federal Insurance Co. 2. Business Auto, Policy No. 73566957, Chubb/Federal Insurance Co. 3. Workers Compensation, Policy No. ENWC216144, Berkshire Hathaway Homestate Insurance. 4. Umbrella Liability, Policy No. 79882330, Chubb/Federal Insurance Co. 5. Management Liability (Claims Made & Reported), Policy No. P00100036328002, Argonaut Insurance Company. 6. Management Liability (Claims Made & Reported), Policy No. P00100029363302, Axis Insurance Company. 7. Management Liability (Claims Made & Reported), Policy No. MLX42447581, Argonaut Insurance Company. 8. Cyber Liability (Claims Made & Reported), Policy No. P00100002102404, Axis Insurance Company. 9. Crime, Policy No. UC2404860321, Hiscox Insurance Co, Inc.


 
SCHEDULE 3.15 Capitalization and Subsidiaries Subsidiaries: 1. Energy Recovery Iberia, S.L. (Spain) 2. Energy Recovery Canada Corp. (Canada) 3. ERI Energy Recovery Ireland Limited (Ireland) Capitalization: Energy Recovery, Inc.’s common stock is listed on The Nasdaq Global Select Market under the symbol “ERII.”, please see the Company’s Proxy Statement on Schedule 14A filed on April 26, 2021 for information regarding certain beneficial ownership of the Company.


 
SCHEDULE 6.01 Existing Indebtedness 1. Supplier Agreement between the Company and Santander Factoring and Confirming EFC, dated April 6, 2021, with an aggregate contract value of $7,900,000.00, and which shall be terminated on or prior to September 30, 2022. 2. Please reference the table below:


 
SCHEDULE 6.02 Existing Liens Secured Party Debtor Jurisdiction Filing Number Santander Factoring and Confirming EFC Energy Recovery, Inc. DE SOS 2021 47387391 1 This lien will remain outstanding until September 30, 2022.


 
SCHEDULE 6.04 Existing Investments None.


 
SCHEDULE 6.10 Existing Restrictions None.


 
EXHIBIT A-1 BORROWING REQUEST ENERGY RECOVERY, INC. JPMorgan Chase Bank, N.A. Middle Market Servicing 10 South Dearborn, Floor L2 Suite IL1-1145 Chicago, IL, 60603-2300 Attention: Bryson G. Kelly Email: bryson.g.kelly@chase.com Date: Ladies and Gentlemen: This Borrowing Request is furnished pursuant to Section 2.03 of that certain Credit Agreement dated as of December 22, 2021 (as amended, restated, supplemented or otherwise modified from time to time, the “Credit Agreement”) by and between ENERGY RECOVERY, INC., a Delaware corporation, as the Company (and together with any other Person that becomes a Borrower thereunder from time to time, each individually, a “Borrower”, and collectively, jointly and severally, the “Borrowers”), the other Loan Parties from time to time party thereto, and JPMORGAN CHASE BANK, N.A., as Lender. Unless otherwise defined herein, capitalized terms used in this Borrowing Request have the meanings ascribed thereto in the Credit Agreement. The Borrower Representative represents that, as of this date, the conditions precedent set forth in Section [4.01 and] 4.02 are satisfied. The Borrower Representative hereby notifies the Lender of its request for the following Borrowing: 1. Aggregate Amount of the [CBFR][Eurodollar] Borrowing: $_________________ 2. Applicable Borrower: _______________ 3. Borrowing Date of the [CBFR][Eurodollar] Borrowing (must be a Business Day): ____________________ 4. The Borrowing shall be a ___ CBFR Borrowing or ___ Eurodollar Borrowing1 5. If a Eurodollar Borrowing, the duration of Interest Period 2: One Month __________ Three Months_________ Six Months__________ 1 If no election is made, then the requested Borrowing shall be an CBFR Borrowing 2 Shall be subject to the definition of “Interest Period.” Cannot extend beyond the Maturity Date. If an Interest Period is not specified, then the Borrower shall be deemed to have selected an Interest Period of one month’s duration.


 
Exhibit A ENERGY RECOVERY, INC., as the Borrower Representative By:_____________________________ Name:___________________________ Title:____________________________


 
Exhibit A EXHIBIT A-2 INTEREST ELECTION REQUEST ENERGY RECOVERY, INC. JPMorgan Chase Bank, N.A. Middle Market Servicing 10 South Dearborn, Floor L2 Suite IL1-1145 Chicago, IL, 60603-2300 Attention: Bryson G. Kelly Email: bryson.g.kelly@chase.com Date: Ladies and Gentlemen: This Interest Election Request is furnished pursuant to Section 2.06(c) of that certain Credit Agreement dated as of December 22, 2021 (as amended, restated, supplemented or otherwise modified from time to time, the “Credit Agreement”) by and between ENERGY RECOVERY, INC., a Delaware corporation, as the Company (and together with any other Person that becomes a Borrower thereunder from time to time, each individually, a “Borrower”, and collectively, jointly and severally, the “Borrowers”), the other Loan Parties from time to time party thereto, and JPMORGAN CHASE BANK, N.A., as Lender. Unless otherwise defined herein, capitalized terms used in this Interest Election Request have the meanings ascribed thereto in the Credit Agreement. The Borrower Representative is hereby requesting to convert or continue certain Borrowings as follows: 1. Borrowing to which this Interest Election Request applies: ________________________________ 2. Date of conversion/continuation (must be a Business Day): __________________, 20____ 3. Amount of Borrowings being converted/continued: $ _______________ 4. Nature of conversion/continuation:  a. Conversion of CBFR Borrowings to Eurodollar Borrowings  b. Conversion of Eurodollar Borrowings to CBFR Borrowings  c. Continuation of Eurodollar Borrowings as such 5. If Borrowings are being continued as or converted to Eurodollar Borrowings, the duration of the new Interest Period that commences on the conversion/continuation date:3 One Month __________ Three Months __________ Six Months __________ 3 Shall be subject to the definition of “Interest Period.” Cannot extend beyond the Maturity Date. If an Interest Period is not specified, then the Borrower shall be deemed to have selected an Interest Period of one month’s duration.


 
Exhibit A 6. The undersigned officer of Borrower Representative certifies that, both before and after giving effect to the request above, no Default or Event of Default has occurred and is continuing under the Credit Agreement. ENERGY RECOVERY, INC., as the Borrower Representative By:_____________________________ Name:___________________________ Title:____________________________


 
EXHIBIT B COMPLIANCE CERTIFICATE To: JPMorgan Chase Bank, N.A. This Compliance Certificate (“Certificate”), for the period ended _______ __, 202_, is furnished pursuant to that certain CREDIT AGREEMENT, dated as of December 22, 2021 (as amended, restated, amended and restated, supplemented or otherwise modified from time to time, the “Credit Agreement”), by and between ENERGY RECOVERY, INC., a Delaware corporation, as the Company (and together with any other Person that becomes a Borrower thereunder from time to time, each individually, a “Borrower”, and collectively, jointly and severally, the “Borrowers”), the other Loan Parties from time to time party thereto, and JPMORGAN CHASE BANK, N.A., as Lender. Capitalized terms used but not otherwise defined herein shall have the meanings set forth in the Credit Agreement. THE UNDERSIGNED HEREBY CERTIFIES THAT: 1. I am the of the Borrower Representative and I am authorized to deliver this Certificate on behalf of the Borrowers and their Subsidiaries; 2. I have reviewed the terms of the Credit Agreement and I have made, or have caused to be made under my supervision, a detailed review of the compliance of Borrowers and their Subsidiaries with the Credit Agreement during the accounting period covered by the attached financial statements (the “Relevant Period”); 3. The attached financial statements of the Company and its consolidated Subsidiaries for the Relevant Period: (a) have been prepared in accordance with GAAP consistently applied, and (b) to the extent that the attached are not the Company’s annual fiscal year end statements, are subject to normal year- end audit adjustments and the absence of footnotes; 4. The examinations described in paragraph 2 did not disclose and I have no knowledge of, except as set forth below, (a) the existence of any condition or event which constitutes a Default or an Event of Default under the Credit Agreement or any other Loan Document during or at the end of the Relevant Period or as of the date of this Certificate or (b) any change in GAAP or in the application thereof that has occurred since the date of the annual financial statements delivered to the Lender in connection with the closing of the Agreement or subsequently delivered as required in the Credit Agreement; 5. I hereby certify that, except as set forth below, no Loan Party has changed (i) its name, (ii) its chief executive office, (iii) its principal place of business, (iv) the type of entity it is or (v) its state of incorporation or organization without having given Lender the notice required by Section 4.15 of the Security Agreement; 6. The representations and warranties of the Loan Parties set forth in the Loan Documents are true and correct as of the date hereof, except to the extent that any such representation or warranty specifically refers to an earlier date, in which case it is true and correct as of such earlier date; and


 
Exhibit B 7. Schedule I attached hereto sets forth financial data and computations4 evidencing the Borrowers’ compliance with certain covenants of the Agreement, all of which data and computations are true, complete and correct. Described below are the exceptions, if any, referred to in paragraph 4 hereof by listing, in detail, the (i) nature of the condition or event, the period during which it has existed and the action which the Borrowers have taken, are taking, or propose to take with respect to each such condition or event or (ii) change in GAAP or the application thereof and the effect of such change on the attached financial statements: The foregoing certifications, together with the computations set forth in Schedule I hereto and the financial statements delivered with this Certificate in support hereof, are made and delivered this day of , . ENERGY RECOVERY, INC., as Borrower Representative By: _________________________________________ Name: _______________________________________ Title: ________________________________________ 4 Schedule I must include detailed calculation tables for all components of the financial covenant calculations.


 
Exhibit B Schedule I to Compliance Certificate Compliance as of _________, 202_ with Provisions of Section 6.12 of the Agreement 6.12 Financial Covenants. (a) Total Leverage Ratio. The Borrowers will not permit the Total Leverage Ratio, on the last day of any fiscal quarter (commencing with the fiscal quarter ending December 31, 2021), to be greater than 3.00 to 1.00. A) Total Indebtedness $__________ B) EBITDA 1. Net Income $__________ 2. Plus, without duplication to the extent deducted in determining Net Income for such period, the sum of $__________ i. Interest Expense $__________ ii. income and franchise tax expense for such period $__________ iii. all amounts attributable to depreciation and amortization expense for such period $__________ iv. any extraordinary charges for such period $__________ v. any other non-cash charges for such period (including non-cash stock and equity compensation expense, but excluding any non-cash charge in respect of an item that was included in Net Income in a prior period and any non-cash charge that relates to the write- down or write-off of inventory) $__________ vi. with respect to the preparation, execution, delivery of this Agreement and the other Loan Documents, costs, reasonable fees to Persons, charges or expenses incurred in connection therewith prior to the Effective Date in an aggregate amount not to exceed $200,000 vii. accruals, fees, payments and documented transaction costs and expenses incurred by the Loan Parties in connection with any investment, Restricted Payment, Disposition, “earn-out” or similar payment, seller note, or other Indebtedness or equity issuance or any


 
Exhibit B refinancing transactions or amendment, waiver or other modification of any debt or equity instrument or document (including, without limitation, the Loan Documents and any operating or similar agreement), regulatory filings or other regulatory related issue, in each case, incurred for such period solely to the extent attributable to any relevant transaction not prohibited by this Agreement (regardless of whether consummated); provided that the aggregate amount added back to EBITDA pursuant to this clause (vii) and clauses (viii) and (xii) below for any period shall not exceed 20% of EBITDA (calculated after giving effect to such add backs); viii. severance and other costs of employee or officer terminations, restructuring, integration or similar charges in respect of systems (including software and “IT systems”), restructurings, closing of operations, headcount reductions or other similar actions (including relocation costs), business process optimizations, integration costs, signing costs, retention or completion bonuses, employee replacement costs, transition costs, costs related to opening or pre-opening, closure and/or consolidation of facilities; provided that the aggregate amount added back to EBITDA pursuant to this clause (viii) and clause (vii) above and clause (xii) below for any period shall not exceed 20% of EBITDA (calculated after giving effect to such add backs); ix. proceeds of business interruption insurance received during such period or reasonably expected to be received within 365 days after the end of such period $__________ x. charges, losses or expenses to the extent indemnified or insured or reimbursed by an unaffiliated third party to the extent such indemnification, insurance or reimbursement is actually received for such period, or is reasonably expected to be so paid or reimbursed within 365 days after the end of such period $__________


 
Exhibit B xi. directors fees and expense reimbursements and indemnification payments paid to directors $__________ xii. fees, costs and expenses incurred in connection with litigation, legal disputes, settlement of claims, and other related costs; provided that the aggregate amount added back to EBITDA pursuant to this clause (xii) and clauses (vii) and (viii) above for any period shall not exceed 20% of EBITDA (calculated after giving effect to such add backs) $__________ 3. Minus without duplication for such Period $__________ i. any cash payments made during such period in respect of non-cash charges described in clause (2)(v) taken in a prior period $__________ ii. any extraordinary gains and any non-cash items of income for such period $__________ iii. (A) any proceeds of business interruption insurance not received or expenses not reimbursed by third parties within the 365 day period set forth in clause (2)(ix) or (x) of this section and (B) any proceeds of business interruption insurance which are received or reimbursements which are made by third parties within the 365 day period set forth in clause (2)(ix) or (x) to the extent added back to Net Income in any prior period $__________ C) Total = EBITDA $__________5 D) Aggregate amount of Unrestricted Cash, not to exceed $5,000,000 E) A minus B divided by C = Total Leverage Ratio ____ to 1.00 F) In compliance? Yes / No 5 For the avoidance of doubt, EBITDA for any period, (x) shall include, without duplication, the EBITDA of any Person, property, business or asset acquired or formed by the Borrower or any Loan Party during such period, to the extent (A) such Person becomes a Loan Party, (B) such property, business or asset is owned by a Loan Party and (C) such Person, property or asset is not subsequently sold, transferred, abandoned or otherwise disposed by the Borrower or such Loan Party, and (y) shall exclude the EBITDA of any Person property, business or asset sold, transferred, abandoned or otherwise disposed by the Borrower or such Loan Party during such period to the extent (A) that such Person sold, transferred, abandoned or otherwise disposed was a Loan Party and (B) such property, business or asset that was sold, transferred, abandoned or otherwise disposed was owned by a Loan Party.


 
Exhibit B (b) Capital Expenditures. The Borrowers will not, nor will it permit any Subsidiary to, incur or make any Capital Expenditures in an aggregate amount to exceed (x) $20,000,000 during the term of this Agreement plus (y) during any period set forth below, an additional amount set forth opposite such period: Fiscal Year ending: Additional Capital Expenditures: December 31, 2021 $6,000,000 December 31, 2022 $20,000,000 December 31, 2023 $8,000,000 December 31, 2024 $18,000,000 December 31, 2025 $13,000,000 December 31, 2026 $10,000,000 The amount of any additional Capital Expenditures permitted to be made in respect of any fiscal year shall be increased by the unused amount of the additional Capital Expenditures that were permitted to be made during any preceding fiscal year pursuant to this Section 6.12(b). As of the Compliance Test Date shown above, the Capital Expenditures are $[___]. Compliance as of the Compliance Test Date shown above: [__] Yes [__] No


 
Exhibit B Schedule II to Compliance Certificate Borrowers’ Applicable Rate Calculation


 
Exhibit C EXHIBIT C JOINDER AGREEMENT THIS JOINDER AGREEMENT (this “Agreement”), dated as of ___________, 20___, is entered into between ________________________________, a _________________ (“New Subsidiary”) and JPMORGAN CHASE BANK, N.A. ( “Lender”) under that certain CREDIT AGREEMENT, dated as of December 22, 2021 (as amended, restated, amended and restated, supplemented or otherwise modified from time to time, the “Credit Agreement”), by and between ENERGY RECOVERY, INC., a Delaware corporation, as the Company (and together with any other Person that becomes a Borrower thereunder from time to time, each individually, a “Borrower”, and collectively, jointly and severally, the “Borrowers”), the other Loan Parties from time to time party thereto, and Lender. All capitalized terms used herein and not otherwise defined herein shall have the meanings set forth in the Credit Agreement. New Subsidiary and Lender, hereby agree as follows: 1. New Subsidiary hereby acknowledges, agrees and confirms that, by its execution of this Agreement, New Subsidiary will be deemed to be a Loan Party under the Credit Agreement and a “Loan Guarantor” for all purposes of the Credit Agreement and shall have all of the obligations of a Loan Party and a Loan Guarantor thereunder as if it had executed the Credit Agreement. New Subsidiary hereby ratifies, as of the date hereof, and agrees to be bound by, all of the terms, provisions and conditions contained in the Credit Agreement, including without limitation (a) all of the representations and warranties of the Loan Parties set forth in Article III of the Credit Agreement, and (b) all of the covenants set forth in Articles V and VI of the Credit Agreement and (c) all of the guaranty obligations set forth in Article IX of the Credit Agreement. Without limiting the generality of the foregoing terms of this paragraph 1, the New Subsidiary, subject to the limitations set forth in Section 9.10 and 9.13 of the Credit Agreement, hereby guarantees, jointly and severally with the other Loan Guarantors, to the Lender, as provided in Article IX of the Credit Agreement, the prompt payment and performance of the Guaranteed Obligations in full when due (whether at stated maturity, as a mandatory prepayment, by acceleration or otherwise) strictly in accordance with the terms thereof and agrees that if any of the Guaranteed Obligations are not paid or performed in full when due (whether at stated maturity, as a mandatory prepayment, by acceleration or otherwise), New Subsidiary will, jointly and severally together with the other Loan Guarantors, promptly pay and perform the same, without any demand or notice whatsoever, and that in the case of any extension of time of payment or renewal of any of the Guaranteed Obligations, the same will be promptly paid in full when due (whether at extended maturity, as a mandatory prepayment, by acceleration or otherwise) in accordance with the terms of such extension or renewal. 2. If required, New Subsidiary is, simultaneously with the execution of this Agreement, executing and delivering such Collateral Documents (and such other documents and instruments) as requested by the Lender in accordance with the Credit Agreement. 3. The address of New Subsidiary for purposes of Section 8.01 of the Credit Agreement is as follows: 4. New Subsidiary hereby waives acceptance by Lender of the guaranty by New Subsidiary upon the execution of this Agreement by New Subsidiary.


 
Exhibit C 5. This Agreement may be executed in any number of counterparts, each of which when so executed and delivered shall be an original, but all of which together shall constitute one and the same instrument. 6. THIS AGREEMENT AND THE RIGHTS AND OBLIGATIONS OF THE PARTIES HEREUNDER SHALL BE GOVERNED BY AND CONSTRUED AND INTERPRETED IN ACCORDANCE WITH THE LAWS OF THE STATE OF NEW YORK. IN WITNESS WHEREOF, New Subsidiary has caused this Agreement to be duly executed by its authorized officer, and Lender, has caused the same to be accepted by its authorized officer, as of the day and year first above written. [NEW SUBSIDIARY] By: _________________________________________ Name: _______________________________________ Title: ________________________________________ Acknowledged and accepted: JPMORGAN CHASE BANK, N.A. By: _________________________________________ Name: _______________________________________ Title: ________________________________________